当前位置:网站首页>[数学]必备基本知识
[数学]必备基本知识
2022-07-29 18:34:00 【51CTO】
必备基础知识
- 必备基础知识
- 函数
- 对数函数
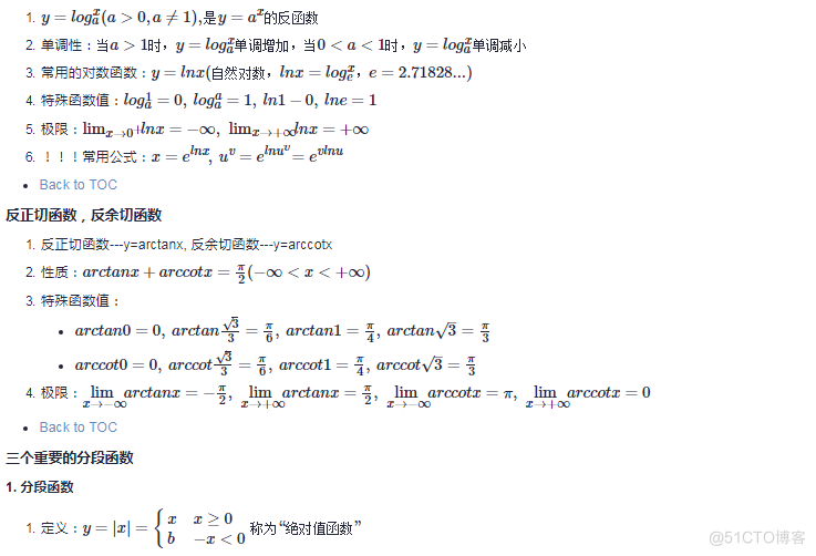
- 反正切函数,反余切函数
- 三个重要的分段函数
- 常用基础知识
- 1. 三角函数基本关系
- 2. 诱导公式
- 3. 倍角公式
- 4. 半角公式
- 5. 和差公式
- 6. 积化和差公式
- 7. 和差化积公式
- 8. 万能公式
- 指数运算法则
- 对数运算法则
- 一元二次方程基础
- 因式分解公式
- 阶乘与双阶乘
函数
对数函数
![[数学]必备基本知识_半角](/img/58/306b2b2361017c4676f05ff0c70998.png)
![[数学]必备基本知识_三角函数_02](/img/22/83704ea05804826e94113726a410c4.png)
![[数学]必备基本知识_半角_03](/img/49/bca21ab1d1911df896982b96680a94.png)
![[数学]必备基本知识_三角函数_04](/img/69/74252b4bbefdaf32a0b8167b758677.png)
![[数学]必备基本知识_半角_05](/img/57/58e7fc38704a8bbe99c5ee020f064d.png)
![[数学]必备基本知识_三角函数_06](/img/ac/f3552ef31948e1c31ce692fa87a796.png)
![[数学]必备基本知识_三角函数_07](/img/b5/c74dfa483317fa6fc2116212da1e48.png)
![[数学]必备基本知识_三角函数_08](/img/d5/5b7ebde241280a3acf5b4b14eea86a.png)
![[数学]必备基本知识_取整_09](/img/c9/9daff1afe19532e6d2a1014a75f49d.png)
边栏推荐
- UG安装出现Server Start Failed. The Server May Already Be Running!!解决方法
- Go 语言如何读取 excel 测试数据,简单易学
- Chengdu | Changed to software testing, from zero income to over 10,000 monthly salary, a new turning point in life...
- 《STL 源码剖析》学习笔记之容器(二)list
- Setting right:0 after sticky positioning does not take effect
- 成都 | 转行软件测试,从零收入到月薪过万,人生迎来新转折...
- FPGA设计16位二进制全加器模块
- 优雅实现经典的生产者消费者模式
- Apache Doris 1.1 特性揭秘:Flink 实时写入如何兼顾高吞吐和低延时
- PIL库和opencv库
猜你喜欢
随机推荐
字节跳动基于 Iceberg 的海量特征存储实践
R语言时间序列数据提取:使用xts包的first函数提取时间序列中最前面10天的数据(first 10 day)
String类型_static成员_动态内存分配_拷贝构造函数_const关键字_友元函数与友元类
Chengdu | Changed to software testing, from zero income to over 10,000 monthly salary, a new turning point in life...
tar命令详解---归档及压缩
自定义组件-behaviors
一线大厂软件测试面试题及答案解析,2022最强版...
测试内推 | 阿里飞猪、百度、58(招聘)、知乎、欢忻网络、百果园、阿里(Lazada)、深智城、元戎启行招人啦
PX4模块设计之十四:Event设计
低代码三部曲之未来
【盘古Coder】:高性能函数级程序语言生成模型
【APP 改进建议】希望增加 pdf 及 word 的导出能力
scroll bar style
MySQL筑基篇之增删改查
R语言ggplot2可视化绘制条形图(bar plot)、使用gghighlight包突出高亮条形图中的特定条形(highlight specific bar plot)
优雅实现经典的生产者消费者模式
500强企业如何提升研发效能?来看看行业专家怎么说
支持向量机SVM
会议OA项目之待开会议&&所有会议功能
U盘拔出时总是提示有程序正在使用?









