当前位置:网站首页>卡尔曼滤波器_Recursive Processing
卡尔曼滤波器_Recursive Processing
2022-06-26 07:11:00 【Yinzz2】
【卡尔曼滤波器】1_递归算法_Recursive Processing
文章是根据上面视频进行个人总结
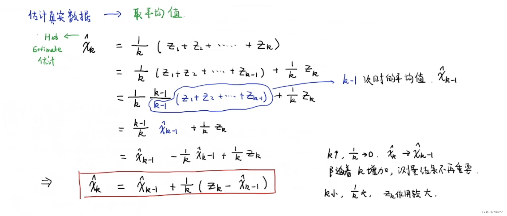
得到公式
当前估计值 = 上次估计值 + 系数(当前测量值-上次估计值)
性质
K越大,Xk趋近于Xk-1,测量结果影响越小
1/K=系数=Kk 估计误差 e(est) 测量误差 e(mea)
Kk = e(est)K / ( e(est)K-1 + e(mea)K )
性质
e(estK-1) >> e(meaK) Kk趋近1 相信当前测量值
e(estK-1) << e(meaK) Kk趋近0 相信上一次测量值
有三条重要公式
Step2:Kk = e(est)K / ( e(est)K-1 + e(mea)K )
Step2:Xk = Xk-1 + Kk * (Zk-Xk-1)
Step3:e(estK) = (1-Kk) * e(estK-1)
使用测量硬币宽度举例子
实际长度 X=50mm 估计值 X0=40mm 估计误差 e(est0) = 5mm 测量值 Z1=51mm 测量误差 eMea=3mm
第一次测量值为 51mm 第二次测量值为48mm

通过上述公式算出第二行的值
Kk=5/(5+3)=0.625 Xk= 40 + 5/8(51-40) = 46.875 e(est)=(1-5/8)*5=1.875
后面类推可以得到这样数值与图像(蓝色为Zk,红色Xk)

结果:
Xk估计值越来越接近50
Zk测量值分布在50左右,误差不超过正负3
实现了简单的卡尔曼滤波器,递归算法
边栏推荐
- 少年,你可知 Kotlin 协程最初的样子?
- 异地北京办理居住证详细材料
- Invalid problem of self defined map used by Gaode map
- 一文搞懂Glide,不懂来打我
- Crosslinked metalloporphyrin based polyimide ppbpi-h) PPBP Mn; PBP-Fe; PPBPI-Fe-CR; Ppbpi Mn CR product - supplied by Qiyue
- Market survey of China's coal to liquid industry and analysis report on investment competitiveness during the "14th five year plan" 2022-2027
- MySQL basic usage 01
- Introduction to mapping in ES
- Porphyrin based polyimide ppbpis (ppbpi-pa, ppbpi-pepa and ppbpi-pena); Crosslinked porphyrin based polyimide (ppbpi-pa-cr, ppbpi-pepa-cr, ppbpi-pena-cr) reagent
- Liujinhai, chief architect of zhongang Mining: according to the analysis of fluorite supply and demand, it is estimated that the fluorine coating market has great potential
猜你喜欢

MySQL

缓存使用

Rust中的过程宏

【推荐一款实体类转换工具 MapStruct,性能强劲,简单易上手 】

oracle创建带返回值的存储过程并sql执行调用

Iron / zinc / copper / platinum metal complexes such as 5,10,15,20-tetra (4-hydroxyphenyl) porphyrin (THPP) / (thppfe) / (thppzn) / (thppcu) / (thpppt) - Qiyue R & D

In depth analysis of redis object structure

Cache usage

Calculate division in Oracle - solve the error report when the divisor is zero

大厂面试TCP协议经典十五连问!22张图让你彻底弄明白
随机推荐
Detailed materials of applying for residence permit in non local Beijing
Golang源码包集合
Paths with a certain value in a binary tree (1) (2) (3) (Sword finger offer)
Big factory interview TCP protocol classic 15 consecutive questions! 22 pictures to make you fully understand
【推荐一款实体类转换工具 MapStruct,性能强劲,简单易上手 】
Liujinhai, chief architect of zhongang Mining: according to the analysis of fluorite supply and demand, it is estimated that the fluorine coating market has great potential
item2安装配置及环境失效问题解决
ES cluster_block_exception read_only_allow_delete问题
【推荐10个 让你轻松的 IDEA 插件,少些繁琐又重复的代码】
Shell programming - user information management
Invalid problem of self defined map used by Gaode map
[feature extraction] feature selection of target recognition information based on sparse PCA with Matlab source code
Analyze 5 indicators of NFT project
【图像分割】基于最大主曲率实现视网膜眼底图像中的血管提取附matlab代码
Mysql操作数据库
Matlab linear programming model learning notes
QPS
The difference between insert ignore and insert into
$a && $b = $c what???
Quickly find five channels for high-quality objects, quickly collect and avoid detours