当前位置:网站首页>从2022年的这几篇论文看推荐系统序列建模的趋势
从2022年的这几篇论文看推荐系统序列建模的趋势
2022-06-09 11:15:00 【智源社区】
作者 | 猫的薛定谔
背景



玩法一:序列加side info

论文标题:
Sequential Modeling with Multiple Attributes for Watchlist Recommendation in E-Commerce
https://arxiv.org/pdf/2110.11072.pdf

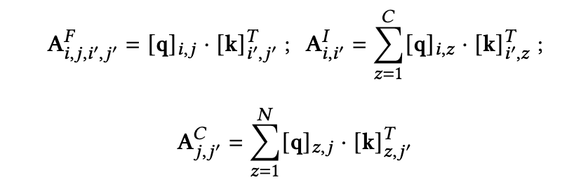
具体的计算过程:
2. 多了个属性维度后,emb 如何转变为 QKV 呢?本文对每种属性(也叫 channel) 进行相同的线性变换,即:

▲ Linear2D,i代表item,j代表属性

▲ 2D的attention score
4. 到目前为止,计算了 attention之后,输出仍有 2 维,属性维和 emb 维。降维处理是在 prediction layer 之前,对属性维进行 pooling,将仅剩的 emb 维松儒 mlp。
玩法二:序列加宽

论文链接:

TGIN 的模型结构如下图,看着复杂,其实很简单。下图中的红框部分就是一个类似于 DIN 的计算 attention 的网络,左边是处理 triangle 的,有边是计算多阶 triangle(理解为图上的多阶邻居)attention 的网络。

▲ TGIN
某阶的 TriangleNet:每一阶会有多个 triangle,每个 triangle 会有 3 个 item,所以就先内部聚合(intra),简单的 avg pooling;再外部聚合(inter),multi-head self-attention。

▲ TriangleNet
玩法三:序列分段并加标签

论文链接:


总结
边栏推荐
- 09 | 中台落地第四步:中台的建设与接入(Delivery)
- U8g2图形库与STM32移植(I2C,软件与硬件)
- 8.<tag-回溯和全排列>lt.46. 全排列 + lt.47. 全排列 II
- 还有新产品?丰田GR系列或将扩充产品线
- 【SignalR全套系列】之在.Net Core 中实现SignalR实时通信
- win10安装过程
- OpenSSL 安全漏洞(CVE-2016-8610)修复详情步骤
- Daily question -leetcode1037- effective boomerang
- HEVC之HM学习01
- How to uninstall IE browser in win7 system
猜你喜欢

【管理知多少】中文“其他”、英文“OTHER”、日文“その他”.......

06 | the first step of China Taiwan landing: enterprise strategy decomposition and current situation research (Discovery)

08 | 中台落地第三步:中台的规划与设计(Design)

CVPR 2022 | pttr: 3D point cloud target tracking based on transformer

Focus on DNS: analysis of ISC bind

7.<tag-回溯和子集问题>lt.70.子集 + lt.90.子集 II

win10你的组织已关闭自动更新问题怎么解决?

03 | definition of China Taiwan: what are we talking about when we talk about China Taiwan?

组件el-scrollbar的使用

Win10 20h2 was officially released, and the list of old and new features was compared
随机推荐
Focus on DNS: analysis of ISC bind
6.两两交换链表中的节点
R语言测试构建好的决策树模型(基于测试数据集)、进行预测推理并使用table函数计算混淆矩阵、基于混淆矩阵计算模型准确度accuray
Open IPv6 access on the website to test whether it supports IPv6
c语言字符串和数值之间的转换函数
05 | D4模型:中台规划建设方法论概述
5. bracket generation
5.括号生成
A detailed light field depth estimation
电脑快速索引查询软件Listary
消防工程师与消防员有什么区别?
wsl2环境搭建
9.<tag-回溯和同层内去重的组合问题>lt.491. 递增子序列
Do you dare to deliver your microservices independently?
2022年软考信息安全工程师考试备考指南
Win7系统怎么卸载IE浏览器
2022年软考高级网络规划设计师备考指南
7.<tag-回溯和子集问题>lt.70.子集 + lt.90.子集 II
Answers to six basic questions of security assessment for commercial password applications
H3C认证云计算工程师