当前位置:网站首页>(11) Image frequency domain filtering with OpenCV
(11) Image frequency domain filtering with OpenCV
2022-06-12 20:22:00 【Hengyoucheng】
1. Basics
see 《 Digital image processing fourth edition 》P137-P209
1.1 The Fourier transform Fourier Transform
Fourier Transform from A French mathematician and physicist Jean-Baptiste Joseph Fourier (1768-1830) Put forward , It mainly includes Fourier series applicable to periodic functions (Fourier Serier) And applied to aperiodic functions ( Limited area under curve ) The Fourier transform of .
- Fourier series
Fourier series means , The period is T T T A continuous variable of t t t The periodic signal of f ( t ) f(t) f(t), Can be expressed as multiplied by an appropriate coefficient Sum of sine function and cosine function .
With the help of Euler formula and Euler identity transformation ,

Fourier series can be expressed in the form of complex exponent , In the form of ,

among , coefficient c n c_n cn Can be expressed as : c n = 1 T ∫ − T / 2 T / 2 f ( t ) e − 2 π n t T d t , n = 0 , ± 1 , ± 2 , . . . c_n = \frac{1}{T}\int_{-T/2}^{T/2} f(t)e^{-\frac{2\pi nt}{T}}dt, n=0,\pm 1,\pm 2,... cn=T1∫−T/2T/2f(t)e−T2πntdt,n=0,±1,±2,..., j = − 1 j=\sqrt-1 j=−1
From the formula of Fourier series, we can see , The periodic function is decomposed into different frequencies , Range , Sine sum of phase angle / Or cosine function . The signal can be expanded from time domain to frequency domain for analysis . This is the meaning of Fourier transform , The visual description of it can Reference resources
- Fourier transform of continuous function
Aperiodic function can be regarded as a function whose period is infinite , Refer to the Fourier series c n c_n cn, The relationship between the frequency and the amplitude of the coefficient , Fourier transform , Can be expressed as :
F ( μ ) = ∫ − ∞ ∞ f ( t ) e − j 2 π μ t d t F(\mu) = \int_{-\infty}^{\infty}f(t)e^{-j2\pi\mu t}dt F(μ)=∫−∞∞f(t)e−j2πμtdt
1.2 Convolution theorem
Continuous variable t Two continuous functions of f ( t ) f(t) f(t) and h ( t ) h(t) h(t) The convolution of is defined as :
( f ⋆ h ) ( t ) = ∫ − ∞ ∞ f ( τ ) h ( t − τ ) d τ (f\star h)(t) = \int _{-\infty}^{\infty}f(\tau)h(t-\tau)d\tau (f⋆h)(t)=∫−∞∞f(τ)h(t−τ)dτ
among , − τ -\tau −τ Represents the rotation of the convolution kernel function 180 degree , t t t Is the displacement of one function over another , τ \tau τ Is the integral dummy variable . The Fourier transform of the above formula is expressed as :
In the square brackets of the formula is h ( t − τ ) h(t-\tau) h(t−τ) The Fourier transform of , F ( h ( t − τ ) ) = H ( μ ) e − j 2 π μ τ F(h(t-\tau))=H(\mu)e^{-j2\pi\mu\tau} F(h(t−τ))=H(μ)e−j2πμτ, H ( μ ) H(\mu) H(μ) yes h ( t ) h(t) h(t) The Fourier transform of , type (5) Can be expressed as :
In style ∙ \bullet ∙ To express multiplication , ζ \zeta ζ Represents Fourier transform .
It can be seen from the above formula that , Fourier transform of convolution of two functions in space domain , Equal to the product of the Fourier transform of two functions in the frequency domain . conversely , If you have the product of two Fourier transforms in the frequency domain , The convolution in spatial domain can be obtained by computing the inverse Fourier transform . Sum up , The convolution theorem can be expressed as :
( f ⋆ h ) ( t ) ⇔ ( F ∙ H ) ( μ ) (f\star h)(t) \Leftrightarrow (F\bullet H)(\mu) (f⋆h)(t)⇔(F∙H)(μ)
( f ∙ h ) ( t ) ⇔ ( F ⋆ H ) ( μ ) (f\bullet h)(t) \Leftrightarrow (F\star H)(\mu) (f∙h)(t)⇔(F⋆H)(μ)
1.3 Impulse function and its sampling properties
Continuous variable t t t stay t = 0 t=0 t=0 The unit impulse at is expressed as δ t \delta{t} δt, Expressed as :
The impulse function satisfies the following properties :
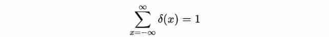
- Satisfy the identity : ∫ − ∞ ∞ δ ( t ) d t = 1 \int_{-\infty}^{\infty}\delta(t)dt = 1 ∫−∞∞δ(t)dt=1
- Sampling properties : ∫ − ∞ ∞ f ( t ) δ ( t − t 0 ) d t = f ( t 0 ) \int_{-\infty}^{\infty}f(t)\delta(t-t_0)dt = f(t_0) ∫−∞∞f(t)δ(t−t0)dt=f(t0), The nature of the sample is only to obtain f ( t ) f(t) f(t) At the impulse position t 0 t_0 t0 Place the value of the .
Actual pair f ( t ) f(t) f(t) When sampling , A series of impulse signals are required , With Δ T \Delta T ΔT Sampling for intervals , This defines the impact string :
Above , take t t t Interpreted as a continuous time variable , For discrete variables , The impulse function is defined as :
The nature of satisfaction is equivalent to :
- Identity :
- Sampling properties :
1.4 Fourier transform of impulse and impulse string
According to the definition of Fourier transform of continuous univariate function , δ ( t ) \delta(t) δ(t) The Fourier transform of a function can be expressed as :
ζ { δ ( t ) } = F ( μ ) = ∫ − ∞ ∞ δ ( t ) e − j 2 π μ t d t = ∫ − ∞ ∞ e − j 2 π μ t δ ( t ) d t = e − j 2 π μ 0 = 1 \zeta \{\delta(t)\}=F(\mu)=\int_{-\infty}^{\infty}\delta(t)e^{-j2\pi \mu t}dt=\int_{-\infty}^{\infty}e^{-j2\pi \mu t}\delta(t)dt=e^{-j2\pi \mu 0}=1 ζ{ δ(t)}=F(μ)=∫−∞∞δ(t)e−j2πμtdt=∫−∞∞e−j2πμtδ(t)dt=e−j2πμ0=1
stay t = t 0 t=t_0 t=t0 It's about , The Fourier transform of an impulse is :
ζ { δ ( t − t 0 ) } = F ( μ ) = ∫ − ∞ ∞ δ ( t − t 0 ) e − j 2 π μ t d t = ∫ − ∞ ∞ e − j 2 π μ t δ ( t − t 0 ) d t = e − j 2 π μ t 0 \zeta \{\delta(t-t_0)\}=F(\mu)=\int_{-\infty}^{\infty}\delta(t-t_0)e^{-j2\pi \mu t}dt=\int_{-\infty}^{\infty}e^{-j2\pi \mu t}\delta(t-t_0)dt=e^{-j2\pi \mu t_0} ζ{ δ(t−t0)}=F(μ)=∫−∞∞δ(t−t0)e−j2πμtdt=∫−∞∞e−j2πμtδ(t−t0)dt=e−j2πμt0
To get a discrete signal , It is usually necessary to use a periodic impulse string for sampling , Therefore, when deriving the Fourier transform of discrete signal, it is necessary to obtain the Fourier transform of periodic impulse string first .
First , From the Fourier transform and inverse transform defined above , If the function f ( t ) f(t) f(t) There is Fourier transform F ( μ ) F(\mu) F(μ), The function F ( t ) F(t) F(t) The Fourier transform of is f ( − μ ) f(-\mu) f(−μ), By this nature , Impulse δ ( t − t 0 ) \delta(t-t_0) δ(t−t0) The Fourier transform of is e − j 2 π μ t 0 e^{-j2\pi \mu t_0} e−j2πμt0, be e − j 2 π μ t 0 e^{-j2\pi \mu t_0} e−j2πμt0 The Fourier transform of is δ ( − μ − t 0 ) \delta(-\mu-t_0) δ(−μ−t0). remember a = − t 0 a=-t_0 a=−t0, be e j 2 π μ a e^{j2\pi \mu a} ej2πμa The Fourier transform of is δ ( − μ + a ) \delta(-\mu + a) δ(−μ+a), For the impulse function , except μ = a \mu = a μ=a Outside , δ \delta δ All for 0, therefore δ ( − μ + a ) = δ ( μ − a ) \delta(-\mu + a)=\delta(\mu - a) δ(−μ+a)=δ(μ−a), That is to say ζ [ e j 2 π μ a ] = δ ( μ − a ) \zeta[e^{j2\pi \mu a}]=\delta(\mu - a) ζ[ej2πμa]=δ(μ−a).
from 1.3 know S Δ T ( t ) S_{\Delta T}(t) SΔT(t) Yes, the period is Δ T \Delta T ΔT The periodic function of , Its Fourier series is expressed as :

The cycle is [ − Δ T / 2 , Δ T / 2 ] [-\Delta T/2, \Delta T/2] [−ΔT/2,ΔT/2] The integral on contains only the impulse at the origin , so c n c_n cn It can be expressed as :
c n = 1 Δ T ∫ − Δ T / 2 Δ T / 2 δ ( t ) e − j 2 π n Δ T d t = 1 Δ T e 0 = 1 Δ T c_n=\frac{1}{\Delta T}\int_{-\Delta T/2}^{\Delta T/2}\delta(t)e^{-j\frac{2\pi n}{\Delta T}}dt=\frac{1}{\Delta T}e^0=\frac{1}{\Delta T} cn=ΔT1∫−ΔT/2ΔT/2δ(t)e−jΔT2πndt=ΔT1e0=ΔT1
that , Fourier series can be expressed as :
Combined with the foregoing ζ [ e j 2 π μ a ] = δ ( μ − a ) \zeta[e^{j2\pi \mu a}]=\delta(\mu - a) ζ[ej2πμa]=δ(μ−a), be
ζ [ e j 2 π n Δ T t ] = δ ( μ − n Δ T ) \zeta[e^{j\frac{2\pi n}{\Delta T}t}]=\delta(\mu - \frac{n}{\Delta T}) ζ[ejΔT2πnt]=δ(μ−ΔTn)
The Fourier transform of the combined sum is equal to the sum of the Fourier transforms of the components , Then the Fourier transform of the periodic impulse string is
It can be seen from the above formula that , The period is Δ T \Delta T ΔT The Fourier transform of the impulse string of is still an impulse string , Its period is 1 Δ T \frac{1}{\Delta T} ΔT1, Their periods are inversely proportional to each other .
1.5 Fourier transform of sampled function and sampling theorem

The process of using impulse string sampling is shown in the figure above , Its mathematical expression is :
f ~ ( t ) = f ( t ) S Δ T ( t ) = ∑ n = − ∞ ∞ f ( t ) δ ( t − n Δ T ) \tilde f(t)=f(t)S_{\Delta T}(t)=\sum_{n=-\infty}^{\infty}f(t)\delta (t-n\Delta T) f~(t)=f(t)SΔT(t)=∑n=−∞∞f(t)δ(t−nΔT)
f ~ ( t ) \tilde f(t) f~(t) Represents the function after sampling , After sampling , The value of any sample in the sampling sequence f k f_k fk Given by the following formula :
f k = ∫ − ∞ ∞ f ( t ) δ ( t − k Δ T ) d t = f ( k Δ T ) f_k=\int_{-\infty}^{\infty}f(t)\delta(t-k\Delta T)dt=f(k\Delta T) fk=∫−∞∞f(t)δ(t−kΔT)dt=f(kΔT)
Fourier transform representation of the sampled function :
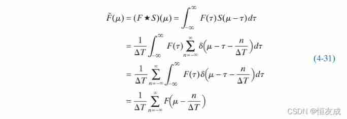
F ( μ ) F(\mu) F(μ) Represents a continuous function f ( t ) f(t) f(t) The Fourier transform of a function , Sampled function f ~ ( t ) \tilde f(t) f~(t) And f ( t ) f(t) f(t) Product of the impulse string . By convolution theorem , Fourier transform of the product of two functions in space domain , Is the convolution of two transformations in the frequency domain . therefore f ~ ( t ) \tilde f(t) f~(t) The Fourier transform of F ~ ( μ ) \tilde F(\mu) F~(μ) Can be expressed as :
F ~ ( μ ) = ζ { f ~ ( t ) } = ζ { f ( t ) S Δ T ( t ) } = ( F ⋆ S ) ( μ ) \tilde F(\mu) = \zeta\{\tilde f(t)\}=\zeta\{f(t)S_{\Delta T}(t)\}=(F\star S)(\mu) F~(μ)=ζ{ f~(t)}=ζ{ f(t)SΔT(t)}=(F⋆S)(μ)
From the above derivation, we can know that the Fourier transform of the impulse string is :
By the definition of one-dimensional convolution , be F ( μ ) F(\mu) F(μ) and S ( μ ) S(\mu) S(μ) The convolution of can be expressed as :

From the above derivation, we can know , Post sampling function f ~ ( t ) \tilde f(t) f~(t) The Fourier transform of F ~ ( μ ) \tilde F(\mu) F~(μ) Is an infinite periodic replica sequence of the Fourier transform of the original function . Consider the Fourier transform diagram of a band limited function :
Above picture , chart a Is the function f ( t ) f(t) f(t) The Fourier transform of F ( μ ) F(\mu) F(μ), chart b Is the function f ~ ( t ) \tilde f(t) f~(t) The Fourier transform of F ~ ( μ ) \tilde F(\mu) F~(μ), 1 / Δ T 1/\Delta T 1/ΔT Is the sampling rate of the sampling function , As can be seen from the above figure, the sampling rate should be high enough to provide an effective interval between cycles , To maintain F ( μ ) F(\mu) F(μ) The integrity of . chart c Sum graph d They correspond to critical sampling and undersampling respectively .
For a finite interval centered on the origin [ − μ m a x , μ m a x ] [-\mu_{max},\mu_{max}] [−μmax,μmax] External frequency value , A function whose Fourier transform is zero f ( t ) f(t) f(t) be called Band limited function . It can be seen from the above figure , When Δ T \Delta T ΔT large , F ~ ( μ ) \tilde F(\mu) F~(μ) It's going to happen Overlap , Will not be able to F ~ ( μ ) \tilde F(\mu) F~(μ) Separate the complete F ( μ ) F(\mu) F(μ), That is, the original signal cannot be restored by inverse Fourier transform . So in order to restore the original signal , The sampling frequency must be increased , Here's the picture :
When 1 / 2 Δ T > μ m a x 1/2\Delta T\gt\mu_{max} 1/2ΔT>μmax Enough space can be ensured during the operation : 1 Δ T > 2 μ m a x \frac{1}{\Delta T}\gt2\mu_{max} ΔT1>2μmax, The formula shows that , If you exceed the highest frequency of the function 2 Times the sampling rate to get the sample , Then the continuous band limited function can be recovered from its sample set , The conclusion is that Sampling theorem .
1.6 Recover the function from the sampled data
Defined function H ( μ ) H(\mu) H(μ) by :
be F ( μ ) F(\mu) F(μ) by : F ( μ ) = H ( μ ) F ~ ( μ ) F(\mu)=H(\mu)\tilde F(\mu) F(μ)=H(μ)F~(μ), obtain F ( μ ) F(\mu) F(μ) After that, it can be restored by inverse Fourier transform f ( t ) f(t) f(t):
f ( t ) = ∫ − ∞ ∞ F ( μ ) e j 2 π μ t f(t)=\int_{-\infty}^{\infty}F(\mu)e^{j2\pi\mu t} f(t)=∫−∞∞F(μ)ej2πμt
from F ( μ ) = H ( μ ) F ~ ( μ ) F(\mu)=H(\mu)\tilde F(\mu) F(μ)=H(μ)F~(μ) Available :
f ( t ) = ζ − 1 { F ( μ ) } = ζ − 1 { H ( μ ) F ~ ( μ ) } = h ( t ) ⋆ f ~ ( t ) f(t)=\zeta^{-1}\{F(\mu)\}=\zeta^{-1}\{H(\mu)\tilde F(\mu)\}=h(t)\star\tilde f(t) f(t)=ζ−1{ F(μ)}=ζ−1{ H(μ)F~(μ)}=h(t)⋆f~(t)
That is, the processing of function in frequency domain is equivalent to convolution in spatial domain .
2. Discrete Fourier transform (Discrete Fourier Transform)
2.1 One dimensional discrete Fourier transform
Discussed earlier Sampling theorem when , The function after sampling is obtained f ~ ( t ) \tilde f(t) f~(t) The Fourier transform of F ~ ( μ ) \tilde F(\mu) F~(μ) And primitive function f ( t ) f(t) f(t) The Fourier transform of F ( μ ) F(\mu) F(μ) The relationship between , But it doesn't give F ~ ( μ ) \tilde F(\mu) F~(μ) The expression of , Here we use the definition of impulse string to find :
from F ~ ( μ ) \tilde F(\mu) F~(μ) And F ( μ ) F(\mu) F(μ) The relationship between , You know , F ~ ( μ ) \tilde F(\mu) F~(μ) Yes, the period is 1 / Δ T 1/\Delta T 1/ΔT Infinite periodic continuous function of , Thus characterizing F ~ ( μ ) \tilde F(\mu) F~(μ) Just one cycle . Assuming that the μ = 0 \mu=0 μ=0 To μ = 1 / Δ T \mu=1/\Delta T μ=1/ΔT Equal intervals in a cycle of F ~ ( μ ) \tilde F(\mu) F~(μ) Of M Samples , Sampling at the following frequencies can be achieved : μ = m M Δ T , m = 0 , 1 , 2 , . . . , M − 1 \mu=\frac{m}{M\Delta T}, m=0,1,2,...,M-1 μ=MΔTm,m=0,1,2,...,M−1 hold μ \mu μ Substitute it into the above formula to get F ~ ( μ ) \tilde F(\mu) F~(μ) The expression of is :
One is known by f(t) Of M A collection of samples { f m } \{f_m\} { fm} when , The above formula gives a corresponding to the discrete Fourier transform of the input sample set M A set of complex values { F m } \{F_m\} { Fm}. conversely , Get { F m } \{F_m\} { Fm} Time can also be obtained by inverse Fourier transform { f m } \{f_m\} { fm}
Often used in images x x x, y y y Represents the image coordinates , And use μ \mu μ, v v v Represents the frequency variable , These variables here are interpreted as integers , Then the above Fourier transform pair can be expressed as :
2.2 Fourier transform of two-dimensional function :
Extend the previous concept to two dimensions .
Two dimensional impulse function : δ ( t , z ) { = 1 , t = z = 0 0 , o t h e r s , And ∫ − ∞ ∞ ∫ − ∞ ∞ δ ( t , z ) d t d z = 1 \delta(t,z)\begin{cases} =1,t=z=0\\ 0,others \end{cases}, And \int_{-\infty}^{\infty}\int_{-\infty}^{\infty}\delta(t,z)dtdz = 1 δ(t,z){ =1,t=z=00,others, And ∫−∞∞∫−∞∞δ(t,z)dtdz=1
Sampling properties of two-dimensional impulse function :
∫ − ∞ ∞ ∫ − ∞ ∞ f ( t , z ) δ ( t − t 0 , z − z 0 ) d t d z = f ( t 0 , z 0 ) \int_{-\infty}^{\infty}\int_{-\infty}^{\infty}f(t,z)\delta(t-t_0,z-z_0)dtdz = f(t_0,z_0) ∫−∞∞∫−∞∞f(t,z)δ(t−t0,z−z0)dtdz=f(t0,z0)
Fourier transform pairs of two-dimensional continuous functions :
F ( μ , v ) = ∫ − ∞ ∞ ∫ − ∞ ∞ f ( t , z ) e − j 2 π ( μ t + v z ) d t d z F(\mu,v) = \int_{-\infty}^{\infty}\int_{-\infty}^{\infty}f(t,z)e^{-j2\pi(\mu t+vz)}dtdz F(μ,v)=∫−∞∞∫−∞∞f(t,z)e−j2π(μt+vz)dtdz and f ( t , z ) = ∫ − ∞ ∞ ∫ − ∞ ∞ F ( μ , v ) e j 2 π ( μ t + v z ) d μ d v f(t,z) = \int_{-\infty}^{\infty}\int_{-\infty}^{\infty}F(\mu,v)e^{j2\pi(\mu t+vz)}d\mu d v f(t,z)=∫−∞∞∫−∞∞F(μ,v)ej2π(μt+vz)dμdv
Two dimensional impulse string ( Two dimensional sampling function ):
Two dimensional sampling theorem :
{ Δ T < 1 2 μ m a x Δ Z < 1 2 v m a x \begin{cases} \Delta T \lt \frac{1}{2\mu_{max}} \\ \Delta Z \lt \frac{1}{2 v_{max}} \end{cases} { ΔT<2μmax1ΔZ<2vmax1
Aliasing of two-dimensional signals :
Two dimensional discrete Fourier transform pair :
Translation, rotation and periodicity of two-dimensional discrete Fourier transform :
By definition, we can find :
translation :
f ( x , y ) e j 2 π ( μ 0 x / M + v 0 y / M ) ⇔ F ( μ − μ 0 , v − v 0 ) f(x,y)e^{j2\pi(\mu_0x/M+v_0 y/M)}\Leftrightarrow F(\mu -\mu_0, v- v_0) f(x,y)ej2π(μ0x/M+v0y/M)⇔F(μ−μ0,v−v0)
f ( x − x 0 , y − y 0 ) ⇔ F ( μ − μ 0 , v − v 0 ) e − j 2 π ( x 0 μ / M + y 0 v / M ) f(x-x_0,y-y_0)\Leftrightarrow F(\mu -\mu_0, v- v_0)e^{-j2\pi(x_0\mu/M+y_0 v/M)} f(x−x0,y−y0)⇔F(μ−μ0,v−v0)e−j2π(x0μ/M+y0v/M)Multiply by the exponential term shown f ( x , y ) f(x,y) f(x,y) Will make DFT The origin of is moved to ( μ 0 , v 0 ) (\mu_0,v_0) (μ0,v0) It's about , Multiply by the negative exponent F ( μ , v ) F(\mu, v) F(μ,v) Will make f ( x , y ) f(x,y) f(x,y) The origin of is moved to a point f ( x 0 , y 0 ) f(x_0,y_0) f(x0,y0) It's about . Translation does not affect F ( μ , v ) F(\mu,v) F(μ,v) Range of
rotate :
Using polar coordinates : x = r c o s θ , y = r s i n θ , μ = ω c o s φ , v = s i n φ x=rcos\theta,y=rsin \theta, \mu=\omega cos \varphi, v = sin \varphi x=rcosθ,y=rsinθ,μ=ωcosφ,v=sinφ, Then there are the following transformation pairs :$f(r,\theta+\theta_0)\Leftrightarrow F(\omega, \varphi + \theta_0) namely , if f ( x , y ) Spin turn namely , if f(x,y) rotate namely , if f(x,y) Spin turn \theta_0 horn degree , be angle , be horn degree , be F(\mu,v) also take Spin turn phase Same as Of horn degree . back And , if Will also rotate the same angle . conversely , if also take Spin turn phase Same as Of horn degree . back And , if F(\mu,v) Spin turn some individual horn degree , Rotate an angle , Spin turn some individual horn degree ,f(x,y)$ Rotate the same angle .
periodic :
The same as the one-dimensional case , Two dimensional discrete Fourier transform and its inverse transform are used in μ \mu μ and v v v The direction is infinitely periodic , namely :
F ( μ , v ) = F ( u + k 1 M , v ) = F ( μ , v + k 2 N ) = F ( u + k 1 M , v + k 2 N ) F(\mu,v)=F(u+k_1M,v)=F(\mu,v+k_2N)=F(u+k_1M,v+k_2N) F(μ,v)=F(u+k1M,v)=F(μ,v+k2N)=F(u+k1M,v+k2N)
and
f ( x , y ) = f ( x + k 1 M , y ) = f ( x , y + k 2 N ) = f ( x + k 1 M , y + k 2 N ) f(x,y)=f(x+k_1M,y)=f(x,y+k_2N)=f(x+k_1M,y+k_2N) f(x,y)=f(x+k1M,y)=f(x,y+k2N)=f(x+k1M,y+k2N)From the analysis of the first part , Can be found , Section 0 To M-1 The transform data on is represented by the at point M / 2 M/2 M/2 The two half cycles that meet at , It can be found that F ( μ ) F(\mu) F(μ) At higher frequencies , It is not convenient for analysis and filtering . According to the above translational properties ,
f ( x ) e j 2 π ( μ 0 x / M ) ⇔ F ( μ − μ 0 ) f(x)e^{j2\pi (\mu_0x/M)}\Leftrightarrow F(\mu -\mu_0) f(x)ej2π(μ0x/M)⇔F(μ−μ0)
This formula will put the origin of the data F ( 0 ) F(0) F(0) Translation to μ 0 \mu_0 μ0, If another μ 0 = M / 2 \mu_0=M/2 μ0=M/2, Then the exponential term becomes e j π x e^{j\pi x} ejπx, because x Is an integer , So according to Euler's formula , It can be expressed as ( − 1 ) x (-1)^x (−1)x, Substitute the above formula to get :
f ( x ) ( − 1 ) x ⇔ F ( μ − M / 2 ) f(x)(-1)^x\Leftrightarrow F(\mu - M/2) f(x)(−1)x⇔F(μ−M/2)
As shown in the figure below .
For the two-dimensional case, it can be expressed as :
f ( x , y ) ( − 1 ) x + y ⇔ F ( μ − M / 2 , v − N / 2 ) f(x,y)(-1)^{x+y}\Leftrightarrow F(\mu - M/2, v-N/2) f(x,y)(−1)x+y⇔F(μ−M/2,v−N/2)
spectrum , Phase spectrum and power spectrum :
From the previous analysis, we can see , A two-dimensional DFT It's usually a complex function , Expressed in polar coordinates as :
F ( μ , v ) = R ( μ , v ) + j I ( μ , v ) = ∣ F ( μ , v ) ∣ e j ϕ ( μ , v ) F(\mu,v)=R(\mu,v)+jI(\mu,v)=|F(\mu,v)|e^{j\phi(\mu,v)} F(μ,v)=R(μ,v)+jI(μ,v)=∣F(μ,v)∣ejϕ(μ,v)
Fourier spectrum :
∣ F ( μ , v ) ∣ = [ R 2 ( μ , v ) + I 2 ( μ , v ) ] 1 / 2 |F(\mu,v)|=[R^2(\mu,v)+I^2(\mu,v)]^{1/2} ∣F(μ,v)∣=[R2(μ,v)+I2(μ,v)]1/2
Phase spectrum : ϕ ( μ , v ) = a r c t a n [ I ( μ , v ) R ( μ , v ) ] \phi(\mu,v)=arctan[\frac{I(\mu,v)}{R(\mu,v)}] ϕ(μ,v)=arctan[R(μ,v)I(μ,v)]
Power spectrum : P ( μ , v ) = ∣ F ( μ , v ) ∣ 2 = R 2 ( μ , v ) + I 2 ( μ , v ) P(\mu,v)=|F(\mu,v)|^2 = R^2(\mu,v) + I^2(\mu,v) P(μ,v)=∣F(μ,v)∣2=R2(μ,v)+I2(μ,v)
The spectrum diagram of an image is shown in the figure below :
chart A Is the original image , chart B It is the spectrum obtained by Fourier transform of the original image directly , You can see that the four corners are brighter , But because its value is scattered in four corners , So it's hard to observe , Use the previous transformation , For the original function f ( x , y ) f(x,y) f(x,y) multiply ( − 1 ) x + y (-1)^{x+y} (−1)x+y Move the center of the transformation to the center of the image to get the graph C, More convenient for observation and analysis . chart D It is the result of logarithm of spectrum value .
2.2 Two dimensional discrete convolution theorem
The one-dimensional discrete convolution theorem is extended to two variables , Available :
The two-dimensional convolution theorem can be expressed as :
( f ⋆ h ) ( x , y ) ⇔ ( F ∙ H ) ( μ , v ) (f \star h)(x,y) \Leftrightarrow (F\bullet H)(\mu,v) (f⋆h)(x,y)⇔(F∙H)(μ,v)
Problems when using convolution theorem :
If you use DFT And convolution theorem to obtain the same convolution result as the left column in the figure below , Need to consider DFT The periodicity inherent in the expression .
The left column in the above figure , It is defined that the dimension used is 400 The convolution check size of is 400 Convolution of the original signal , First rotate the convolution kernel 180 degree , Then slide through the original signal in turn , Get the convolution result shown at the end of the left column of the figure .
If convolution theorem is used , be f,h Both have periodicity , If according to convolution theorem , To calculate f and h Of DFT, And then multiply this transformation , Then calculate the inverse Fourier transform , You will get the result shown on the right side of the above figure , Obviously, the convolution result calculated in this way is wrong .
Overlapping errors are easy to resolve . consider f(x) and h(x), They are made up of A A sample and B Sample composition , It can be proved that , If zero is filled in these two functions , Make them long P identical , select
P ≥ A + B − 1 P\ge A+B-1 P≥A+B−1
Avoid overlapping errors .
Make f ( x , y ) f(x,y) f(x,y) and h ( x , y ) h(x,y) h(x,y) The sizes are respectively A X B AXB AXB Pixels and C X D CXD CXD Pixel image array . The overlapping error in their cyclic convolution can be avoided by filling these two functions with zeros ,
f p ( x , y ) = { f ( x , y ) , 0 ≤ x ≤ A − 1 and 0 ≤ y ≤ B − 1 0 , A ≤ x ≤ P or B ≤ y ≤ Q f_p(x,y) = \begin{cases} f(x,y),0\le x \le A-1 and 0 \le y \le B-1\\ 0,A \le x \le P or B \le y \le Q \end{cases} fp(x,y)={ f(x,y),0≤x≤A−1 and 0≤y≤B−10,A≤x≤P or B≤y≤Q
h p ( x , y ) = { h ( x , y ) , 0 ≤ C − 1 and 0 ≤ y ≤ D − 1 0 , C ≤ x ≤ P or D ≤ y ≤ Q h_p(x,y)=\begin{cases} h(x,y), 0 \le C-1 and 0 \le y \le D-1\\ 0, C \le x \le P or D \le y \le Q \end{cases} hp(x,y)={ h(x,y),0≤C−1 and 0≤y≤D−10,C≤x≤P or D≤y≤Q
among , P ≥ A + C − 1 P \ge A+C-1 P≥A+C−1, Q ≥ B + D − 1 Q \ge B+D-1 Q≥B+D−1
The image size after zero filling is P X Q PXQ PXQ, If two arrays are the same size , All for M X N MXN MXN, Requirements P ≥ 2 M − 1 P\ge2M-1 P≥2M−1 and Q ≥ 2 N − 1 Q\ge2N-1 Q≥2N−1.DFT The algorithm is faster when executing even size arrays , Therefore, the minimum even integer satisfying the above formula is usually selected as P and Q Value , If two arrays are the same , be P = 2 M P=2M P=2M and Q = 2 N Q=2N Q=2N
3. Frequency domain filtering steps
1) The size of one is M X N MXN MXN The input image of f ( x , y ) f(x,y) f(x,y), The dimension after zero filling is obtained from the above formula P=2M and Q=2N
2) Use zero padding , Mirror fill or copy fill , The formation size is P X Q PXQ PXQ Filled image of f P ( x , y ) f_P(x,y) fP(x,y)
3) According to the translation property of the two-dimensional Fourier transform , take f P ( x , y ) f_P(x,y) fP(x,y) multiply ( − 1 ) x + y (-1)^{x+y} (−1)x+y, Place the Fourier transform at P X Q PXQ PXQ The size of the center of the frequency rectangle
4) computational procedure 3 Of the resulting image DFT, namely F ( μ , v ) F(\mu,v) F(μ,v)
5) Build a real symmetric filter transfer function H ( μ , v ) H(\mu, v) H(μ,v), Its size is P X Q PXQ PXQ, Center in ( P / 2 , Q / 2 ) (P/2,Q/2) (P/2,Q/2) It's about
6) Multiply the corresponding pixels to obtain G ( μ , v ) = H ( μ , v ) F ( μ , v ) G(\mu,v)=H(\mu,v)F(\mu,v) G(μ,v)=H(μ,v)F(μ,v), namely G ( i , k ) = H ( i , k ) F ( i . k ) , i = 0 , 1 , 2 , . . . , M − 1 G(i,k)=H(i,k)F(i.k),i=0,1,2,...,M-1 G(i,k)=H(i,k)F(i.k),i=0,1,2,...,M−1 and k = 0 , 1 , 2 , . . . , N − 1 k=0,1,2,...,N-1 k=0,1,2,...,N−1
7) Calculation G ( μ , v ) G(\mu, v) G(μ,v) Of IDFT Get the filtered image ( The size is PXQ): g p ( x , y ) = { r e a l [ ζ − 1 [ G ( μ , v ) ] ] } ( − 1 ) x + y g_p(x,y)=\{real[\zeta^{-1}[G(\mu,v)]]\}(-1)^{x+y} gp(x,y)={ real[ζ−1[G(μ,v)]]}(−1)x+y
8) Last , from g P ( x , y ) g_P(x,y) gP(x,y) The upper left quadrant of extracts a size of M X N MXN MXN Region , The filtering result with the same size as the input image is obtained g ( x , y ) g(x,y) g(x,y)
4.OpenCV API
int cv::getOptimalDFTSize ( int vecsize )
When performing Fourier transform , The original image needs to be expanded to improve the processing speed , The purpose of this method is to obtain the minimum expansion that satisfies the optimal processing speedvoid cv::copyMakeBorder ( InputArray src, OutputArray dst, int top, int bottom, int left, int right, int borderType, const Scalar & value = Scalar() )Expand the image , You can set the expansion size and type up, down, left and rightvoid cv::merge ( const Mat * mv, size_t count, OutputArray dst )take M a t Mat Mat Array mv Merge into count channel Of dst, And split Just the oppositevoid cv::dft ( InputArray src, OutputArray dst, int flags = 0, int nonzeroRows = 0 )perform 1d or 2d Discrete Fourier transformvoid cv::magnitude ( InputArray x, InputArray y, OutputArray magnitude )Calculation x x x and y y y The mold , d s t ( I ) = x ( I ) 2 + y ( I ) 2 ) dst(I)=\sqrt{x(I)^2+y(I)^2)} dst(I)=x(I)2+y(I)2)
Example :
// https://docs.opencv.org/4.x/d8/d01/tutorial_discrete_fourier_transform.html
#include "opencv2/core.hpp"
#include "opencv2/imgproc.hpp"
#include "opencv2/imgcodecs.hpp"
#include "opencv2/highgui.hpp"
#include <iostream>
using namespace cv;
using namespace std;
static void help(char ** argv)
{
cout << endl
<< "This program demonstrated the use of the discrete Fourier transform (DFT). " << endl
<< "The dft of an image is taken and it's power spectrum is displayed." << endl << endl
<< "Usage:" << endl
<< argv[0] << " [image_name -- default lena.jpg]" << endl << endl;
}
int main(int argc, char ** argv)
{
help(argv);
const char* filename = argc >=2 ? argv[1] : "lena.jpg";
Mat I = imread( samples::findFile( filename ), IMREAD_GRAYSCALE);
if( I.empty()){
cout << "Error opening image" << endl;
return EXIT_FAILURE;
}
//! [expand]
Mat padded; //expand input image to optimal size
int m = getOptimalDFTSize( I.rows );
int n = getOptimalDFTSize( I.cols ); // on the border add zero values
copyMakeBorder(I, padded, 0, m - I.rows, 0, n - I.cols, BORDER_CONSTANT, Scalar::all(0));
//! [expand]
//! [complex_and_real]
Mat planes[] = {
Mat_<float>(padded), Mat::zeros(padded.size(), CV_32F)};
Mat complexI;
merge(planes, 2, complexI); // Add to the expanded another plane with zeros
//! [complex_and_real]
//! [dft]
dft(complexI, complexI); // this way the result may fit in the source matrix
//! [dft]
// compute the magnitude and switch to logarithmic scale
// => log(1 + sqrt(Re(DFT(I))^2 + Im(DFT(I))^2))
//! [magnitude]
split(complexI, planes); // planes[0] = Re(DFT(I), planes[1] = Im(DFT(I))
magnitude(planes[0], planes[1], planes[0]);// planes[0] = magnitude
Mat magI = planes[0];
//! [magnitude]
//! [log]
magI += Scalar::all(1); // switch to logarithmic scale
log(magI, magI);
//! [log]
//! [crop_rearrange]
// crop the spectrum, if it has an odd number of rows or columns
magI = magI(Rect(0, 0, magI.cols & -2, magI.rows & -2));
// rearrange the quadrants of Fourier image so that the origin is at the image center
int cx = magI.cols/2;
int cy = magI.rows/2;
Mat q0(magI, Rect(0, 0, cx, cy)); // Top-Left - Create a ROI per quadrant
Mat q1(magI, Rect(cx, 0, cx, cy)); // Top-Right
Mat q2(magI, Rect(0, cy, cx, cy)); // Bottom-Left
Mat q3(magI, Rect(cx, cy, cx, cy)); // Bottom-Right
Mat tmp; // swap quadrants (Top-Left with Bottom-Right)
q0.copyTo(tmp);
q3.copyTo(q0);
tmp.copyTo(q3);
q1.copyTo(tmp); // swap quadrant (Top-Right with Bottom-Left)
q2.copyTo(q1);
tmp.copyTo(q2);
//! [crop_rearrange]
//! [normalize]
normalize(magI, magI, 0, 1, NORM_MINMAX); // Transform the matrix with float values into a
// viewable image form (float between values 0 and 1).
//! [normalize]
imshow("Input Image" , I ); // Show the result
imshow("spectrum magnitude", magI);
waitKey();
return EXIT_SUCCESS;
}
result :
REF:
1.https://zhuanlan.zhihu.com/p/351173878
2.https://zhuanlan.zhihu.com/p/19763358
3.https://zhuanlan.zhihu.com/p/31371519
4.https://docs.opencv.org/4.x/d8/d01/tutorial_discrete_fourier_transform.html
5.https://www.cnblogs.com/HL-space/p/10546602.html
边栏推荐
- system()
- If you master these skills, you can also write a high score resume in the eyes of HR
- How mysterious is "PIP not an internal or external command, nor a runnable program or batch file"
- 3 R complex data types
- centos7 安装 mysql 5.7
- Golang type assertion understanding [go language Bible]
- 使用Swagger生成 API 文档(go语言示例)
- 【无标题】
- 7 R read / write data
- Bsn-ddc basic network introduction, technical features, unique advantages, application scenarios and platform access
猜你喜欢

In 2022, FISCO bcos MVP recognized that the channel was open and invited you to become an open source leader

Installation of xv6 system

Wall Street cheat sheet

Zhangqiming, vice director of the United Front Work Department of the CPC Anhui Provincial Committee, led a team to investigate the HoloNet Royal Hefei R & D base

Unsupported class file major version 60

Lightroom 大使系列:用 Meg Loeks 捕捉怀旧之情

Implementation of exec function and shell

Experience Technology Department of ant group launched the 2023rd school recruitment

What is the difference between union and union all

WordPress optimization tutorial makes WordPress open faster
随机推荐
Zhangqiming, vice director of the United Front Work Department of the CPC Anhui Provincial Committee, led a team to investigate the HoloNet Royal Hefei R & D base
Microsoft Word tutorial, how to insert page numbers and table of contents in word?
3 R complex data types
WordPress station group tutorial automatic collection of pseudo original release tutorial
Parameter meaning of random forest randomforestclassifier in sklearn
What is disk IO?
system()
[games101] class note 8 - shading (shading frequency, graphics pipeline, texture mapping)
【splishsplash】自定义导出器
The joint empowerment plan of Baidu PaddlePaddle large enterprise open innovation center was launched! Help Pudong to upgrade its industry intelligently
synchronized下的 i+=2 和 i++ i++执行结果居然不一样
EditText control starts from the upper left corner
Fcpx tutorial, how to export video graphics and text in Final Cut Pro?
Axure RP 9 for MAC (interactive product prototyping tool) Chinese version
Lightroom Ambassador series: capturing nostalgia with MEG loeks
QT pro file configuration ffmpeg macro
Golden, silver and four job hopping season, teach you these tips to improve the interview success rate
【生成对抗网络学习 其三】BiGAN论文阅读笔记及其原理理解
Alipay payment Episode 12: Crazy God and Feige Alipay payment configuration code (free resources, no thanks for taking them away)
User and group permissions