当前位置:网站首页>权重分析——CRITIC权重法
权重分析——CRITIC权重法
2022-07-23 23:40:00 【路Lu727】
1、作用
CRITIC 权重法是一种客观赋权法。其思想在于用两项指标,分别是对比强度和冲突性指标。对比强度使用标准差进行表示,如果数据标准差越大说明波动越大,权重会越高;冲突性使用相关系数进行表示,如果指标之间的相关系数值越大,说明冲突性越小,那么其权重也就越低。对于多指标多对象的综合评价问题,CRITIC 法去消除一些相关性较强的指标的影响,减少指标之间信息上的重叠,更有利于得到可信的评价结果。
2、输入输出描述
输入:至少两项或以上的定量变量(可以做正、负向处理,但是不要做标准化)。
输出:输入定量变量对应的权重值
3、案例示例
100 个客户的各方面(能力,品格,担保,资本,环境)评分,利用 CRITIC 权重法来计算各个变量(能力,品格,担保,资本,环境)的重要性,即所占的权重。

4、建模步骤
CRITIC 法是一种比熵权法和标准离差法更好的客观赋权法。
它是基于评价指标的对比强度和指标之间的冲突性来综合衡量指标的客观权重。考虑指标变异性大小的同时兼顾指标之间的相关性,并非数字越大就说明越重要,完全利用数据自身的客观属性进行科学评价。对比强度是指同一个指标各个评价方案之间取值差距的大小,以标准差的形式来表现。标准差越大,说明波动越大,即各方案之间的取值差距越大,权重会越高;指标之间的冲突性,用相关系数进行表示,若两个指标之间具有较强的正相关,说明其冲突性越小,权重会越低。
对于 CRITIC 法而言,在标准差一定时,指标间冲突性越小,权重也越小;冲突性越大,权重也越大;另外,当两个指标间的正相关程度越大时,(相关系数越接近 1),冲突性越小,这表明这两个指标在评价方案的优劣上反映的信息有较大的相似性。
1.对各个因素按照每个选项的数量进行归一化处理为:
对于正向指标:

对于负向指标:

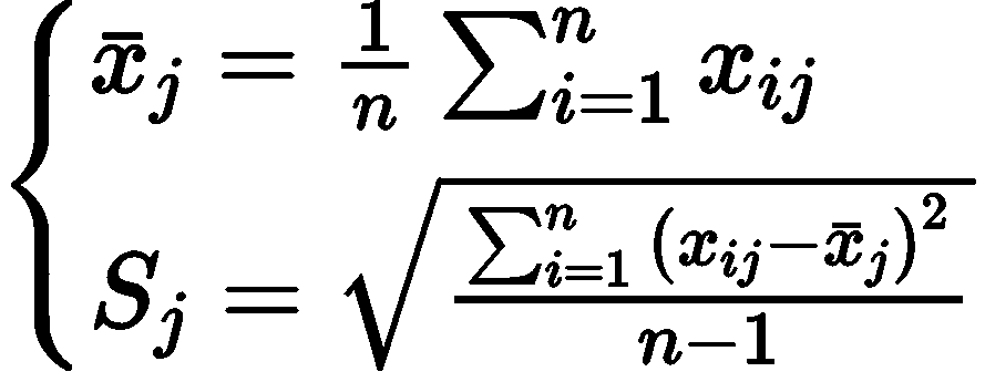
2.指标变异性
以标准差的形式来表现,Sj 表示第 j 个指标的标准差

在 CRITIC 法中使用标准差来表示各指标的内取值的差异波动情况,标准差越大表示该指标的数值差异越大,越能放映出更多的信息,该指标本身的评价强度也就越强,应该给该指标分配更多的权重。
3.指标冲突性
以相关系数的形式来表现,rij 表示评价指标 i 和 j 之间的相关系数

使用相关系数来表示指标间的相关性,与其他指标的相关性越强,则该指标就与其他指标的冲突性越小,反映出相同的信息越多,所能体现的评价内容就越有重复之处,一定程度上也就削弱了该指标的评价强度,应该减少对该指标分配的权重。
4.信息量
Cj 越大,第 j 个评价指标在整个评价指标体系中的作用越大,就应该给其分配更多的权重。

5.权重
所以第 j 个指标的客观权重 W j

边栏推荐
猜你喜欢

DGS初识

DGS之Mutations

warmup_csaw_2016
![[tensorflow] check whether tensorflow GPU is available](/img/27/e2b21b0a0cecdff27ddd2af6e34949.png)
[tensorflow] check whether tensorflow GPU is available

bjdctf_ 2020_ babystack

【三年面试五年模拟】算法工程师的独孤九剑秘籍(前六式汇总篇)V1版

Stm32mp1 M4 bare metal cubeide Development Guide Chapter 6 stm32cube firmware package

strncat() strncmp()

C # introductory series (XXVIII) -- query syntax of LINQ

ret2text
随机推荐
Qt创建窗口被阻塞不能及时显示的问题
strncat() strncmp()
This article will show you what typescript is
Everything you need to know about parsing JSON with Jackson
ArraysList 与顺序表 ——模拟实现
FreeRTOS personal notes - suspend / unhook tasks
Solidity-delegateCall插槽冲突分析与解决
线程池串行化
【微信支付】
Android金九银十的面试你准备的怎么样了?最新Android面试真题汇总助你备战
[数组]NC95 数组中的最长连续子序列-较难
Chapter 6: implement a persistence adapter
SQL语句实战学习
ciscn_ 2019_ n_ one
A deserialized CTF question sharing
[redis] redis installation and client redis cli use (batch operation)
复制客服微信号,前往微信添加,拨打电话
BUUCTF -rip
Federation of DGS
网络安全课堂作业