当前位置:网站首页>Female graduate students do "mind mapping" and quarrel with their boyfriend! Netizen: the "king of infighting" in the quarrel
Female graduate students do "mind mapping" and quarrel with their boyfriend! Netizen: the "king of infighting" in the quarrel
2022-07-29 07:26:00 【51CTO】
This paper is an academic writer . Reference material : Tiktok 、 Female professors and life struggle 、 Extreme news ( The reporter : Ding Wei ) 、 Yahui 、 Wheat ear video 、 Xiaoxiang Morning Post 、 You know 、 Microblogging, etc .
Graduate students quarreled “ Occupational Diseases ” What are they? ?
In recent days, , A female graduate student in Changsha, Hunan, because “ Draw a mind map and quarrel with your boyfriend ” The video of .

Netizens expressed one after another ,“ It turns out that girls quarrel seriously .”
9 Friday night , Video photographer Gong said , The heroine of the video is her roommate ApEn , With the help of mind mapping , ApEn only uses 10 Beat your boyfriend in minutes , Her boyfriend took the initiative to send flowers the next day and admitted his mistake .
Quarrel is also involved ?
Graduate students draw mind maps and quarrel with their boyfriends
9 Japan , A short video of a graduate student arguing with his boyfriend “ fire ” 了 .
Video display , In the school dormitory , A girl sitting on the top bunk is calling her boyfriend :“ I have to talk to you today battle clear , You wait for me .” Then the girl climbed down from the bed , Turn on the computer , name “ Analysis of quarrels in recent days ” Build a mind map , Crazy codeword .

Then she dialed the phone , Start reasoning with your boyfriend according to the mind map :“ The first is from noon …… then …… Who do you think can stand it ?”

A few minutes later , The roommate asked the girl :“ Did you win ?” The girl turned back and smiled and gestured to win . The video caption says :“《 On how contemporary female graduate students convince their boyfriends with reason —— Take mind mapping as an example 》, Roommates and boyfriends never lose a fight , I have so much face !”
About mind mapping , I believe graduate students are no stranger .
When reading literature everyday , Mind mapping can help you better summarize 、 Generalization 、 Refining logic and expression . Some tutors will ask graduate students to use mind mapping when reading literature , So that they can better complete their papers .

When reading literature, the mind map can be like this ~
But use mind mapping to fight with your boyfriend “ Disk logic ” On , That's true. It's a quarrel 
According to the video photographer Gong classmate , She was reading a paper in bed , And roommate ApEn sat in bed and quarreled with her boyfriend .
“ When she said she was going to do a mind map and her boyfriend battle When , I also thought it was very novel, so I took out my mobile phone and photographed it .” Classmate Gong said , It took ApEn about half an hour to finish 《 Analysis of quarrels in recent days 》 Mind maps , Then I will compare with the logical sequence of mind mapping and theory with my boyfriend step by step , Ten minutes later, my boyfriend gave up . Classmate Gong said , Roommate ApEn uses mind mapping more when writing his paper , But I didn't expect that she also used mind mapping to quarrel with her boyfriend .
It is said that the next day , ApEn's boyfriend ordered her takeout , I also bought a bunch of flowers and left a message saying :‘ dear , You're right ’.

Regarding this , Netizens expressed one after another :
“ Quarrel with mind map , I really learned , Open your eyes .”
Some netizens commented :
“ Female graduate students quarrel is different , I don't deserve to quarrel without some culture in the future .”
Actually , About use “ Professional skills ” All these areas , Many Shubo, that's a deep experience ........
Male doctor of science and technology to buy a house : I'll build a model first
How did you choose the last one among the many options ? Post-doctoral X Express : I built a model for this .
According to the official account of the Asia Fai public , Doctor X Jun is a student of solid mechanics , Especially good at constitutive modeling of materials , All his life he believed that everything could be modeled .
X You have seen more than 20 houses , In order to facilitate daughter-in-law decision-making , He built a model , Finally, six alternatives were selected .
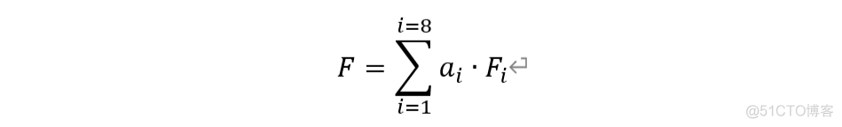
The evaluation parameters of each house are 8 individual , Namely : Lot traffic 、 Community property 、 Internal and external environment 、 House type 、 lighting 、 years 、 decorate 、 floor . By scoring different indicators , You can get the radar map of each house ( Pictured 1).

chart 1 Radar map of house source evaluation
however , Such an evaluation cannot directly guide the purchase of a house , Because different indicators “ Gold content ” Different , In terms of , Just different weights .
for example : School District Housing Property , It should have taken a lot of weight , but X Jun is a teacher , It doesn't matter , There is no need to define it as a parameter . Another example , If you plan to check in directly , Then the weight of decoration must be very large ; If you plan to redecorate in your own style no matter how you decorate , Then this weight can be very small . So ,X You have established a simple house supply score weighting algorithm :

among Fi It's in the radar chart of house supply evaluation 8 Indicators , Every ai The value of corresponds to the weight of each indicator , And meet the following conditions :

stay X In your opinion , Traffic in the area is more important , It directly determines the future life 、 Convenience of going to work ; The same is true for house types , It directly determines the living experience . Accordingly ,X You gave the weights according to your own ideas , Get the weighted total score of these six Suites , Pictured 2 Shown :

chart 2 Weighted total score of housing supply
next , Take the weighted score of housing supply as the abscissa 、 Take the total price of the house as the ordinate , You can get the score and house price scatter chart , Pictured 3:

chart 3 Scatter chart of house supply score and house price
Linear fitting of scatter points , The distribution law of house supply score and house price can be obtained , Pictured 4 Medium blue straight line , This line can be regarded as a credible house price forecast .

chart 4 The house supply score is linearly fitted with the house price trend chart
obviously , You can look at the picture 4 Partition interpretation :
Fitting line : The fitting line represents that the house supply score is consistent with the total house price , It can be considered to be in line with the law of the market ;
The upper left of the fit line : The total price of the house is higher than the estimated market price , It belongs to low score and high price , It should be excluded ;
Lower right of the fit line : The total price of the house is lower than the estimated market price , It belongs to high score and low price , Emphasis should be placed on ;
Lower left of fit line : The house has a low score , But the quotation is also lower than the market price , It belongs to low score and low price , If you are short of money, you can consider ;
The upper right end of the fitting line : The house scored high , But the quotation is slightly higher than the market price , For local tyrants who pursue quality .
When everything is right ,X You take the sorted model and conclusion to your daughter-in-law . The daughter-in-law said ——“ Still a man of science and Technology , Ben 、 Master 、 Polytechnic men who have been practicing for more than ten years, especially .”
The doctor needs to protect his rights , Directly wrote a 10000 word paper
Bought the house through modeling , In case there is something wrong with the house you buy , What to do if you need to protect your rights ?
This group of doctoral owners directly wrote a 10000 character paper to protect their rights , Not only solved the problem of their own real estate , The paper also analyzes some common problems of the chaos in the real estate industry , I hope it can be used as a reference for users who have the same troubles .
It is reported that , Because there are many owners in this community , Some doctors in the community also aim at the unreasonable places in the community , Prepare for a great improvement of the academic version .

The message from the community owner to us
The specific situation is ,2020 year 3 month , Dr. Xiaoke decided to buy a house , So he borrowed more than one million yuan to buy a house . For Xiaoke ,“ This is the first huge sum of money in life ”.2020 The construction progress of the house in is very normal , According to the contract ,2022 year 6 You can stay in Xiaoke every month .

Picture source : Wheat ear video
But as time goes by , Until 2021 year 3 month , Xiaoke found that there were basically no workers on the construction site , The construction of the project is very slow . meanwhile , The Internet also revealed that Suning group had a financial crisis , The real estate may face the risk of uncompleted completion . So the owner's representative of the community investigated 、 Visit , It is found that the project payment owed by Suning real estate to the construction unit is the main reason for the shutdown .
During the visit and investigation , Xiaoke also found two core problems :
One is Partial loss of house purchase funds . The house purchase price of the community is 43 Billion , But not all the purchase money has entered the capital supervision account , Leading to the loss of some house purchase funds ;
Two is The purchase price was deducted by GF in excess . Part of the funds entering the regulatory account of Guangdong Development Bank , Not used to build houses , But was deducted by Guangdong Development Bank in excess , Used to repay the loan of Suning real estate .
So the owners of the community found Suning real estate , Commitment to Suning real estate 2021 year 9 Return to work in January , However, the owners found that the workers on the construction site were “ Group performance ” Disguised .

Picture source : Wheat ear video
The bank has the right to ask Suning real estate to repay the loan , But the purchase money should be used to build houses , Is the Bank doing right or wrong ? Because there is no unified conclusion , So Xiaoke spent four days , Hundreds of documents were consulted , Wrote a book called “ Discussion on the rationality of commercial banks deducting pre-sale funds to offset development loans ” Academic papers of , total 12000 word , Which is quoted in the text 27 References .

Picture source : Wheat ear video

In this paper, , Xiaoke discussed the rationality of the bank deducting the owner's house money to repay the real estate developer's loan . Last , He put forward 5 Some suggestions , Include :
1、 Cooperate and promote the investigation of the public security department
2、 The weak supervision of Guangdong Development Bank urges civil litigation
3、 Report the suspected violations of the Party committee of Xi'an Branch of Guangdong Development Bank to the Discipline Inspection Commission
4、 Complain about the omission of the CBRC
5、 Actively urge Suning real estate to sell assets and raise funds
Final , The project was successfully resumed , And this paper , Also praised by countless netizens “ The ceiling of the rights community ”.


There are many other examples of this , For example, there are doctors who write research papers 《 How to give gifts to your girlfriend 》 Of .

A wedding scene is required to write code and program on the spot , You need a program “ draw ” Give a heart of love .

Other people's kissing scene is playing games , Our doctor's wedding scene , It's everyone kneeling down to do the test paper 

Do CET-6 Picture source : Jinan evening news
Too many operations , Xiao Mu just wants to say :
“ Details of the mind map made by a huge amount of money to quarrel with her boyfriend ” wow !
This article is only for academic sharing , If there is any infringement , Please contact to delete .

▲ The official account of long click attention
Feel useful , Please give me a compliment 
边栏推荐
- Remote invocation of microservices
- JS break and continue and return keywords
- 使用VsCode配置MySQL实现连接、查询、等功能
- 利用C语言巧妙实现棋类游戏——三子棋
- PAT甲级 1154 顶点着色
- 女研究生做“思维导图”与男友吵架!网友:吵架届的“内卷之王”....
- Gin service exit
- It's enough for MySQL to have this article (disgusting and crazy typing 37k words, just for Bo Jun's praise!!!)
- MySQL uses the client and select methods to view the summary of blob type fields
- I'd like to ask, my flick job writes data in the way of upsert Kafka, but I'm more careful in MySQL
猜你喜欢

After three years of outsourcing, the salary of automatic testing after job hopping is twice that of the original. The secret is

亚马逊云助手小程序来啦!

Thinkphp6 realizes database backup

How to establish EDI connection with Scania in Scania?

Spark Learning Notes (VII) -- spark core core programming - RDD serialization / dependency / persistence / partition / accumulator / broadcast variables

It's enough for MySQL to have this article (disgusting and crazy typing 37k words, just for Bo Jun's praise!!!)

Synchronous / asynchronous, blocking / non blocking and IO

Ansible中的变量及加密

MySQL 高级(进阶) SQL 语句 (一)

作业7.28 文件IO与标准IO
随机推荐
Use vscode to configure Mysql to realize connection, query, and other functions
7-2 calculate the area and perimeter of a regular pentagon (25 points)
[OpenGL] use of shaders
Scala 高阶(九):Scala中的模式匹配
My personal website doesn't allow access to wechat, so I did this
cdc source能读完MySqlSnapshotSplit 就退出嘛
用户列表 圆形头像并跟随小板块
Win11 system error: code execution cannot continue because ierutil.dll cannot be found. Reinstalling the program may fix this problem
Kubernetes (V) -- deploy kubernetes dashboard
Paper reading (62):pointer networks
SpingBoot整合Quartz框架实现动态定时任务(支持实时增删改查任务)
PAT甲级 1146 拓扑顺序
微服务远程调用
log4j Layout简介说明
PAT甲级 1150 旅行商问题
A long article --- in-depth understanding of synchronized
2-unified return class dto object
0 8 动态规划(Dynamic Programming)
H3C_ Using setting default static routing priority to realize the active and standby function of export dual lines
js中break与continue和return关键字