当前位置:网站首页>Online notes on Mathematics for postgraduate entrance examination (9): a series of courses on probability theory and mathematical statistics
Online notes on Mathematics for postgraduate entrance examination (9): a series of courses on probability theory and mathematical statistics
2022-06-25 09:13:00 【Ryo_ Yuki】
Catalog
- 1 Random events and probabilities
- Formula list
- Not independent ,P(A+B) And P(A∪B) Exactly the same
- P(A-B) And P(AB^-^) And P(A)-P(AB) Exactly the same ; In the case of Independence ,P(AB) And P(A∪B) Exactly the same
- Common counterexamples : The complete / An empty set 、 The two events are equal 、 The two events are mutually exclusive
- Sufficient and necessary conditions , You need four certificates , If you can't prove it, it's in A and B Mongolia
- Additive multiplication ( Merge ) There is a rate of distribution from time to time P(A∩(B∪C))=P((A∩B)∪(A∩C)), But time reduction does not P(A∩(B-C))≠P((A∩B)-(A∩C))
- A^-^∩B^-^=(A∪B)^-^; The operation of an event cannot be regarded as a numerical operation
- 2 One dimensional random variables and distributions
- The distribution function is required to be nonnegative , And F(+∞)=1,F(-∞)=0; The distribution function requires right continuity <--> When the limits on both sides of the dividing point are not equal , The interval should be written as left closed and right open ; The distribution function is required to be monotonic
- The standard normal is about y axial symmetry
- The derivative of the distribution function is the density function ;F(X)={X≤x},X It can be replaced by such as -X And other random variables
- Piecewise distribution function , Are reduced to less than or equal to or less than the sign , The less than or equal sign is used F(X), The less than sign uses the left limit
- 3 Two dimensional random variables and their distribution
- Add and subtract the independent normal distributions , Expect to add and subtract , Variance addition ; Expectation is the axis of symmetry of the normal distribution function
- The correlation coefficient of two-dimensional normal distribution is 0, The two one-dimensional normal distributions on its edge are independent ; Two normal distributions 、 Other distribution correlation coefficients are 0, Not necessarily independent
- Independence , The distribution function of the joint distribution is the product ; similar X
Video link :https://www.cctalk.com/m/program/1629431535446012
Because it can't be typed , So in this article, we use A- Instead of the inverse of an event
1 Random events and probabilities
Think of events as collections , Don't take it as an event
Formula list

Not independent ,P(A+B) And P(A∪B) Exactly the same

P(A-B) And P(AB-) And P(A)-P(AB) Exactly the same ; In the case of Independence ,P(AB) And P(A∪B) Exactly the same

Common counterexamples : The complete / An empty set 、 The two events are equal 、 The two events are mutually exclusive

Sufficient and necessary conditions , You need four certificates , If you can't prove it, it's in A and B Mongolia
Additive multiplication ( Merge ) There is a rate of distribution from time to time P(A∩(B∪C))=P((A∩B)∪(A∩C)), But time reduction does not P(A∩(B-C))≠P((A∩B)-(A∩C))


A-∩B-=(A∪B)-; The operation of an event cannot be regarded as a numerical operation

2 One dimensional random variables and distributions
The distribution function is required to be nonnegative , And F(+∞)=1,F(-∞)=0; The distribution function requires right continuity <–> When the limits on both sides of the dividing point are not equal , The interval should be written as left closed and right open ; The distribution function is required to be monotonic

The standard normal is about y axial symmetry

The derivative of the distribution function is the density function ;F(X)={X≤x},X It can be replaced by such as -X And other random variables


Piecewise distribution function , Are reduced to less than or equal to or less than the sign , The less than or equal sign is used F(X), The less than sign uses the left limit



3 Two dimensional random variables and their distribution
Add and subtract the independent normal distributions , Expect to add and subtract , Variance addition ; Expectation is the axis of symmetry of the normal distribution function

The correlation coefficient of two-dimensional normal distribution is 0, The two one-dimensional normal distributions on its edge are independent ; Two normal distributions 、 Other distribution correlation coefficients are 0, Not necessarily independent


Independence , The distribution function of the joint distribution is the product ; similar X<Y In combination with the image, the second integral is used to calculate


The marginal distribution is the respective distribution ; Each is identically distributed , Together, they are not necessarily identically distributed

4 Digital features
Expected variance of common distribution function

DX=EX2-(EX)2

When encountering the distribution function to find the numerical characteristics , Find the derived density function ;E(g(x))= Density function and g(x) Integral ; Odd functions in (-∞,+∞) The anomalous integral of is 0

Parameter is λ The expectation of Poisson distribution of is λ

Covariance is linear as expected ( Variance only exists when it is independent ); Two random variables are independent , The covariance is 0; Take covariance with yourself , That's variance


The two variables are uncorrelated , The covariance is 0,EXY-EXEY=0; Expected to be linear

If there is a plus sign in the covariance , You can perform their own cross calculation
iid Is independent and identically distributed 
The correlation coefficient is 0 ±1 When there is a and b bring aX+B The probability of is 1(1 when a>0,-1 when a<0); The first of the normal distributions is the expectation , The second is the square of the variance



Discrete joint distribution , Can be calculated by column distribution column


It's a question to investigate the application of formulas

5 The law of large numbers and the central limit theorem
The essence of Chebyshev inequality is variance , Only one formula is used in the final answer

Sinchin's law of large numbers ( It is required to be independent and identically distributed + Have expectations )

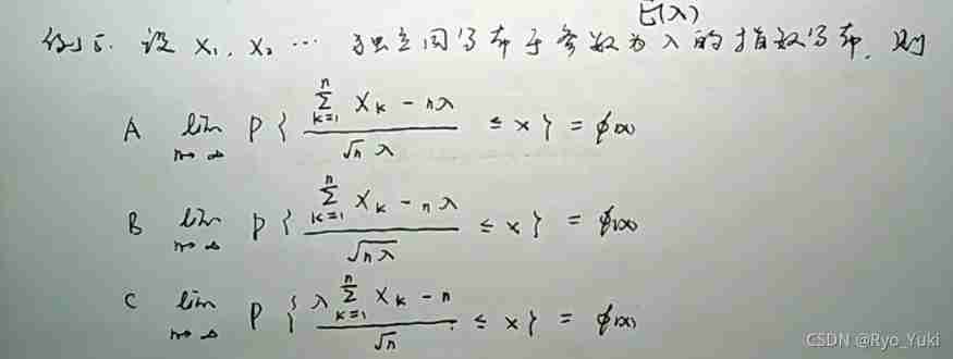
The problem of central limit theorem is standardization in essence : Subtract expectations , Divided by standard deviation ( Variance open root sign )


6 mathematical statistics
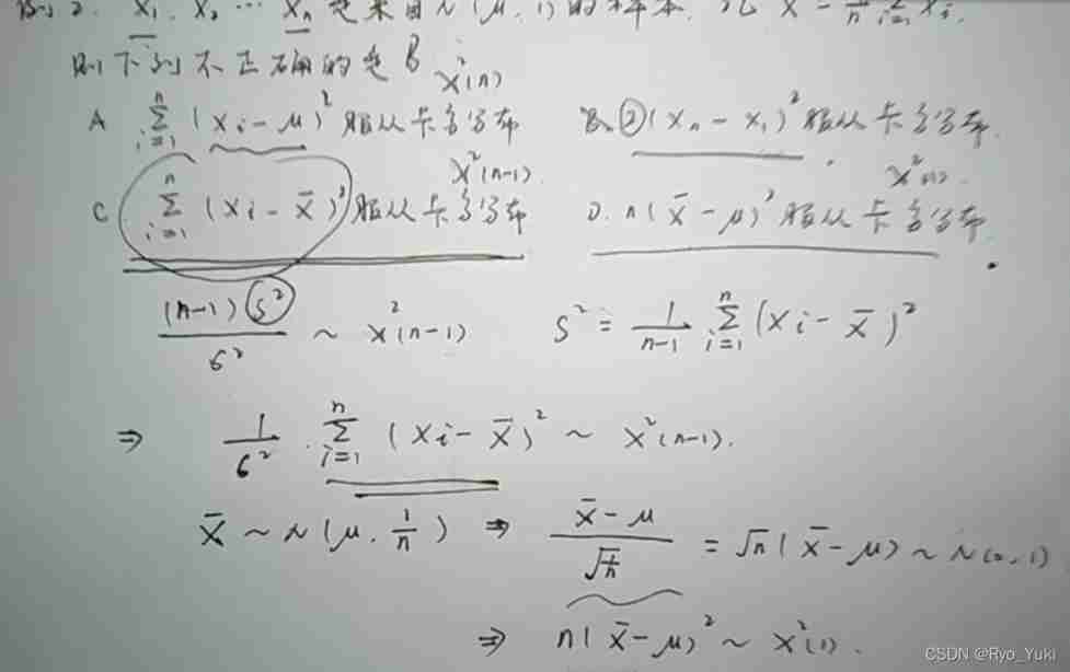
Sample variance is an unbiased estimate of population variance ; The mean of the sample variance is the population variance


The chi square distribution is n( freedom ) Sum of squares of standard normal distributions ;t The distribution is a standard normal distribution divided by n Is the chi square distribution of degrees of freedom divided by n Square root ;F Distribution is the quotient of two chi square distributions divided by degrees of freedom

All three distributions are required to obey independent identically distributed ; The square of a single normal also obeys chi square

The degree of freedom is n Chi square distribution of , The expectation is n, The variance of 2n; The degree of freedom is n The chi square distribution of follows 1/n The exponential distribution of ( Cold knowledge )

There are two distributions at the same time , Find the relationship between them by definition ;T ~ t(n), be T2 ~ F(1,n);t The density function of the distribution is about y axial symmetry



The sampling distribution of a normal population




The mean value of normal distribution directly corresponds to addition and subtraction , Variance directly corresponds to addition ; Conclusion on the variance of single distribution and mean distribution and associated samples



A normal population has its own independent condition , Variance can be directly calculated by linear method ; In the case of normal population, find S2 The variance of , The degree of freedom of forced construction is (n-1) Chi square distribution of


Such as the variance of the square of the mean value , Can be forced into the standard type , Construct chi square distribution

C The formula of the option is (n-1)S2; The variance of the mean is σ2/n

When the first moment is not available ( There was no θ) Consider using the second moment

The maximum likelihood estimate of the discrete function is multiplied by the corresponding probability of the observed value , Take the logarithmic derivative order as 0 seek θ that will do

Maximum likelihood estimation of discrete functions The amount You need to set the number of values

边栏推荐
- Oracle-单行函数大全
- Notes on key vocabulary of the original English work biography of jobs (I) [introduction]
- QSS buttons of different styles
- 5、 Project practice --- identifying man and horse
- wav文件(波形文件)格式分析与详解
- 云网络技术的好处以及类型
- cazy長安戰役八卦迷宮
- Chinese solution cannot be entered after webgl is published
- Unknown table 'column of MySQL_ STATISTICS‘ in information_ schema (1109)
- 四、卷积神经网络(Convolution Neural Networks)
猜你喜欢

2、 Training fashion_ MNIST dataset

Atguigu---17-life cycle

matplotlib matplotlib中决策边界绘制函数plot_decision_boundary和plt.contourf函数详解

WebGL谷歌提示内存不够(RuntimeError:memory access out of bounds,火狐提示索引超出界限(RuntimeError:index out of bounds)
![[untitled] * * database course design: complete the student information management system in three days**](/img/69/762819fa1b11085a7e36c95acbe880.png)
[untitled] * * database course design: complete the student information management system in three days**

C program termination problem clr20r3 solution

SQL advanced

neo4jDesktop(neo4j桌面版)配置自动启动(开机自启)

3 big questions! Redis cache exceptions and handling scheme summary

C # startup program loses double quotation marks for parameters passed. How to solve it?
随机推荐
五、项目实战---识别人和马
Numpy numpy中的meshgrid()函数
matplotlib matplotlib中plt.axis()用法
Where are the hotel enterprises that have been under pressure since the industry has warmed up in spring?
4、 Convolution neural networks
《JVM》对象内存分配的TLAB机制与G1中的TLAB流程
Is it safe for Huatai Securities to open a stock account on it?
Is it safe to open a stock account through the account opening QR code of the account manager?
Voiceprint Technology (I): the past and present life of voiceprint Technology
cazy长安战役八卦迷宫
Benefits and types of cloud network technology
Prepare for the 1000 Android interview questions and answers that golden nine silver ten must ask in 2022, and completely solve the interview problems
Notes on key words in the original English work biography of jobs (II) [chapter one]
matplotlib matplotlib中plt.grid()
从别人库里拷贝的游戏如何再自己的库里显示
Flitter gets the height of the top status bar
JMeter interface test, associated interface implementation steps (token)
二、训练fashion_mnist数据集
[MySQL] understanding and use of indexes
compiling stm32f4xx_it.c... “.\Objects\BH-F407.axf“ - 42 Error(s), 1 Warning(s).