当前位置:网站首页>FPGA综合项目——图像边缘检测系统
FPGA综合项目——图像边缘检测系统
2022-07-24 08:03:00 【捌肆幺幺】
目录
0.此篇总结
参考:《手把手教你学FPGA设计:基于大道至简的至简设计法》-----潘文明,易文兵编著
将会学到的东西:
①PLL分频的使用,也就是PLL IP核
②sccb通信,包括原理、写时序以及读时序,类似IIC通信
③ov7670摄像头的配置,内部164个寄存器的配置,通过一个包含关系的参数文件
④彩图转灰度图的一个常用公式,FPGA中怎么处理小数的乘法除法
⑤高斯滤波的原理,和插值像素原理相似
⑥移位寄存器IP核的使用
⑦二值化,用一个阈值区分01
⑧索贝尔两算子的边缘检测算法
⑨存储的乒乓操作、ram IP核的使用
⑩VGA时序
1.系统功能
通过摄像头采集事实图像给FPGA,经过FPGA处理后将最终结果显示在VGA设备上。夏效果图如下:

2.模块划分

最后的模块RTL图:

3.PLL
时钟是最基本的信号,我们要考虑到各个模块或者说外设正常工作所需要的时钟,我们的三个外设中,摄像头和VGA的时钟为25MHz,而博主用的FPGA时钟为50MHz,所以要用PLL分出25M的时钟。
module pll_ip
(
inclk0, //FPGA的50M时钟输入
c0, //25M分频,用于摄像头和VGA
);
4.SCCB模块
SCCB模块用于FPGA和摄像头的通讯,FPGA要先给摄像头做好配置,就要通过SCCB通讯来实现。该模块的作用就是:
当配置模块给出写命令时,产生写时序;
当配置模块给出读命令时,产生读时序;
模块中读到的数据rdata并没有用到;

先来看看SCCB的时序:
在sio_c为1,sio_d拉低时,数据传输开始
在sio_c为1,sio_d拉高时,数据传输结束
数据转换要在sio_c为0时完成
再来看看写时序:
起始位0,表示开始,然后写入‘从机地址(8位)’、‘x’(等待应答)、‘寄存器地址’、‘x’(等待应答)、写入的数据、‘x’等待应答、最后拉高表示传输结束,x全部取1就行,当写入为8位时,共30位数据。
再来看看读时序:
和写时序不一样的,读时序分为两个阶段,起始位、从机地址、x、寄存器地址、x、终止位。这是第一阶段; 起始位、从机地址+1(表示读)、x、读数据、x、终止位。这是第二阶段,若读数据8位,则每个阶段都是21位数据。
代码如下:
module sccb(
clk , //输入,25M时钟
rst_n , //输入,复位
ren , //输入,读使能,由配置模块给出
wen , //输入,写使能,由配置模块给出
sub_addr , //输入,寄存器地址,由配置模块给出
rdata , //输出,读到的数据
rdata_vld , //输出,读到数据有效
wdata , //输入,要写入的数据
rdy , //输出,准备信号
sio_c , //输出,SCCB的传输时钟
sio_d_r , //输入,读到的数据
en_sio_d_w, //输出,写数据传输使能
sio_d_w //输出,写数据输出
);
//参数定义
parameter SIO_C = 120 ; //配置4.8us的sccb时钟 sio_c
//输入信号定义
input clk ;//25m
input rst_n ;
input ren ;
input wen ;
input [7:0] sub_addr ;
input [7:0] wdata ;
//输出信号定义
output[7:0] rdata ;
output rdata_vld;
output sio_c ;//208kHz
output rdy ;
input sio_d_r ;
output en_sio_d_w;
output sio_d_w ;
reg en_sio_d_w;
reg sio_d_w ;
//输出信号reg定义
reg [7:0] rdata ;
reg rdata_vld;
reg sio_c ;
reg rdy ;
//中间信号定义
reg [7:0] count_sck ;
reg [4:0] count_bit ;
reg [1:0] count_duan ;
reg flag_r ;
reg flag_w ;
reg [4:0] bit_num ;
reg [1:0] duan_num ;
reg [29:0] out_data ;
wire add_count_sck ;
wire end_count_sck ;
wire add_count_bit ;
wire end_count_bit ;
wire add_count_duan;
wire end_count_duan;
wire sio_c_h2l ;
wire sio_c_l2h ;
wire en_sio_d_w_h2l;
wire en_sio_d_w_l2h;
wire out_data_time ;
wire rdata_time ;
wire [7:0] rd_com ;
//sccb 时钟周期 4.8us
//在读或者写状态下加一
always @(posedge clk or negedge rst_n)begin
if(rst_n==1'b0)begin
count_sck <= 0;
end
else if(add_count_sck)begin
if(end_count_sck)begin
count_sck <= 0;
end
else begin
count_sck <= count_sck + 1;
end
end
end
assign add_count_sck = flag_r || flag_w;
assign end_count_sck = add_count_sck && count_sck == SIO_C-1;
//区分读写输出的个数
//读21个,写30个
always @(posedge clk or negedge rst_n)begin
if(rst_n==1'b0)begin
count_bit <= 0;
end
else if(add_count_bit)begin
if(end_count_bit)begin
count_bit <= 0;
end
else begin
count_bit <= count_bit + 1;
end
end
end
assign add_count_bit = end_count_sck;
assign end_count_bit = add_count_bit && count_bit == bit_num+2-1;
//区分读写的阶段数
//读两个阶段,写一个阶段
always @(posedge clk or negedge rst_n)begin
if(rst_n==1'b0)begin
count_duan <= 0;
end
else if(add_count_duan)begin
if(end_count_duan)begin
count_duan <= 0;
end
else begin
count_duan <= count_duan + 1;
end
end
end
assign add_count_duan = end_count_bit;
assign end_count_duan = add_count_duan && count_duan == duan_num-1;
//读工作标志
//当收到读使能时,flag_r置1
always @(posedge clk or negedge rst_n)begin
if(rst_n==1'b0)begin
flag_r <= 0;
end
else if(ren)begin
flag_r <= 1;
end
else if(end_count_duan)begin
flag_r <= 0;
end
end
//写工作标志
//当收到写使能时,flag_w置1
always @(posedge clk or negedge rst_n)begin
if(rst_n==1'b0)begin
flag_w <= 0;
end
else if(wen)begin
flag_w <= 1;
end
else if(end_count_duan)begin
flag_w <= 0;
end
end
//读工作时(收到读使能时),sio_d输出 21 bit数据
//SCCB时序中,读分为两个阶段,因此bit_num = 21、duan_num = 2;
//写工作时(收到写使能时),sio_d输出 30 bit数据
//SCCB时序中,写只有一个阶段,因此bit_num = 30、duan_num = 1;
always @(*)begin
if(flag_r)begin
bit_num = 21;
duan_num = 2;
end
else if(flag_w)begin
bit_num = 30;
duan_num = 1;
end
else begin
bit_num = 1;
duan_num = 1;
end
end
//SCCB时钟的高低变化
always @(posedge clk or negedge rst_n)begin
if(rst_n==1'b0)begin
sio_c <= 1;
end
else if(sio_c_h2l)begin
sio_c <= 0;
end
else if(sio_c_l2h)begin
sio_c <= 1;
end
end
//一定要结合波形分析,开始和结束占用了两个“0”数据,因此在SCCB时钟高低变化时应排除掉
assign sio_c_h2l = count_bit >= 0 && count_bit < (bit_num-2) && add_count_sck && count_sck == SIO_C-1;
assign sio_c_l2h = count_bit >= 1 && count_bit < bit_num && add_count_sck && count_sck == SIO_C/2-1;
//写和读数据
always @ (*)begin
if(flag_r)begin
out_data <= {1'h0,rd_com,1'h1,sub_addr,1'h1,1'h0,1'h1,9'h0};//最后9位都为0 也就是有效21位
end
else if(flag_w)begin
out_data <= {1'h0,8'h42,1'h1,sub_addr,1'h1,wdata,1'h1,1'h0,1'h1};//有效30位
end
else begin
out_data <= 0;
end
end
//区分写地址和读地址
assign rd_com = (flag_r && count_duan == 0)? 8'h42 : 8'h43;
//写数据使能,发往摄像头
//在写数据的时候为1
//除了读数据阶段以及复位,其他时间写数据使能都为1
//读数据前也要进行写操作,要写进去读的地址等信息
always @(posedge clk or negedge rst_n)begin
if(rst_n==1'b0)begin
en_sio_d_w <= 0;
end
else if(ren || wen)begin
en_sio_d_w <= 1;
end
else if(end_count_duan)begin
en_sio_d_w <= 0;
end
else if(en_sio_d_w_h2l)begin
en_sio_d_w <= 0;
end
else if(en_sio_d_w_l2h)begin
en_sio_d_w <= 1;
end
end
//设置读数据时,给摄像头写数据的使能为0
assign en_sio_d_w_h2l = flag_r && count_duan == 1 && count_bit == 10 && add_count_sck && count_sck == 1-1;
assign en_sio_d_w_l2h = flag_r && count_duan == 1 && count_bit == 18 && add_count_sck && count_sck == 1-1;
//写入数据,在sccb时钟周期的1/4处开始写
always @(posedge clk or negedge rst_n)begin
if(rst_n==1'b0)begin
sio_d_w <= 1;
end
else if(out_data_time)begin
sio_d_w <= out_data[30-count_bit-1]; //一位一位赋值,共30位
end
end
assign out_data_time = count_bit >= 0 && count_bit < bit_num && add_count_sck && count_sck == SIO_C/4-1;
//读出数据,在sccb时钟周期的3/4处开始读
always @(posedge clk or negedge rst_n)begin
if(rst_n==1'b0)begin
rdata <= 0;
end
else if(rdata_time)begin
rdata[17-count_bit] <= sio_d_r; //一位一位赋值,共8位
end
end
assign rdata_time = flag_r && count_duan==1 && count_bit>=10 && count_bit<18 && add_count_sck && count_sck==SIO_C/4*3-1;
//读出数据有效
//在读操作下完成最后的阶段置1
always @(posedge clk or negedge rst_n)begin
if(rst_n==1'b0)begin
rdata_vld <= 0;
end
else if(flag_r && end_count_duan)begin
rdata_vld <= 1;
end
else begin
rdata_vld <= 0;
end
end
//准备信号
//不读不写,置1
always @(*)begin
if(ren || wen || flag_r || flag_w)begin
rdy = 0;
end
else begin
rdy = 1;
end
end
endmodule
5.摄像头配置模块
摄像头用到ov7670,共有164个寄存器需要配置。配置信号为 操作码+地址+配置值。
本模块的作用:管理ov7670的寄存器配置信号,产生相应的读写命令

配置模块代码如下:
module ov7670_config(
clk , //输入,25M时钟
rst_n , //输入,复位
config_en , //输入,配置使能
rdy , //输入,准备信号
rdata , //输入,读到的数据
rdata_vld , //输入,读到数据有效信号
wdata , //输出,写入摄像头寄存器的数据
addr , //输出,寄存器地址
wr_en , //输出,写使能
rd_en , //输出,读使能
cmos_en , //输出,配置完成后的采集使能 ,给到采集模块
pwdn
);
parameter DATA_W = 8; //位宽参数
parameter RW_NUM = 2; //先写后读,计数为0则写,为1则读
//输入信号定义
input clk ; //50Mhz
input rst_n ;
input config_en;
input rdy ;
input [DATA_W-1:0] rdata ;
input rdata_vld;
//输出信号定义
output[DATA_W-1:0] wdata ;
output[DATA_W-1:0] addr ;
output cmos_en ;
output wr_en ;
output rd_en ;
output pwdn ;
//输出信号reg定义
reg [DATA_W-1:0] wdata ;
reg [DATA_W-1:0] addr ;
reg cmos_en ;
reg wr_en ;
reg rd_en ;
//中间信号定义
reg [8 :0] reg_cnt ;
wire add_reg_cnt;
wire end_reg_cnt;
reg flag ;
reg [17:0] add_wdata; //配置表信号 “操作码2比特”+“地址8比特”+“配置值8比特”
reg [ 1:0] rw_cnt ;
wire add_rw_cnt ;
assign pwdn = 0;
`include "ov7670_para.v" //寄存器地址及数据
//配置寄存器个数计数,当配置完164个寄存器后给出采集使能
//结束一个寄存器的设置时,+1,继续下一个寄存器的设置
always @(posedge clk or negedge rst_n)begin
if(rst_n==1'b0)begin
reg_cnt <= 0;
end
else if(add_reg_cnt)begin
if(end_reg_cnt)
reg_cnt <= 0;
else
reg_cnt <= reg_cnt + 1;
end
end
assign add_reg_cnt = end_rw_cnt;
assign end_reg_cnt = add_reg_cnt && reg_cnt==REG_NUM-1;
//写读计数器 0写1读 单独的配置一个寄存器的操作方式
always @(posedge clk or negedge rst_n)begin
if(rst_n==1'b0)begin
rw_cnt <= 0;
end
else if(add_rw_cnt) begin
if(end_rw_cnt)
rw_cnt <= 0;
else
rw_cnt <= rw_cnt + 1;
end
end
assign add_rw_cnt = flag && rdy;
assign end_rw_cnt = add_rw_cnt && rw_cnt==RW_NUM-1;
//配置使能过来到配置结束,flag为1
always @(posedge clk or negedge rst_n)begin
if(rst_n==1'b0)begin
flag <= 1'b0;
end
else if(config_en)begin
flag <= 1'b1;
end
else if(end_reg_cnt)begin
flag <= 1'b0;
end
end
//cmos_en ,采集使能,配置完为1
always @(posedge clk or negedge rst_n)begin
if(rst_n==1'b0)begin
cmos_en <= 1'b0;
end
else if(end_reg_cnt)begin
cmos_en <= 1'b1;
end
end
//配置值为add_wdata的低八位
always @(posedge clk or negedge rst_n)begin
if(rst_n==1'b0)begin
wdata <= 8'b0;
end
else begin
wdata <= add_wdata[7:0];
end
end
//地址为add_wdata的高八位
always @(posedge clk or negedge rst_n)begin
if(rst_n==1'b0)begin
addr <= 8'b0;
end
else begin
addr <= add_wdata[15:8];
end
end
//写使能
always @(posedge clk or negedge rst_n)begin
if(rst_n==1'b0)begin
wr_en <= 1'b0;
end
else if(add_rw_cnt && rw_cnt==0 && add_wdata[16])begin
wr_en <= 1'b1;
end
else begin
wr_en <= 1'b0;
end
end
//读使能
always @(posedge clk or negedge rst_n)begin
if(rst_n==1'b0)begin
rd_en <= 1'b0;
end
else if(add_rw_cnt && rw_cnt==1 && add_wdata[17])begin
rd_en <= 1'b1;
end
else begin
rd_en <= 1'b0;
end
end
endmodule
此模块有一个输入config_en需要完善,因此根据配置的速度来写一个产生配置使能的小模块key_en,这里用key_vld的第二位来作配置使能信号。
代码如下:
module key_en(
clk ,
rst_n ,
key_in ,
key_vld
);
parameter DATA_W = 20 ;
parameter KEY_W = 4 ;
parameter TIME_20MS = 500_000 ;
input clk ;
input rst_n ;
input [KEY_W-1 :0] key_in ;
output [KEY_W-1 :0] key_vld ;
reg [KEY_W-1 :0] key_vld ;
reg [DATA_W-1:0] cnt ;
wire add_cnt ;
wire end_cnt ;
reg flag ;
reg [KEY_W-1 :0] key_in_ff1 ;
reg [KEY_W-1 :0] key_in_ff0 ;
always @(posedge clk or negedge rst_n)begin
if(rst_n==1'b0)begin
cnt <= 20'b0;
end
else if(add_cnt)begin
if(end_cnt)
cnt <= 20'b0;
else
cnt <= cnt + 1'b1;
end
else begin
cnt <= 0;
end
end
assign add_cnt = flag==1'b0 && (key_in_ff1!=0);
assign end_cnt = add_cnt && cnt == TIME_20MS - 1;
always @(posedge clk or negedge rst_n)begin
if(rst_n==1'b0)begin
flag <= 1'b0;
end
else if(end_cnt)begin
flag <= 1'b1;
end
else if(key_in_ff1==0)begin
flag <= 1'b0;
end
end
always @(posedge clk or negedge rst_n)begin
if(rst_n==1'b0)begin
key_in_ff0 <= 0;
key_in_ff1 <= 0;
end
else begin
key_in_ff0 <= key_in ;
key_in_ff1 <= key_in_ff0;
end
end
always @(posedge clk or negedge rst_n)begin
if(rst_n==1'b0)begin
key_vld <= 0;
end
else if(end_cnt)begin
key_vld <= key_in_ff1;
end
else begin
key_vld <= 0;
end
end
endmodule
6.采集模块
采集要求:分辨率640*480、RGB565格式图像;
注意:①因为采集的时RGB565的数据,所以一个像素点共16位数据,但是摄像头采集一次的数据为8位,所以需要采集两次才为一个像素点。②当行信号为高时,数据才有效。
代码如下:
module cmos_capture(
clk , //输入,25M时钟
rst_n , //输入,复位
en_capture , //输入,采集使能,由配置模块给出
vsync , //输入,帧信号,由FPGA给出
href , //输入,行信号,由FPGA给出
din , //输入,摄像头的8位数据输入
dout , //输出,采集到的16位图像数据
dout_vld , //输出,数据输出有效信号
dout_sop , //输出,一帧的起始信号,即一帧开始传输
dout_eop //输出,一帧的结束信号,即一帧传输结束
);
parameter COL = 640; //一行的像素点个数
parameter ROW = 480; //行
input clk ;
input rst_n ;
input en_capture ;
input vsync ;
input href ;
input [7:0] din ;
output [15:0] dout ;
output dout_vld ;
output dout_sop ;
output dout_eop ;
reg [15:0] dout ;
reg dout_vld ;
reg dout_sop ;
reg dout_eop ;
reg [10:0] count_x ;
reg [9:0] count_y ;
reg flag_capture ;
reg vsync_ff0 ;
wire add_count_x ;
wire end_count_x ;
wire add_count_y ;
wire end_count_y ;
wire vsync_l2h ;
wire din_vld ;
wire flag_dout_vld;
//一行的像素计数,共640个像素点
//两个时钟一个像素点
always @ (posedge clk or negedge rst_n)begin
if(!rst_n)begin
count_x <= 0;
end
else if(add_count_x)begin
if(end_count_x)begin
count_x <= 0;
end
else begin
count_x <= count_x + 1;
end
end
end
//当数据输入有效且采集的时候+1
assign add_count_x = flag_capture && din_vld;
assign end_count_x = add_count_x && count_x == COL*2-1;
//当行信号href为1时,数据有效
assign din_vld = flag_capture && href;
//行计数器,共480行
always @ (posedge clk or negedge rst_n)begin
if(!rst_n)begin
count_y <= 0;
end
else if(add_count_y)begin
if(end_count_y)begin
count_y <= 0;
end
else begin
count_y <= count_y + 1;
end
end
end
//完成一行像素采集要转到下一行时+1
assign add_count_y = end_count_x;
assign end_count_y = add_count_y && count_y == ROW-1;
//开始采集指示信号,在vsync上升沿时置1
always @ (posedge clk or negedge rst_n)begin
if(!rst_n)begin
flag_capture <= 0;
end
else if(flag_capture == 0 && vsync_l2h && en_capture)begin
flag_capture <= 1;
end
else if(end_count_y)begin
flag_capture <= 0;
end
end
//监沿器:鉴定vsync的上升沿,而这个上升沿表示新的一帧图像要开始传输了
assign vsync_l2h = vsync_ff0 == 0 && vsync == 1;
//将vsync过一个D触发器打拍
//vsync_ff0 为前一时刻
//vsync为当前时刻
always @ (posedge clk or negedge rst_n)begin
if(!rst_n)begin
vsync_ff0 <= 0;
end
else begin
vsync_ff0 <= vsync;
end
end
//采集数据输出,将采到的din给dout的低8位,下一次
always @ (posedge clk or negedge rst_n)begin
if(!rst_n)begin
dout <= 0;
end
else if(din_vld)begin
dout <= {dout[7:0],din};
end
end
//当前像素点输出有效指示信号
always @ (posedge clk or negedge rst_n)begin
if(!rst_n)begin
dout_vld <= 0;
end
else if(flag_dout_vld)begin
dout_vld <= 1;
end
else begin
dout_vld <= 0;
end
end
//第二个时钟来的时候为第一个像素点
assign flag_dout_vld = add_count_x && count_x[0] == 1;
//一帧数据开始
always @ (posedge clk or negedge rst_n)begin
if(!rst_n)begin
dout_sop <= 0;
end
else if(flag_dout_vld && count_x[10:1] == 0 && count_y == 0)begin
dout_sop <= 1;
end
else begin
dout_sop <= 0;
end
end
//一帧数据读完
always @ (posedge clk or negedge rst_n)begin
if(!rst_n)begin
dout_eop <= 0;
end
else if(flag_dout_vld && count_x[10:1] == COL-1 && count_y == ROW-1)begin
dout_eop <= 1;
end
else begin
dout_eop <= 0;
end
end
endmodule
7.灰度模块
图像处理的第一步,灰度处理:即色彩图转为灰度图,我们用到一个比较出名的色彩公式:
F= RED * 0.299 + GREEN * 0.587 + BLUE * 0.114
那么问题又来了,怎么做小数的乘法呢?事实上,在实际工程中我们都会避免效率低下的浮点运算,所以第一步就是让它变成整数运算。①因为公式里的浮点运算是三位精度,因此我们可以先乘以1000以后再除以1000。换句话说就是用299、587、114除以1000。②对于除法,在FPGA中采用除法器是相当耗费资源的事,所以我们采用不消耗资源的移位法进行除法计算,但是移位法的缺点在于只能除以2的倍数的值,因此通过右移10位来除以1024。③当然考虑到精度问题,我们也可以用乘以2^8再右移8位,即0.299 * 256 右移八位,依此类推。
最终的公式为:F = (RED * 76 + GREEN * 150 + BLUE * 30)>>8

具体代码如下:
module rgb565_gray(
clk , //输入,25M
rst_n , //输入,复位
din , //输入,采集到的图像数据,一次一个像素点
din_vld , //输入,输入有效信号
din_sop , //输入,一帧图像传输的开始
din_eop , //输入,一帧图像传输的结束
dout , //输出,灰度转化后的图像数据,一次一个像素点
dout_vld , //输出,输出有效信号
dout_sop , //输出,一帧图像传输的开始
dout_eop //输出,一帧图像传输的结束
);
//输入输出定义
input clk ;
input rst_n ;
input [15:0] din ; //采集的数据16位
input din_vld ;
input din_sop ;
input din_eop ;
output [7:0] dout ;
output dout_vld ;
output dout_sop ;
output dout_eop ;
//信号类型定义
reg [7:0] dout ;
reg dout_vld ;
reg dout_sop ;
reg dout_eop ;
wire [7:0] red ;
wire [7:0] green ;
wire [7:0] blue ;
//补齐8位数据,用原数据的低位补齐
assign red = {din[15:11],din[13:11]};
assign green = {din[10:5],din[6:5]};
assign blue = {din[4:0],din[2:0]};
//当输入有效时,实现灰度公式
always @ (posedge clk or negedge rst_n)begin
if(!rst_n)begin
dout <= 0;
end
else if(din_vld)begin
dout <= (red*76 + green*150 + blue*30) >> 8;
end
end
//输出有效跟随输入有效,即有一个输入有效就有一个输出有效
always @ (posedge clk or negedge rst_n)begin
if(!rst_n)begin
dout_vld <= 0;
end
else begin
dout_vld <= din_vld;
end
end
//输出开始跟随输入开始,即一帧的第一个像素输入就开始输出一帧第一个像素
always @ (posedge clk or negedge rst_n)begin
if(!rst_n)begin
dout_sop <= 0;
end
else begin
dout_sop <= din_sop;
end
end
输出结束跟随输入结束,即一帧的最后一个像素输入就开始输出一帧最后一个像素
always @ (posedge clk or negedge rst_n)begin
if(!rst_n)begin
dout_eop <= 0;
end
else begin
dout_eop <= din_eop;
end
end
endmodule
8.高斯滤波模块
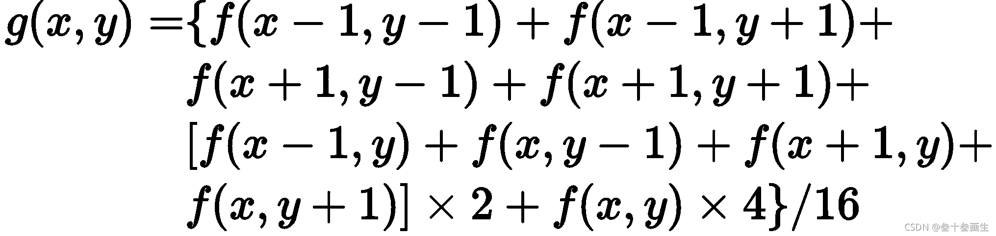
高斯滤波采用3 * 3 的掩膜,即三行三列的像素点,我们要依次将一帧图像的所有3 * 3 掩膜的像素点进行滤波。下图的掩模具体的计算公式如下:

其中f(x,y)为灰度像素值,g(x,y)为高斯滤波后的像素值。由公式可知,这与我们在优化显示AMG8833模块中的原理类似(具体可以看此链接AMG8833优化显示),都是以附近像素为原始数据的带有权重的数据处理方法。
我们知道方法之后,怎么在640 * 480 的一帧像素中构建3 * 3的掩膜呢?这里我们需要用到移位寄存器的IP核。
如上图所示为移位寄存器的端口设置,taps是可以设置的在指定位置输出的抽头,将抽头数设置为3,即可输出3行;将抽头间的距离设置为480,则意味着第一个抽头的输出是在寄存器链的第480位,第二个在480 * 2 后输出;而shiftout是寄存器末尾的输出,与最后一个抽头的输出一致,这里我们用不到。
现在我们只是可以做到输出3行,那么怎么输出三列呢?可以用D触发器进行打拍寄存。信号经过D触发器后后慢上一拍(参考D触发器打拍)所以打两拍之后就得到了前两排、前一拍、现在的、共3个数据,所以完成了3列的数据寄存。由此3 * 3的掩模便做出来了。
然后就是高斯算法:
①计算每一行的代数和
②每一列的代数和相加除以16,并输出
模块如图所示:
代码如下:
module gs_filter(
clk , //输入,25M时钟
rst_n , //输入,复位
din , //输入,经过灰度处理的8位数据
din_vld , //输入,输入数据有效
din_sop , //输入,一帧图像传输的开始
din_eop , //输入,一帧图像传输的结束
dout , //输出,数据输出
dout_vld , //输出,数据有效
dout_sop , //输出,一帧图像传输的开始
dout_eop //输出,一帧图像传输的结束
);
//输入输出定义
input clk ;
input rst_n ;
input [7:0] din ;
input din_vld ;
input din_sop ;
input din_eop ;
output [7:0] dout ;
output dout_vld;
output dout_sop;
output dout_eop;
//型号类型定义
reg [7:0] dout ;
reg dout_vld;
reg dout_sop;
reg dout_eop;
reg din_vld_ff0 ;
reg din_vld_ff1 ;
reg din_vld_ff2 ;
reg din_sop_ff0 ;
reg din_sop_ff1 ;
reg din_sop_ff2 ;
reg din_eop_ff0 ;
reg din_eop_ff1 ;
reg din_eop_ff2 ;
reg [7:0] taps0_ff0 ;
reg [7:0] taps0_ff1 ;
reg [7:0] taps1_ff0 ;
reg [7:0] taps1_ff1 ;
reg [7:0] taps2_ff0 ;
reg [7:0] taps2_ff1 ;
reg [15:0] gs_0 ;
reg [15:0] gs_1 ;
reg [15:0] gs_2 ;
wire [7:0] taps0 ;
wire [7:0] taps1 ;
wire [7:0] taps2 ;
//例化移位寄存器IP核
shift_ipcore u1(
.clken (din_vld ),
.clock (clk ),
.shiftin (din ),
.shiftout ( ),//悬空
.taps0x (taps0 ),
.taps1x (taps1 ),
.taps2x (taps2 )
);
//异步处理消除亚稳态
always @ (posedge clk or negedge rst_n)begin
if(!rst_n)begin
din_vld_ff0 <= 0;
din_vld_ff1 <= 0;
din_vld_ff2 <= 0;
din_sop_ff0 <= 0;
din_sop_ff1 <= 0;
din_sop_ff2 <= 0;
din_eop_ff0 <= 0;
din_eop_ff1 <= 0;
din_eop_ff2 <= 0;
end
else begin
din_vld_ff0 <= din_vld;
din_vld_ff1 <= din_vld_ff0;
din_vld_ff2 <= din_vld_ff1;
din_sop_ff0 <= din_sop;
din_sop_ff1 <= din_sop_ff0;
din_sop_ff2 <= din_sop_ff1;
din_eop_ff0 <= din_eop;
din_eop_ff1 <= din_eop_ff0;
din_eop_ff2 <= din_eop_ff1;
end
end
//D触发器打拍寄存前两拍、前一拍的数据
always @ (posedge clk or negedge rst_n)begin
if(!rst_n)begin
taps0_ff0 <= 0;
taps0_ff1 <= 0;
taps1_ff0 <= 0;
taps1_ff1 <= 0;
taps2_ff0 <= 0;
taps2_ff1 <= 0;
end
else if(din_vld_ff0)begin
taps0_ff0 <= taps0;
taps0_ff1 <= taps0_ff0;
taps1_ff0 <= taps1;
taps1_ff1 <= taps1_ff0;
taps2_ff0 <= taps2;
taps2_ff1 <= taps2_ff0;
end
end
//计算3 * 3 掩模第一行的和
always @ (posedge clk or negedge rst_n)begin
if(!rst_n)begin
gs_0 <= 0;
end
else if(din_vld_ff1)begin
gs_0 <= taps0_ff1 + 2*taps1_ff1 + taps2_ff1;
end
end
//计算3 * 3 掩模第二行的和
always @ (posedge clk or negedge rst_n)begin
if(!rst_n)begin
gs_1 <= 0;
end
else if(din_vld_ff1)begin
gs_1 <= 2*taps0_ff0 + 4*taps1_ff0 + 2*taps2_ff0;
end
end
//计算3 * 3 掩模第三行的和
always @ (posedge clk or negedge rst_n)begin
if(!rst_n)begin
gs_2 <= 0;
end
else if(din_vld_ff1)begin
gs_2 <= taps0 + 2*taps1 + taps2;
end
end
//三行之和除以16,即右移4位
always @ (posedge clk or negedge rst_n)begin
if(!rst_n)begin
dout <= 0;
end
else if(din_vld_ff2)begin
dout <= (gs_0 + gs_1 + gs_2) >> 4;
end
end
//输出有效,当输出有效时输出有效
always @ (posedge clk or negedge rst_n)begin
if(!rst_n)begin
dout_vld <= 0;
end
else if(din_vld_ff2)begin
dout_vld <= 1;
end
else begin
dout_vld <= 0;
end
end
//一帧输出开始,输入开始时输出开始
always @ (posedge clk or negedge rst_n)begin
if(!rst_n)begin
dout_sop <= 0;
end
else if(din_sop_ff2)begin
dout_sop <= 1;
end
else begin
dout_sop <= 0;
end
end
//一帧输出结束,输入结束时输出结束
always @ (posedge clk or negedge rst_n)begin
if(!rst_n)begin
dout_eop <= 0;
end
else if(din_eop_ff2)begin
dout_eop <= 1;
end
else begin
dout_eop <= 0;
end
end
endmodule
9.二值模块
此模块较为简单,顾名思义就是变为2值数据,也就是0和1。具体的做法为设定一个阈值,大于阈值为1,否则为0。
代码如下:
module gray_bit(
clk , //输入,25M时钟
rst_n , //输入,复位
din , //输入,经过高斯处理的8位数据
din_vld , //输入,输入数据有效
din_sop , //输入,一帧图像传输的开始
din_eop , //输入,一帧图像传输的结束
dout , //输出,数据输出
dout_vld , //输出,数据有效
dout_sop , //输出,一帧图像传输的开始
dout_eop , //输出,一帧图像传输的结束
value //输入,设定的阈值
);
input clk ;
input rst_n ;
input [7:0] value ;
input [7:0] din ;
input din_vld ;
input din_sop ;
input din_eop ;
output dout ;
output dout_vld;
output dout_sop;
output dout_eop;
reg dout ;
reg dout_vld;
reg dout_sop;
reg dout_eop;
//大于阈值输出1,否则为0
always @ (posedge clk or negedge rst_n)begin
if(!rst_n)begin
dout <= 0;
end
else if(din >= value)begin
dout <= 1;
end
else begin
dout <= 0;
end
end
//输出有效跟随输入有效
always @ (posedge clk or negedge rst_n)begin
if(!rst_n)begin
dout_vld <= 0;
end
else begin
dout_vld <= din_vld;
end
end
//输出开始跟随输入开始
always @ (posedge clk or negedge rst_n)begin
if(!rst_n)begin
dout_sop <= 0;
end
else begin
dout_sop <= din_sop;
end
end
//输出结束跟随输入结束
always @ (posedge clk or negedge rst_n)begin
if(!rst_n)begin
dout_eop <= 0;
end
else begin
dout_eop <= din_eop;
end
end
endmodule
10.边缘检测模块
与高斯滤波模块一样,此模块同样需要用到3 * 3 的掩模。只不过算法不一样。
具体的算法参考(索贝尔边缘检测算法)

A代表原始图像,Gx、Gy表示索贝尔算子。具体计算式为:

其中其中f(x,y), 表示图像(x,y)点的灰度值,换为模块中的步骤则为:
①按公式计算一行或一列的代数和
②求出3 * 3 矩阵的行或者列的差值,用绝对值表示
③行的绝对值与列的绝对值相加,判断是否为边缘点,输出
模块图:
代码中的打拍顺序图:
代码如下:
module sobel(
clk , //输入,25M时钟
rst_n , //输入,复位
din , //输入,经过灰度处理的8位数据
din_vld , //输入,输入数据有效
din_sop , //输入,一帧图像传输的开始
din_eop , //输入,一帧图像传输的结束
dout , //输出,数据输出
dout_vld , //输出,数据有效
dout_sop , //输出,一帧图像传输的开始
dout_eop //输出,一帧图像传输的结束
);
input clk ;
input rst_n ;
input din ;
input din_vld ;
input din_sop ;
input din_eop ;
output dout ;
output dout_vld;
output dout_sop;
output dout_eop;
reg dout ;
reg dout_vld;
reg dout_sop;
reg dout_eop;
reg din_vld_ff0 ;
reg din_vld_ff1 ;
reg din_vld_ff2 ;
reg din_vld_ff3 ;
reg din_sop_ff0 ;
reg din_sop_ff1 ;
reg din_sop_ff2 ;
reg din_sop_ff3 ;
reg din_eop_ff0 ;
reg din_eop_ff1 ;
reg din_eop_ff2 ;
reg din_eop_ff3 ;
reg taps0_ff0 ;
reg taps0_ff1 ;
reg taps1_ff0 ;
reg taps1_ff1 ;
reg taps2_ff0 ;
reg taps2_ff1 ;
reg [7:0] gx_0 ;
reg [7:0] gx_2 ;
reg [7:0] gy_0 ;
reg [7:0] gy_2 ;
reg [7:0] gx ;
reg [7:0] gy ;
reg [7:0] g ;
wire taps0_tmp ;
wire taps1_tmp ;
wire taps2_tmp ;
wire taps0 ;
wire taps1 ;
wire taps2 ;
//例化移位寄存器IP 用来获得3 * 3 掩模
shift2_ipcore u1(
.clken (din_vld ),
.clock (clk ),
.shiftin (din ),
.shiftout ( ),
.taps0x (taps0_tmp ),
.taps1x (taps1_tmp ),
.taps2x (taps2_tmp )
);
assign taps0 = taps0_tmp;
assign taps1 = taps1_tmp;
assign taps2 = taps2_tmp;
//异步处理
always @ (posedge clk or negedge rst_n)begin
if(!rst_n)begin
din_vld_ff0 <= 0;
din_vld_ff1 <= 0;
din_vld_ff2 <= 0;
din_vld_ff3 <= 0;
din_sop_ff0 <= 0;
din_sop_ff1 <= 0;
din_sop_ff2 <= 0;
din_sop_ff3 <= 0;
din_eop_ff0 <= 0;
din_eop_ff1 <= 0;
din_eop_ff2 <= 0;
din_eop_ff3 <= 0;
end
else begin
din_vld_ff0 <= din_vld;
din_vld_ff1 <= din_vld_ff0;
din_vld_ff2 <= din_vld_ff1;
din_vld_ff3 <= din_vld_ff2;
din_sop_ff0 <= din_sop;
din_sop_ff1 <= din_sop_ff0;
din_sop_ff2 <= din_sop_ff1;
din_sop_ff3 <= din_sop_ff2;
din_eop_ff0 <= din_eop;
din_eop_ff1 <= din_eop_ff0;
din_eop_ff2 <= din_eop_ff1;
din_eop_ff3 <= din_eop_ff2;
end
end
//用D触发器打拍获得前两拍、前一拍的数据
always @ (posedge clk or negedge rst_n)begin
if(!rst_n)begin
taps0_ff0 <= 0;
taps0_ff1 <= 0;
taps1_ff0 <= 0;
taps1_ff1 <= 0;
taps2_ff0 <= 0;
taps2_ff1 <= 0;
end
else if(din_vld_ff0)begin
taps0_ff0 <= taps0;
taps0_ff1 <= taps0_ff0;
taps1_ff0 <= taps1;
taps1_ff1 <= taps1_ff0;
taps2_ff0 <= taps2;
taps2_ff1 <= taps2_ff0;
end
end
//gx按列算
always @ (posedge clk or negedge rst_n)begin
if(!rst_n)begin
gx_0 <= 0;
end
else if(din_vld_ff1)begin
gx_0 <= taps0_ff1 + 2*taps1_ff1 + taps2_ff1;
end
end
always @ (posedge clk or negedge rst_n)begin
if(!rst_n)begin
gx_2 <= 0;
end
else if(din_vld_ff1)begin
gx_2 <= taps0 + 2*taps1 + taps2;
end
end
//gy按行算
always @ (posedge clk or negedge rst_n)begin
if(!rst_n)begin
gy_0 <= 0;
end
else if(din_vld_ff1)begin
gy_0 <= taps0_ff1 + 2*taps0_ff0 + taps0;
end
end
always @ (posedge clk or negedge rst_n)begin
if(!rst_n)begin
gy_2 <= 0;
end
else if(din_vld_ff1)begin
gy_2 <= taps2_ff1 + 2*taps2_ff0 + taps2;
end
end
//gx用绝对值表示
always @ (posedge clk or negedge rst_n)begin
if(!rst_n)begin
gx <= 0;
end
else if(din_vld_ff2)begin
gx <= (gx_0>gx_2) ? (gx_0-gx_2) : (gx_2-gx_0);
end
end
//gy用绝对值表示
always @ (posedge clk or negedge rst_n)begin
if(!rst_n)begin
gy <= 0;
end
else if(din_vld_ff2)begin
gy <= (gy_0>gy_2) ? (gy_0-gy_2) : (gy_2-gy_0);
end
end
//相加得到G
always @ (posedge clk or negedge rst_n)begin
if(!rst_n)begin
g <= 0;
end
else if(din_vld_ff3)begin
g <= gx + gy;
end
end
//判断边缘并输出
always @ (*)begin
dout = (g>=1) ? 1 : 0;
end
//输出有效
always @ (posedge clk or negedge rst_n)begin
if(!rst_n)begin
dout_vld <= 0;
end
else if(din_vld_ff3)begin
dout_vld <= 1;
end
else begin
dout_vld <= 0;
end
end
//输出开始
always @ (posedge clk or negedge rst_n)begin
if(!rst_n)begin
dout_sop <= 0;
end
else if(din_sop_ff3)begin
dout_sop <= 1;
end
else begin
dout_sop <= 0;
end
end
//输出结束
always @ (posedge clk or negedge rst_n)begin
if(!rst_n)begin
dout_eop <= 0;
end
else if(din_eop_ff3)begin
dout_eop <= 1;
end
else begin
dout_eop <= 0;
end
end
endmodule
11.存储模块
本项目需要存储的数据量其实是不大的,因而使用FPGA片内的两个RAM就能完成存储功能。,其工作方式为:
每个RAM可以保存1幅320*200的图像
①图像数据开始时保存到RAM0,同时VGA从RAM1中读取图像数据进行显示。
②读取RAM0的数据进行显示。同时模块准备将新的图像数据写到RAM1当中。
③ 需要注意的是:当写完一幅图像并且读完一幅图像时,RAM才开始切换。
ram的ip核:


模块图:
代码如下:
module ram(
clk , //输入,25M时钟
rst_n , //输入,复位
din , //输入,输入1位数据
din_vld , //输入,输入数据有效信号
din_sop , //输入,一帧数据的开始
din_eop , //输入,一帧数据的结束
rd_addr , //输入,要读RAM的地址
rd_en , //输入,读RAM的使能
rd_end , //输入,读结束信号
rd_addr_sel , //输入,读切换信号,用来切换RAM
dout , //输出,输出1位数据
wr_end //输出,写结束信号
);
input clk ;
input rst_n ;
input din ;
input din_vld ;
input din_sop ;
input din_eop ;
input [15:0] rd_addr ;
input rd_en ;
input rd_end ;
input rd_addr_sel;
output dout ;
output wr_end ;
reg dout ;
reg wr_end ;
reg [9:0] cnt_col ;
reg [9:0] cnt_row ;
reg wr_data ;
reg [15:0] wr_addr ;
reg wr_addr_sel ;
reg wr_en0 ;
reg wr_en1 ;
reg rd_en0 ;
reg rd_en1 ;
reg flag_wr ;
wire add_cnt_col ;
wire end_cnt_col ;
wire add_cnt_row ;
wire end_cnt_row ;
wire display_area ;
wire q0 ;
wire q1 ;
//1行640个像素点
always @ (posedge clk or negedge rst_n)begin
if(!rst_n)begin
cnt_col <= 0;
end
else if(add_cnt_col)begin
if(end_cnt_col)
cnt_col <= 0;
else
cnt_col <= cnt_col + 1;
end
end
assign add_cnt_col = (flag_wr || (wr_end==0 && din_sop)) && din_vld;
assign end_cnt_col = add_cnt_col && cnt_col == 640-1;
//480行像素点,即一帧为640*480
always @ (posedge clk or negedge rst_n)begin
if(!rst_n)begin
cnt_row <= 0;
end
else if(add_cnt_row)begin
if(end_cnt_row)
cnt_row <= 0;
else
cnt_row <= cnt_row + 1;
end
end
assign add_cnt_row = end_cnt_col;
assign end_cnt_row = add_cnt_row && cnt_row == 480-1;
//显示区域为 (160--480)*(140--340) 320*200的一帧图像
always @ (posedge clk or negedge rst_n)begin
if(!rst_n)begin
wr_data <= 0;
end
else if(display_area)begin
wr_data <= din;
end
end
assign display_area = cnt_col >= 160 && cnt_col < 480 && cnt_row >= 140 && cnt_row <= 340;
//写到ram的地址
always @ (posedge clk or negedge rst_n)begin
if(!rst_n)begin
wr_addr <= 0;
end
else if(display_area)begin
wr_addr <= (cnt_col-160) + 320*(cnt_row-140);
end
end
//当读和写都完成时,写切换标志信号wr_addr_sel信号取反
always @ (posedge clk or negedge rst_n)begin
if(!rst_n)begin
wr_addr_sel <= 0;
end
else if(wr_end && rd_end)begin
wr_addr_sel <= ~wr_addr_sel;
end
end
//一帧数据传完,写结束
always @ (posedge clk or negedge rst_n)begin
if(!rst_n)begin
wr_end <= 0;
end
else if(end_cnt_row)begin
wr_end <= 1;
end
else if(wr_end && rd_end)begin
wr_end <= 0;
end
end
//写指示区域信号,在写结束且一帧图像又要开始时置1
always @ (posedge clk or negedge rst_n)begin
if(!rst_n)begin
flag_wr <= 0;
end
else if(wr_end == 0 && din_sop)begin
flag_wr <= 1;
end
else if(end_cnt_row)begin
flag_wr <= 0;
end
end
//写到RAM0的使能,在显示区域且切换标志为0且数据有效时开始使能
always @ (posedge clk or negedge rst_n)begin
if(!rst_n)begin
wr_en0 <= 0;
end
else if(display_area && wr_addr_sel==0 && din_vld)begin
wr_en0 <= 1;
end
else begin
wr_en0 <= 0;
end
end
//写到RAM1的使能,在显示区域且切换标志为1且数据有效时开始使能
always @ (posedge clk or negedge rst_n)begin
if(!rst_n)begin
wr_en1 <= 0;
end
else if(display_area && wr_addr_sel==1 && din_vld)begin
wr_en1 <= 1;
end
else begin
wr_en1 <= 0;
end
end
//例化
//说明一下,因为rd_addr最多给到16位,也就是RAM最多能存2^16 = 65536个像素点
//所以对于640* 480的一帧图像,我们只能选择中间的320*200的区域来进行显示
ram_ipcore u0(
.clock (clk ),
.data (wr_data ),
.rdaddress (rd_addr ),
.rden (rd_en0 ),
.wraddress (wr_addr ),
.wren (wr_en0 ),
.q (q0 )
);
ram_ipcore u1(
.clock (clk ),
.data (wr_data ),
.rdaddress (rd_addr ),
.rden (rd_en1 ),
.wraddress (wr_addr ),
.wren (wr_en1 ),
.q (q1 )
);
//RAM0读使能在读切换信号为0且读使能有效时置1
always @ (*)begin
if(rd_en && rd_addr_sel == 0)
rd_en0 = 1;
else
rd_en0 = 0;
end
//RAM1读使能在读切换信号为1且读使能有效时置1
always @ (*)begin
if(rd_en && rd_addr_sel == 1)
rd_en1 = 1;
else
rd_en1 = 0;
end
//输出也得看从哪个RAM读
always @ (*)begin
if(rd_addr_sel == 0)begin
dout = q0;
end
else if(rd_addr_sel == 1)begin
dout = q1;
end
else begin
dout = 0;
end
end
endmodule
12.VGA模块
此模块的作用为读取存储模块的数据并驱动到外部显示器进行显示。具体的VGA时序可以看VGA接口时序。

具体代码如下:
module vga_driver(
clk , //输入,25m时钟
rst_n , //输入,复位
din , //输入,输入数据
wr_end , //输入,写数据结束
vga_hys , //输出,行同步信号
vga_vys , //输出,场同步信号
vga_rgb , //输出,16位的颜色信号
rd_addr , //输出,16位读地址
rd_en , //输出,读使能信号
rd_end , //输出,读结束信号
rd_addr_sel //输出,地址改变信号
);
parameter DATA_W = 16;
parameter COL = 320;
parameter ROW = 200;
parameter COL_2 = 160;
parameter ROW_2 = 100;
input clk ;
input rst_n ;
input din ;
input wr_end ;
output vga_hys ;
output vga_vys ;
output [DATA_W-1:0] vga_rgb ;
output [15:0] rd_addr ;
output rd_en ;
output rd_end ;
output rd_addr_sel;
reg vga_hys ;
reg vga_vys ;
reg [DATA_W-1:0] vga_rgb ;
reg [15:0] rd_addr ;
reg rd_en ;
reg rd_end ;
reg rd_addr_sel;
reg [9:0] cnt_hys ;
reg [9:0] cnt_vys ;
reg vga_hys_tmp ;
reg vga_vys_tmp ;
reg vga_hys_tmp_ff0 ;
reg vga_vys_tmp_ff0 ;
reg display_area ;
reg e_area ;
reg display_area_ff0;
reg e_area_ff0 ;
reg display_area_ff1;
reg e_area_ff1 ;
reg [9:0] x ;
reg [9:0] y ;
wire add_cnt_hys ;
wire end_cnt_hys ;
wire add_cnt_vys ;
wire end_cnt_vys ;
wire [9:0] x0 ;
wire [9:0] x1 ;
wire [9:0] y0 ;
wire [9:0] y1 ;
//一行的时钟数 在一定的时钟输出像素点
always @ (posedge clk or negedge rst_n)begin
if(!rst_n)begin
cnt_hys <= 0;
end
else if(add_cnt_hys)begin
if(end_cnt_hys)
cnt_hys <= 0;
else
cnt_hys <= cnt_hys + 1;
end
end
assign add_cnt_hys = 1;
assign end_cnt_hys = add_cnt_hys && cnt_hys == 800-1;
//525行数据,一行的像素点显示完后+1到下一行
always @ (posedge clk or negedge rst_n)begin
if(!rst_n)begin
cnt_vys <= 0;
end
else if(add_cnt_vys)begin
if(end_cnt_vys)
cnt_vys <= 0;
else
cnt_vys <= cnt_vys + 1;
end
end
assign add_cnt_vys = end_cnt_hys;
assign end_cnt_vys = add_cnt_vys && cnt_vys == 525-1;
//一行的时钟数到达96 即vga的同步脉冲数96个后,将vga_hys_tmp拉高
always @ (posedge clk or negedge rst_n)begin
if(!rst_n)begin
vga_hys_tmp <= 0;
end
else if(add_cnt_hys && cnt_hys == 95)begin
vga_hys_tmp <= 1;
end
else if(end_cnt_hys)begin
vga_hys_tmp <= 0;
end
end
//场同步信号在第二个vys时钟拉高
always @ (posedge clk or negedge rst_n)begin
if(!rst_n)begin
vga_vys_tmp <= 0;
end
else if(add_cnt_vys && cnt_vys == 1)begin
vga_vys_tmp <= 1;
end
else if(end_cnt_vys)begin
vga_vys_tmp <= 0;
end
end
//vga_hys异步处理
//vga_vys异步处理
//打两拍
always @ (posedge clk or negedge rst_n)begin
if(!rst_n)begin
vga_hys_tmp_ff0 <= 0;
vga_vys_tmp_ff0 <= 0;
vga_hys <= 0;
vga_vys <= 0;
end
else begin
vga_hys_tmp_ff0 <= vga_hys_tmp;
vga_vys_tmp_ff0 <= vga_vys_tmp;
vga_hys <= vga_hys_tmp_ff0;
vga_vys <= vga_vys_tmp_ff0;
end
end
//显示区域
always @ (*)begin
display_area = cnt_hys >= 141 && cnt_hys < (141+646) && cnt_vys >= 32 && cnt_vys < (32+484);
end
//有效边缘区域
always @ (*)begin
e_area = cnt_hys >= x0 && cnt_hys < x1 && cnt_vys >= y0 && cnt_vys < y1;
end
//对显示区域信号进行打拍
always @ (posedge clk or negedge rst_n)begin
if(!rst_n)begin
display_area_ff0 <= 0;
e_area_ff0 <= 0;
display_area_ff1 <= 0;
e_area_ff1 <= 0;
end
else begin
display_area_ff0 <= display_area;
e_area_ff0 <= e_area;
display_area_ff1 <= display_area_ff0;
e_area_ff1 <= e_area_ff0;
end
end
//有效区域 320*200 在正中间
assign x0 = 141 + (323 - COL_2); //304
assign x1 = 141 + (323 + COL_2); //624
assign y0 = 32 + (242 - ROW_2); //174
assign y1 = 32 + (242 + ROW_2); //374
//读地址的计算
//RAM中地址按位数一位一位存储
//地址信号16位,能存65536个
always @ (*)begin
x = cnt_hys - x0;
end
always @ (*)begin
y = cnt_vys - y0;
end
always @ (*)begin
rd_addr = COL*y + x;
end
//读完写完一帧,换RAM继续读写
always @ (posedge clk or negedge rst_n)begin
if(!rst_n)begin
rd_addr_sel <= 1;
end
else if(rd_end && wr_end)begin
rd_addr_sel <= ~rd_addr_sel;
end
end
//当最后一行显示完,读结束
always @ (posedge clk or negedge rst_n)begin
if(!rst_n)begin
rd_end <= 0;
end
else if(end_cnt_vys)begin
rd_end <= 1;
end
else begin
rd_end <= 0;
end
end
//在有效显示区域 320*200 时 读开始
always @ (*)begin
rd_en = e_area;
end
//rgb565 全1为白 全0为黑
always @ (posedge clk or negedge rst_n)begin
if(!rst_n)begin
vga_rgb <= 0;
end
else if(display_area_ff1)begin
if(e_area_ff1)begin
vga_rgb <= ~{DATA_W{din}};
end
else begin
vga_rgb <= {DATA_W{1'b1}};
end
end
else begin
vga_rgb <= 0;
end
end
endmodule
13.顶层模块
顶层模块的作用就是将各个模块连接在一起。
代码如下:
module byjc(
clk ,
rst_n ,
key_in ,
vsync ,
href ,
din ,
xclk ,
pwdn ,
sio_c ,
sio_d ,
vga_hys ,
vga_vys ,
vga_rgb
);
input clk ;
input rst_n ;
input [3:0] key_in ;
input vsync ;
input href ;
input [7:0] din ;
output xclk ;
output pwdn ;
output vga_hys ;
output vga_vys ;
output [15:0] vga_rgb ;
output sio_c ;
inout sio_d ;
wire en_sio_d_w;
wire sio_d_w ;
wire sio_d_r ;
assign sio_d = en_sio_d_w ? sio_d_w : 1'dz;
assign sio_d_r = sio_d;
wire clk_25m ;
wire locked ;
wire [3:0] key_num ;
wire en_coms ;
wire [7:0] value_gray ;
wire rdy ;
wire wen ;
wire ren ;
wire [7:0] addr ;
wire [7:0] wdata ;
wire capture_en ;
wire [7:0] rdata ;
wire rdata_vld ;
wire [15:0] cmos_dout ;
wire cmos_dout_vld ;
wire cmos_dout_sop ;
wire cmos_dout_eop ;
wire [7:0] gray_dout ;
wire gray_dout_vld ;
wire gray_dout_sop ;
wire gray_dout_eop ;
wire [7:0] gs_dout ;
wire gs_dout_vld ;
wire gs_dout_sop ;
wire gs_dout_eop ;
wire bit_dout ;
wire bit_dout_vld ;
wire bit_dout_sop ;
wire bit_dout_eop ;
wire sobel_dout ;
wire sobel_dout_vld;
wire sobel_dout_sop;
wire sobel_dout_eop;
wire [15:0] rd_addr ;
wire rd_en ;
wire vga_data ;
wire rd_end ;
wire wr_end ;
wire rd_addr_sel ;
wire[3:0] key_vld ;
wire en_vld ;
wire [7:0] sub_addr;
pll_ipcore u0(
.inclk0 (clk ),
.c0 (xclk )
);
key_en u1(
.clk (xclk ),
.rst_n (rst_n ),
.key_in (key_in ),
.key_vld(key_vld )
);
ov7670_config u2(
.clk (xclk ),
.rst_n (rst_n ),
.config_en (key_vld[1] /*en_vld*/ ),
.rdy (rdy ),
.rdata (rdata ),
.rdata_vld (rdata_vld ),
.wdata (wdata ),
.addr (sub_addr ),
.wr_en (wen ),
.rd_en (ren ),
.cmos_en (en_capture ),
.pwdn (pwdn )
);
sccb u3(
.clk (xclk ),
.rst_n (rst_n ),
.ren (ren ),
.wen (wen ),
.sub_addr (sub_addr ),
.rdata (rdata ),
.rdata_vld (rdata_vld ),
.wdata (wdata ),
.rdy (rdy ),
.sio_c (sio_c ),
.sio_d_r (sio_d_r ),
.en_sio_d_w (en_sio_d_w ),
.sio_d_w (sio_d_w )
);
cmos_capture u4(
.clk (xclk ),
.rst_n (rst_n ),
.en_capture (en_capture ),
.vsync (vsync ),
.href (href ),
.din (din ),
.dout (cmos_dout ),
.dout_vld (cmos_dout_vld ),
.dout_sop (cmos_dout_sop ),
.dout_eop (cmos_dout_eop )
);
rgb565_gray u5(
.clk (xclk ),
.rst_n (rst_n ),
.din (cmos_dout ),
.din_vld (cmos_dout_vld ),
.din_sop (cmos_dout_sop ),
.din_eop (cmos_dout_eop ),
.dout (gray_dout ),
.dout_vld (gray_dout_vld ),
.dout_sop (gray_dout_sop ),
.dout_eop (gray_dout_eop )
);
gs_filter u6(
.clk (xclk ),
.rst_n (rst_n ),
.din (gray_dout ),
.din_vld (gray_dout_vld ),
.din_sop (gray_dout_sop ),
.din_eop (gray_dout_eop ),
.dout (gs_dout ),
.dout_vld (gs_dout_vld ),
.dout_sop (gs_dout_sop ),
.dout_eop (gs_dout_eop )
);
gray_bit u7(
.clk (xclk ),
.rst_n (rst_n ),
.value ( 150 ),
.din (gs_dout ),
.din_vld (gs_dout_vld ),
.din_sop (gs_dout_sop ),
.din_eop (gs_dout_eop ),
.dout (bit_dout ),
.dout_vld (bit_dout_vld ),
.dout_sop (bit_dout_sop ),
.dout_eop (bit_dout_eop )
);
sobel u8(
.clk (xclk ),
.rst_n (rst_n ),
.din (bit_dout ),
.din_vld (bit_dout_vld ),
.din_sop (bit_dout_sop ),
.din_eop (bit_dout_eop ),
.dout (sobel_dout ),
.dout_vld (sobel_dout_vld ),
.dout_sop (sobel_dout_sop ),
.dout_eop (sobel_dout_eop )
);
ram_sel u9(
.clk (xclk ),
.rst_n (rst_n ),
.din (sobel_dout ),
.din_vld (sobel_dout_vld ),
.din_sop (sobel_dout_sop ),
.din_eop (sobel_dout_eop ),
.rd_addr (rd_addr ),
.rd_en (rd_en ),
.rd_end (rd_end ),
.rd_addr_sel (rd_addr_sel ),
.dout (vga_data ),
.wr_end (wr_end )
);
vga_driver u10(
.clk (xclk ),
.rst_n (rst_n ),
.din (vga_data ),
.wr_end (wr_end ),
.vga_hys (vga_hys ),
.vga_vys (vga_vys ),
.vga_rgb (vga_rgb ),
.rd_addr (rd_addr ),
.rd_en (rd_en ),
.rd_end (rd_end ),
.rd_addr_sel (rd_addr_sel )
);
endmodule
整个项目编译后,RTL连接如图所示:

14.管脚配置及上板实验
编译成功后,还要进行管脚的配置,再搭上硬件,整个边缘检测系统就算成功了,当然中间省略了关键的一步就是波形的验证仿真,因为工作量太大就不一一陈述了。下面分析一下有哪些管脚需要配置,也就是那些是直接连到FPGA上的信号。


配置完管脚之后再次编译,上板实验得到如下结果:

边栏推荐
- how to add square on screenshot
- MySQL 啥时候用表锁,啥时候用行锁?
- MySQL uses explain to analyze SQL execution plans to help find performance bottlenecks
- What is the NFT concept.. Fully understand NFT market, technology and cases
- Hcip day 7
- *Yolo5 learning * data experiment based on yolo5 face combined with attention model se
- Image feature Harris corner detection
- [Huawei] Huawei machine test question-105
- Basic operation of queue
- The difference between online learning and offline learning
猜你喜欢

Devops essay

Hcip day 7
![[Beijiao] image processing: basic concepts, image enhancement, morphological processing, image segmentation](/img/b3/76d2bcdf4b9769fb6308b7dac9ceb5.jpg)
[Beijiao] image processing: basic concepts, image enhancement, morphological processing, image segmentation

Vidar-Team战队专访:AS WE DO, AS YOU KNOW.

The solution of unable to import custom library in pycharm

The vision group of Hegong University Sky team trained Day1 - machine learning, and learned to use the Yolo model

NFT是什么?一篇文章搞懂NFT的概念

Perceptron and multilayer neural network, back propagation and computational graph

JSON extractor use in JMeter

MySQL -- subquery scalar subquery
随机推荐
Use of ArrayList
News topic classification task -- tochtext library for text classification
13. Unity2d horizontal version of two-way platform that can move up, down, left and right (two-way walking + movable + independent judgment) + random platform generation
Kotlin coprocess analysis (III) -- understanding the context of coprocess
Basic operation of queue
Automatic test and manual test
Natural language processing Jieba
Opencv project - credit card recognition (learning record)
Kubernetes: (I) basic concepts
Continuous learning, lifelong learning, episodic memory, memory module paper summary -- gradient episodic memory promotes continuous learning
EZDML逆向工程导入数据库分析实操教程
Vertex buffer and shader (the cherno + leranopongl) notes
Image feature Harris corner detection
About the solution of thinking that you download torch as a GPU version, but the result is really a CPU version
避坑,职场远离PUA,PUA常见的套路与话术你得了解一下!
Intelligent robots and intelligent systems (Professor Zheng Zheng of Dalian University of Technology) -- 2. Mobile Robot Perception
Digital twin demonstration project -- Talking about simple pendulum (2) vision exploration and application scenarios
Hcip day 9 notes
Jetson AgX Orin source change
Kotlin higher order function & DSL layout persuasion Guide