当前位置:网站首页>凸优化基础知识
凸优化基础知识
2022-07-24 22:43:00 【不认得学霸】
目录
一、计算几何是研究什么的?
计算几何研究几何模型和数据处理的学科,讨论几何形体的计算机表示、分析和综合,研究如何方便灵活、有效地建立几何形体的数学模型以及在计算机中更好地存贮和管理这些模型数据。
二、计算几何理论中(或凸集中)过两点的一条直线的表达式,是如何描述的
计算几何描述:
初中数学描述:

两者对比,几何理论中,广泛的表示n维欧式空间内所有的两个点连成的直线,这增加了角度应用,更加广泛;初中数学中,是一个直观的几何对象,二维坐标系(平面)中求解的直线方程,是初中生在二维空间了解直线的起点。
三、凸集是什么? 直线是凸集吗?是仿射集吗?
凸集
在凸几何中
凸集(convex set)是在凸组合下闭合的仿射空间的子集
更具体地说,在欧氏空间中
凸集是对于集合内的每一对点,连接该对点的直线段上的每个点也在该集合内。例如,立方体是凸集,但是任何中空的或具有凹痕的例如月牙形都不是凸集。
直线集是凸集吗
根据凸集定义,直线是凸集。
仿射集
仿射集亦称仿射流形、线性流形、仿射簇,是实线性空间中的一类子集。非空间射集 M 的维数定义为上述子空间 L 的维数。空集的维数定义为-1。维数分别为0、1,以及2的仿射集为点、直线和平面。
根据仿射集定义,当维数为1的仿射集为直线。
四、三维空间中的一个平面,如何表达?

五、更高维度的“超平面”,如何表达?
1.高维度的“超平面”定义
(1) 超平面是指n维线性空间中维度为n-1的子空间。它可以把线性空间分割成不相交的两部分。比如二维空间中,一条直线是一维的,它把平面分成了两块;三维空间中,一个平面是二维的,它把空间分成了两块。
(2) 法向量是指垂直于超平面的向量。
在
空间中,假如有法向量
过原点的平面内任意原点出发的向量x必然与之满足

如果平面沿着法向量的方向上下平移了,那么这个方程就不成立了。
我们假设平移之后平面经过
平面内任意一点记为
法向量记为
如下图。
不难看出,
在平面内,当然也就和法向量垂直。于是我们有:
化简后得:

参考: https://link.csdn.net/?target=https%3A%2F%2Fwww.jianshu.com%2Fp%2Fba02b92baaaf
六、什么是“凸函数”定义?什么是Hessian Matrix 矩阵? 如何判别一个函数是凸函数?f(x)=x^3 函数是凸函数吗?
什么是“凸函数”
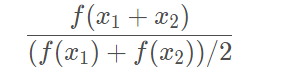
凸函数是一个定义在某个向量空间的凸子集C上的实值函数f,而且对于凸子集C中任意两个向量x1、x2有

成立。
什么是Hessen矩阵?
Hessen矩阵是是一个多元函数的二阶偏导数构成的方阵,描述了函数的局部曲率,利用黑塞矩阵可判定多元函数的极值问题
如何判别一个函数是凸函数?
判定方法:
1.对于一元函数f(x)f(x),我们可以通过其二阶导数f′′(x)f″(x) 的符号来判断。如果函数的二阶导数总是非负,即f′′(x)≥0f″(x)≥0 ,则f(x)f(x)是凸函数
2.对于多元函数f(X)f(X),我们可以通过其Hessian矩阵(Hessian矩阵是由多元函数的二阶导数组成的方阵)的正定性来判断。如果Hessian矩阵是半正定矩阵,则是f(X)f(X)凸函数
参考:https://link.csdn.net/?target=https%3A%2F%2Fwww.cnblogs.com%2Fliuys635%2Fp%2F11295361.html
f(x)=x^3 函数是凸函数吗?
对f(x)求二阶导
所以
x>0 函数是凹函数;
x<0 函数是凸函数。
七、什么是“凸规划”?如何判别一个规划问题是凸规划问题。下例是凸规划问题吗?
什么是“凸规划”?
参考:https://link.csdn.net/?target=https%3A%2F%2Fbaike.baidu.com%2Fitem%2F%25E5%2587%25B8%25E8%25A7%2584%25E5%2588%2592%2F5725567%3Ffr%3Daladdin
如何判别一个规划问题是凸规划问题?(举例说明)
通过求不同次数不同参数的偏导,可求出f(x),g1(x),g2(x)是否属于凸函数,从而判断出该规划问题是否为凸规划问题
下面引用一位学长的手工计算过程:
显然,该问题为凸规划问题。
边栏推荐
- "Fundamentals of program design" Chapter 10 function and program structure 7-2 Hanoi Tower problem (20 points)
- QT6 with vs Code: compiling source code and basic configuration
- 窗口内最大值或最小值的更新结构——窗口内最大值
- The kettle job implementation runs a kettle conversion task every 6S
- 百度网盘+Chrom插件
- DDos攻击分类
- [zero basis] SQL injection for PHP code audit
- General syntax and classification of SQL language (II)
- NVIDA-TensorRT部署(一)
- Talk about how redis handles requests
猜你喜欢

Network Security Learning (III) basic DOS commands

一文读懂Elephant Swap的LaaS方案的优势之处

Use kettle to read the data in Excel file and store it in MySQL

Violent recursion - detailed explanation of Queen n & how to optimize with bit operation

CA证书制作实战

From Fibonacci sequence to matrix fast power technique

《ArchSummit:珍爱微服务底层框架演进》

Some analysis of slow MySQL query
![[1184. Distance between bus stops]](/img/dd/3437e6a14ac02dac01c78b372a5498.png)
[1184. Distance between bus stops]

用VS Code搞Qt6:编译源代码与基本配置
随机推荐
NVIDA-TensorRT部署(一)
QT6 with vs Code: compiling source code and basic configuration
IP first experiment hdcl encapsulates PPP, chap, mGRE
PCL point cloud processing: creating a two-dimensional grid to organize point cloud data (64)
"Fundamentals of program design" Chapter 10 function and program structure 7-2 Hanoi Tower problem (20 points)
理财产品可以达到百分之6的,我想要开户买理财产品
JUC concurrent programming - Advanced 05 - lock free of shared model (CAS | atomic integer | atomic reference | atomic array | field updater | atomic accumulator | unsafe class)
PCL point cloud processing ply file reading and saving (54)
Network Security Learning (V) DHCP
Error connecting MySQL database with kettle
When texturebrush is created, it prompts that there is insufficient memory
先工程实践,还是先工程思想?—— 一位本科生从学oi到学开发的感悟
PGPLSQL中的:=和=
聊聊 Redis 是如何进行请求处理
Application programming of communication heartbeat signal for communication abnormality judgment
《元宇宙2086》单日销量超《三体》 夺得京东图书单日科幻榜冠军
First engineering practice, or first engineering thought—— An undergraduate's perception from learning oi to learning development
Icassp 2022 | KS transformer for multimodal emotion recognition
《JUC并发编程 - 高级篇》05 -共享模型之无锁 (CAS | 原子整数 | 原子引用 | 原子数组 | 字段更新器 | 原子累加器 | Unsafe类 )
WPF opens external programs and activates them when needed