当前位置:网站首页>Advanced numbers | [calculus of multivariate function] chain derivation method, implicit function derivation method, total differential form invariance, multivariate function extremum
Advanced numbers | [calculus of multivariate function] chain derivation method, implicit function derivation method, total differential form invariance, multivariate function extremum
2022-07-25 03:49:00 【Xipi yo】

One 、 Differentiation of multivariate functions
1、 chain rule












2、 Invariance of total differential form


Four operational properties of total differential operation


3、 Implicit function differential method
3.1 The case of an equation



Classic example







Odd number of negative 1 Even positive 1
3.2 The case of equations










3、 ... and 、 Extreme value and maximum value of multivariate function
1、 Unconstrained extremum


2、 Conditional extremum and Lagrange multiplier method

3、 Max min

Four 、 Frequently asked questions and classic examples
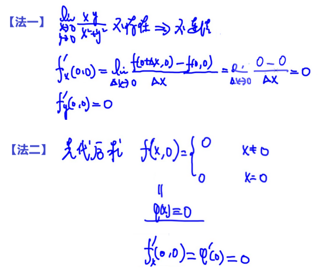
1、 continuity 、 Partial derivative 、 The concept of total differential and the relationship between them

Differentiable but discontinuous counterexamples



2. Partial derivative and total differential of composite function



After derivation f1,f2, Still compound !


3. Partial derivative and total differential of implicit function

4. Find the extreme value ( Unconditional )


Two ways to solve the original function :① Partial integral ② Make a difference

5. Find continuous function f(x,y) In a bounded closed region D The maximum and minimum values on


6. Maximum and minimum application questions .
边栏推荐
- How does Jupiter notebook change themes and font sizes?
- 01_ Education 1
- Interview question 08.07. Permutation and combination of non repeated strings DFS method
- One question per day
- Many local and municipal supervision departments carried out cold drink sampling inspection, and Zhong Xue's high-quality products were all qualified
- Table of contents of force deduction questions
- Servlet个人实操笔记(一)
- Bond network card mode setting
- Force deduction problem 238. product of arrays other than itself
- C. Mark and His Unfinished Essay
猜你喜欢

Deep learning Titanic (beginner) kaggle Liu er's homework Lesson 8

Swagger key configuration items

Force deduction brush question 14. Longest common prefix

A 20 yuan facial cleanser sold tens of thousands in seven days. How did they do it?

Operations in shell

ES (8.1) certification topic

VMware installation

Detailed explanation of three factory modes
![[Flink] submit the jar package to the Flink cluster and run it](/img/9b/076949a4b9fe75ee248c400ee21474.png)
[Flink] submit the jar package to the Flink cluster and run it

292. Nim game
随机推荐
MIM command
Hw2021 attack and defense drill experience - Insights
Analysis of DNS domain name resolution process
Solution: owner's smart site supervision cloud platform
Introduction to Apache Doris grafana monitoring indicators
弹性布局(display:flex下 align-content、justify-content、align-items三个属性的作用和效果
Leetcode.745. prefix and suffix search____ Double dictionary tree + double pointer
Day 9 (capture traffic and routing strategy)
144. Preorder traversal of binary tree
Flink1.15 source code reading - Flink annotations
Use go language to import Doris data through stream load
[kaggle] how to effectively avoid oom and the long process of alchemy
Deep learning Titanic (beginner) kaggle Liu er's homework Lesson 8
Original | ueditor1.4.3-asmx bypasses WAF
Bond network card mode setting
Uniapp picker select the effect demo of provinces and cities (finishing)
Network construction and application in 2020 -- the answer of samba in Guosai
B. All Distinct
Visio use
300. Longest increasing subsequence





