当前位置:网站首页>Machine learning series (3): logistic regression
Machine learning series (3): logistic regression
2022-06-12 18:04:00 【Wwwwhy_ 】
One 、Logistic Return to
Introduce Logistic Before regression model , First look at one and 不 Common probability distributions , namely Logistic Distribution . set up X Is a continuous random variable 量,X obey Logistic Distribution means X Have the following 列 Distribution function and density function :
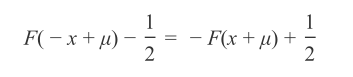
In style , µ µ µ For position parameters , γ γ γ> 0 For shape parameters .Logistic The density function of the distribution of f(x) And distribution function F(x) The figure of is shown in the figure below . Where the distribution function belongs to Logistic function , Its figure is one S Shape curve . The curve is in point ( µ µ µ,1/2) It's central symmetry , The meet :
The curve grows fast near the center , Slow growth at both ends . shape parameter γ γ γ The smaller the value of , The faster the curve grows near the center .

Two 、Logistic The regression model
Most of the applications of linear regression are regression analysis , commonly 不 Used in classification problems . The reasons can be summarized as follows :
- 1) Regression model is continuous model , That is to say, the predicted values are all continuous values ( Real value ), Nondiscrete value ;
- 2) The prediction results are greatly influenced by the sample noise .
2.1 LR Model expressions
LR The model expression is parameterized Logistic function ( Default parameters µ µ µ= 0, γ γ γ= 1)
among hθ(x) As a result of the event y=1 Probability value of . this 里x ∈ Rn+1, y ∈ {1, 0}, θ ∈ Rn+1 Is the weight direction 量. Where the weight is directed to 量w Include offset in , namely w = (w0, w1 , · · · , wn) , x = (1, x1, x2, · · · , xn)
2.2 understand LR Model
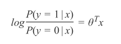
2.2.1 Logarithmic probability
The probability of an event happening (odds) It refers to the ratio of the probability of occurrence of the event to the probability of non occurrence of the event . If the probability of an event is p p p, Then the probability of this event is p / 1 − p p/1-p p/1−p, The logarithmic probability of the event (log odds) perhaps logit The function is :
Yes LR for , According to the model expression, we can get :
That is to say LR In the model , Output y=1 The logarithmic probability of is the input x The linear function of . Or output y=1 The logarithmic probability of is determined by the input x A model represented by a linear function , namely LR Model .
2.2.1 Function mapping
except 了 In terms of logarithmic probability 理 Explain LR Outside , From function mapping, we can also deal with 理 Explain LR Model .
Consider the input real 例x Into the 行 Linear expression of classification θT , Its value field is the real number field . adopt LR Model expressions can be linear functions θTx The result of mapping to (0,1) Section , The value indicates that the result is 1 Probability ( In a binary scenario ).
The closer a linear function is to infinity , The closer the probability is to 1; conversely , The closer its value is to negative infinity , The closer the probability is to 0, Such a model is LR Model .
LR Linear regression in essence , A layer of function mapping is added in the process of mapping knowledge features to results ( namely sigmoid function ), That is to say, first sum the characteristic linearity , And then use sigmoid The function constrains the linear sum to (0,1) Between , The result value is used for binary or regression prediction .
2.2.3 Probability interpretation
LR Models are often used to solve binary classification problems , Such as whether the advertisement has been clicked ( yes / no )、 Whether the goods have been purchased ( yes / no ) And other common application scenarios in the Internet field . But in the actual scene , We 不 Deal with it 理 become “ Absolute ” Classification problem , Instead, the predicted value is used as the probability of the event .
Here from the event 、 Explain from the perspective of variables and results .
The training data we can get are collectively referred to as observation samples . problem : How samples are generated ?
A sample can be understood as an event 、 The process of sample generation is the process of event occurrence . about 0/1 In terms of classification , There are two possible outcomes , It conforms to the probability hypothesis of Bernoulli test . therefore 、 We can say that the sample generation process is the Bernoulli test process 、 The results are consistent with Bernoulli distribution 、 Here we assume that the result is 1 The probability of is hθ(x), So for the i The probability formula of samples is as follows :
Combine the above two formulas , You can get the i The probability of correct prediction of samples :
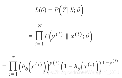
The above formula is for a sample 行 Modeling data representation . For all samples , Assume that each sample generation process is independent , In the entire sample space (N Samples ) Probability distribution of ( That's the likelihood function ) by :
By maximum likelihood estimation (Maximum Likelihood Evaluation, abbreviation MLE) Method to calculate the probability parameter . In particular , Section III gives 了 Through the random gradient descent method (SGD) Find parameters .
3、 ... and 、 Estimation of model parameters
3.1 Sigmoid function

The picture above shows sigmoid function , Its input range is − ∞ → + ∞ −∞→ +∞ −∞→+∞, And the value range is just (0, 1), It just satisfies the probability distribution of (0, 1) The requirements of . Use probability to describe classification 器, Nature is more important than the threshold 便. And it is a monotonically rising function , Good continuity ,不 There is 不 Continuous point .
In addition, it is very important ,sigmoid The derivative of the function is :
The following derivation will use , bring 了 A large stool 利.
3.2 Derivation of parameter estimation
The formula in the previous section 不 Only 理 The solution is the probability distribution expression in the observed sample space . If from a statistical point of view 理 The solution is a parameter θ θ θ The functional expression of likelihood ( Likelihood function expression ). Namely 利 Using a known sample distribution , Find the most likely ( Maximum probability ) The parameter values that lead to this distribution ; Or say 什 What kind of parameters can make us have the greatest probability of observing the current set of data . The likelihood function of parameters in the whole sample space can be expressed as :
For the sake of prescription 便 Parameter Solving , Take the logarithm of this formula , Logarithmic likelihood function :
Maximizing log likelihood function is actually minimizing cross entropy error (Cross Entropy Error). First 不 Consider cumulative sum , For each parameter wj Finding partial derivatives :
Last , By scanning the sample , The parameters can be obtained by iterating the following formula :
among a a a It means the learning rate , Also known as learning step size . Besides, there are Batch GD, Conjugate gradient , Quasi Newton method (LBFGS),
ADMM Distributed learning algorithm can be used to solve the parameters . Another chapter on optimization algorithms 行 Add . The above derivation is LR The core of the model , In the machine 器 Study related interview ,LR The derivation of model formula may be the most frequently investigated point . It should be expertly deduced .
3.3 Classification boundary
After knowing how to solve the parameters , Let's take a look at the final result of the model .
Suppose our decision function is :
choice 0.5 As a threshold is a general practice , In practical application, different thresholds can be selected for specific situations , If the discrimination accuracy of positive cases is required to be high , You can choose a higher threshold , There is a high demand for the recall of the case , You can select a smaller threshold . It's easy to see θ θ θTx>0 when ,y=1, No y=0. θ θ θTx=0 It's the classification plane implied by the model ( In high dimensional space , We are talking about hyperplane ). So logistic regression is essentially a linear model , But this does not mean that only linearly separable data can pass through LR Model solving , actually , We can transform low dimensional space into high dimensional space by feature transformation (kernel trick), But in the low dimensional space, the data that can't be separated , The probability of being linearly separable in a higher dimensional space is higher . The comparison of the following two figures illustrates the linear classifiable curve and the nonlinear curve ( Through feature mapping ).
The graph on the left is a linearly separable data set , The right graph is linear in the original space 不 Divisible , But in feature transformation [x1, x2] => [x1,x2,x21 , x22 , x1x2] The space after is linearly separable , The classification boundary in the corresponding original space is an elliptic curve .不 too , Commonly used kernel It's all implicit , That is to find 不 To functions that explicitly map data from low dimensions to high dimensions , Only the inner product of data points in high-dimensional space can be calculated . under these circumstances ,logistic regression The model is 不 Can be expressed as wTx+b In the form of ( Original form primal form), It can only be expressed as ∑ ∑ ∑iai<xi, x> + b In the form of ( Dual form dualform). Suddenly 略b, Then the original model parameters only have w, Only one data point is needed for storage 量; And the dual form of the model 不 Just store each ai, Also store training data xi In itself , This storage 量 Big 了.
SVM It also has primitive form and dual form , by comparison SVM The dual form of is sparse , That is, only support to 量 Of ai Nonzero , To store the corresponding xi, therefore , In the case of nonlinear separability ,SVM With 更 many .
3.4 Sample code
- Comparison of several parameter derivation codes
def loadDataSet():
dataMat=[]
labels=[]
with open('testSet.txt','r') as f:
for line in f.readlines():
linArr=line.strip().split()
dataMat.append([1.0,float(linArr[0]),float(linArr[1])])
labels.append(int(linArr[2]))
return dataMat,labels
def sigmoid(X): # Sigmoid function
return 1.0/(1+np.exp(-X))
# The gradient rises
def gradAscent(datamain,classLabels):
dataMatrix=np.mat(datamain)
labelMat=np.mat(classLabels).transpose() # Matrix transformation
m,n=np.shape(dataMatrix)
alpha=0.001 # Learning rate
maxCycles=500
weights=np.ones((n,1)) # Initialization weight
for k in range(maxCycles):
h=sigmoid(dataMatrix*weights)
error=labelMat-h
weights=weights+alpha*(dataMatrix.transpose()*error) # Update weights
return weights
datasets,labels=loadDataSet()
weights=gradAscent(datasets,labels)
# Draw the boundaries of decision making
import matplotlib.pyplot as plt
import matplotlib
def ploBestFit(wei):
weights=wei
dataMat,labelMat=loadDataSet()
dataArr=np.array(dataMat)
n=np.shape(dataArr)[0]
xcord1=[];ycord1=[]
xcord2=[];ycord2=[]
for i in range(n):
if int(labelMat[i])==1:
xcord1.append(dataArr[i,1]);ycord1.append(dataArr[i,2])
else:
xcord2.append(dataArr[i,1]);ycord2.append(dataArr[i,2])
fig=plt.figure()
ax=fig.add_subplot(111)
ax.scatter(xcord1,ycord1,s=30,c='red',marker='s')
ax.scatter(xcord2,ycord2,s=30,c='green')
x=np.arange(-3.0,3.0,0.1)
y=(-weights[0]-weights[1]*x)/weights[2]
ax.plot(x,y)
plt.xlabel("X1")
plt.ylabel('X2')
plt.show()
ploBestFit(weights.getA())
The classification obtained by gradient rising on all data sets :
# Random gradient rise , Use less computing resources
def stocGradAscent(dataMatrix,classLabels):
m,n=np.shape(dataMatrix)
learning_rate=0.01
weights=np.ones(n)
for i in range(m):
h=sigmoid(np.sum(dataMatrix[i]*weights)) # Select one data instead of all data
error=classLabels[i]-h
weights=weights+learning_rate*error*dataMatrix[i]
return weights
weights=stocGradAscent(np.array(datasets),labels)
ploBestFit(weights)

Random gradient rise algorithm is not very effective , Optimize the random gradient rising algorithm
def stocGradeAscent1(dataMatrix,classLabels,num=150):
m,n=np.shape(dataMatrix)
weights=np.ones(n)
for j in range(num): # The number of iterations
dataIndex=list(range(m))
for i in range(m):
lr=4/(1.0+j+i)+0.01
randIndex=int(np.random.uniform(0,len(dataIndex))) # Random selection of dataset data
h=sigmoid(np.sum(dataMatrix[randIndex]*weights))
error=classLabels[randIndex]-h
weights=weights+lr*error*dataMatrix[randIndex]
del(dataIndex[randIndex]) # Delete selected data
return weights
weights=stocGradeAscent1(np.array(datasets),labels,1000)
ploBestFit(weights)

so , The effect of the optimized random gradient rise algorithm is equivalent to that of the gradient rise algorithm
- “ A hernia disease predicts the death rate of a sick horse ” Sample code
def classifyVector(X,weights):
prob=sigmoid(np.sum(X*weights))
if prob>0.5:
return 1.0
return 0.0
def colicTest():
ftr=open("horseColicTraining.txt",'r')
fte=open("horseColicTest.txt",'r')
train=[];train_labels=[]
for line in ftr.readlines():
currline=line.strip().split('\t')
linArr=[]
for i in range(21):
linArr.append(float(currline[i]))
train.append(linArr)
train_labels.append(float(currline[21]))
trainWeights=stocGradeAscent1(np.array(train),train_labels)
errorCount=0;numTestVecx=0.0
for line in fte.readlines():
currline=line.strip().split('\t')
linArr=[]
for i in range(21):
linArr.append(float(currline[i]))
if classifyVector(np.array(linArr),np.array(trainWeights))!=int(currline[21]):
errorCount+=1
numTestVecx+=1
errorRate=errorCount/numTestVecx
print("the error rate of this test is %f"%(errorRate))
fte.close()
ftr.close()
return errorRate
def mulTest():
errorSum=0.0
for i in range(10):
errorSum+=colicTest()
print("the avg error rate is %f"%(errorSum/10.0))
mulTest()
Output :
the error rate of this test is 0.358209
the error rate of this test is 0.373134
the error rate of this test is 0.402985
the error rate of this test is 0.656716
the error rate of this test is 0.298507
the error rate of this test is 0.373134
the error rate of this test is 0.343284
the error rate of this test is 0.313433
the error rate of this test is 0.253731
the error rate of this test is 0.388060
the avg error rate is 0.376119
Four 、 extend
4.1 Generative model and discriminant model
Logistic regression is a discriminant model , It's shown as a direct response to conditional probability P(y|x) modeling , Instead of 不 Care about the data distribution behind P(x, y)
. And Gaussian Bayes (Gaussian Naive Bayes) yes ⼀ A generative model , First, we model the joint distribution of data , Re pass
Bayes formula is used to calculate the posterior probability of each category , namely 
It's usually assumed that P(x|y) It's a Gaussian distribution ,P(y) It's a polynomial distribution , The corresponding parameters can be obtained by maximum likelihood estimation . If
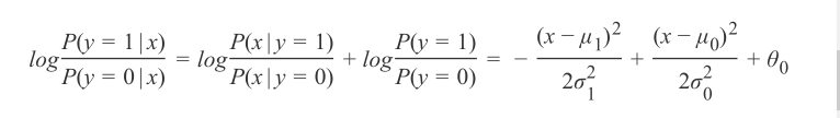
We consider the dichotomy problem , Through simple changes, we can get :
If σ1= σ0, The quadratic term will cancel out , We get a simple linear relationship :
From the above formula, we can get :
You can see , This probability is the same as the form in logistic regression , In this case, Gaussian Bayes and LR You'll learn the same model . actually , stay 更 General assumptions (P(x|y) The distribution of belongs to the family of exponential distribution ) Next , We can all get similar knots On .
4.2 Many classification
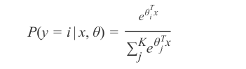
If y不 Is in [0, 1] The value of , But in K The values in the two categories are , Then the problem becomes a multi classification problem . There are two ways to source 理 This kind of problem : One is that we train a binary classification for each category 器(One-vs-all), When K Categories 不 It is mutually exclusive , For example, which category will users buy , This method is appropriate . If K The two categories are mutually exclusive , namely y = i It means y 不 Can take other values , For example, the user's 年 Age segment , In this case Softmax Return to 更 appropriate ⼀ some .Softmax Regression is a direct generalization of logistic regression in multi classification , The corresponding model can also be called multiple logistic regression
(Multinomial Logistic Regression). The model passes through softmax Function to model probability , The specific form is as follows :
And the decision function is 
The loss function for is 
Allied , We can also solve the problem by gradient descent or other higher-order methods , this 里不 I'll go over it again .
4.3 application
this 里 Take the prediction of users' purchase preferences for categories as 例, Introduce how meituan uses logistic regression to solve problems in its work . This problem can be transformed into predicting whether users will buy a certain category in a certain period of time in the future , If you mark the purchase as 1,不 Will purchase marked 0, It's a binary problem . The features we use include users' browsing in meituan , Historical information such as purchases , See the table below 
The time span of the extracted feature is 30 God , The label is 2 God . The training data generated is about 7000 ten thousand 量 level ( Meituan once had a month 行 For users of ), We artificially aggregate similar pieces , In the end 18 This is a typical category collection . If the user purchases a category collection within a given time , As positive 例. Yes 了 After training data , Use Spark Version of LR The algorithm trains one for each category ⼆ A dichotomous model , The number of iterations is set to 100 Next time, model training needs 40 About minutes , On average, each model 2 minute , On test set AUC Most of them are in 0.8 above . The trained model will be preserved , It is used to predict the purchase probability of each category . The results of prediction will be used for recommendation and other scenarios .
because 不 Positive and negative of the same category 例 The distribution is not 不 Same as , Some categories are positive and negative 例 The distribution is very 不 equilibrium , We also try 了不 Same sampling method , The ultimate goal is to improve the order rate and other online indicators . After some parameter tuning , Category preference features bring 了 exceed 1% The rate of ordering has increased .
Besides , because LR The simplicity and efficiency of the model ,易 To achieve , It can provide a reference for subsequent model optimization 不 In the wrong baseline, We also use it in services such as sorting 了LR Model .
The mathematical model and solution of logistic regression are relatively simple , Implementation is relatively simple . Through discretization and other mapping of features , Logistic regression can also deal with nonlinear problems , Is a very powerful Category 器. So in practice , When we can get a lot of low-level features , Consider using logical regression to solve our problem .
4.4 LR And SVM
Both methods are common classification algorithms , In terms of objective function , The difference is that logical regression uses logistical loss,svm It's using hinge loss. The purpose of these two loss functions is to increase the weight of data points that have a greater impact on classification , Reduce the weight of data points that have less relationship with classification .SVM My place 理 The method is to consider only support vectors, That is to say, the few points most relevant to classification , To learn classification 器. And logical regression is through nonlinear mapping , Greatly reduce 了 Weights of points farther from the classification plane , Relative improvement 了 The weight of the data point most relevant to the classification . The fundamental purpose of both is the same . Besides , According to need , Both methods can add 不 The same regularization term , Such as l1,l2 wait . So in a lot of experiments , The results of the two algorithms are very close . But the logistic regression model is relatively 更 Simple , good 理 Explain , Come true , In particular, large-scale linear classification is more convenient 便. and SVM The understanding and optimization of is relatively complicated . however SVM Of 理 On basis 更 Strengthen , There is a set of structural risk minimization 理 On basis , Although generally used by people 不 Too much attention . And it's important ⼀ One o'clock ,SVM After transforming into a dual problem , Classification only needs to be computed with a few supports to 量 Distance of , This is going in 行 The advantage of complex kernel function is obvious , Can greatly simplify the model and calculation 量.
Both are abnormal 敏 Sensitivity is also 不 equally . Under the same linear classification , If there are many outliers , Can't get rid of , First LR Each sample in the is contributing , The maximum likelihood then automatically suppresses the contribution of the anomaly ,SVM+ The soft interval is still relatively abnormal 敏 sense , Because its training only needs to support 量, Valid samples come to 不 high , Once disturbed , It is difficult to predict the results 料.
边栏推荐
- JS sum of two numbers
- Leetcode491 increasing subsequence
- Error record: illegalstateexception: optional int parameter 'XXXX' is
- String s = null ; String s = new String(); String s = "; what is the difference between string s?
- JS中的字符串(含leetcode例题)<持续更新~>
- 在同花顺开户证券安全吗
- Gospel of audio and video developers, rapid integration of AI dubbing capability
- Relationship between resolution and line field synchronization signal
- ES7 does not use parent-child and nested relationships to implement one to many functions
- Click the list page of vant3+ts+pinia tab to enter the details. The tab on the details page is highlighted in the original position, and the refresh highlight is in the first item by default
猜你喜欢

es7不使用父子和嵌套关系来实现一对多功能

Small program +app, a low-cost and active technology combination idea

General differences between SQL server versions released by Microsoft in different periods so far, for reference

机器学习系列(5):朴素贝叶斯

"Big fat • small lesson" - talk about big file segmentation and breakpoint sequel

Vant3 +ts packaged simple step advancer component

ESP32-C3 ESP-IDF 配置smartconfig 和 sntp 获取网络时间

Schematic diagram of active differential crystal oscillator and differences among lv-pecl, LVDS and HCSL

Schéma de cristallisation différentielle active et différence entre LV - PECL, LVDS et hcsl

有源差分晶振原理圖以及LV-PECL、LVDS、HCSL區別
随机推荐
Global lock, table lock, row lock
Applet and app are owned at the same time? A technical scheme with both
Vant3+ts encapsulates uploader upload image component
Schematic diagram of active differential crystal oscillator and differences among lv-pecl, LVDS and HCSL
High-Speed Layout Guidelines 未完...
有源差分晶振原理圖以及LV-PECL、LVDS、HCSL區別
Extreme Programming -- Practice of root cause analysis
HTTP缓存<强缓存与协商缓存>
Reconnaître l'originalité de la fonction
vant3+ts+pinia tab选项卡列表页面点击进详情,详情页返回tab高亮在原位置,刷新高亮默认在第一项
vant3+ts h5页面嵌套进app 与原生app通信
EASYCODE template
赛程更新| 2022微软与英特尔黑客松大赛火热报名中
Gossip about the source code of redis 89
DRM driven MMAP detailed explanation: (I) preliminary knowledge
es7不使用父子和嵌套关系来实现一对多功能
App中快速复用微信登录授权的一种方法
vant3+ts DropdownMenu 下拉菜单,数据多能滚动加载
Is it safe to open an account in flush
Click the list page of vant3+ts+pinia tab to enter the details. The tab on the details page is highlighted in the original position, and the refresh highlight is in the first item by default