当前位置:网站首页>The most commonly used objective weighting method -- entropy weight method
The most commonly used objective weighting method -- entropy weight method
2022-06-12 05:16:00 【Breeding apes】
Our journey is the sea of stars , Not smoke and dust .

List of articles
One 、 Principle of entropy weight method
Two 、 The main steps of entropy weight method
2.2 Calculate the ratio of each index under each scheme
2.3 Find the information entropy of each index .
2.4 Determine the weight of each indicator
2.4.1 Calculate the weight of each index through information entropy :
2.4.2 Calculate the weight by calculating the information redundancy :
2.5 Finally, calculate the comprehensive score of each scheme
4.1 The use of entropy weight method
4.2 The advantages of entropy weight method
4.3 Disadvantages of entropy weight method
One 、 Principle of entropy weight method
1.1 Information entropy
Entropy is a physical concept of thermodynamics , It is a measure of the degree of chaos or disorder of the system , The larger the entropy, the more chaotic the system is ( That is, the less information you carry ), The smaller the entropy, the more orderly the system is ( That is, the more information you carry ). Information entropy refers to the concept of entropy in thermodynamics , Shannon called the amount of information contained in the source information entropy , Used to describe the average amount of event information , So in Mathematics , Information entropy is the expectation of the amount of information contained in an event (mean, Or mean , Or expectation , Is the probability of each possible result in the test multiplied by the sum of its results ), According to the definition of expectation , It is conceivable that the formula of information entropy is :

among H It's information entropy ,q Is the number of source messages ,
It's the news
Probability of occurrence .
1.2 Entropy weight method
Information is a measure of the order of a system , Entropy is a measure of the disorder of a system ; According to the definition of information entropy , For an indicator , Entropy can be used to judge the dispersion degree of an index , The smaller the information entropy , The greater the dispersion of the index , The impact of this index on Comprehensive Evaluation ( That's the weight ) The greater the , If the values of an indicator are all equal , Then the index does not play a role in the comprehensive evaluation . therefore , Information entropy can be used as a tool , Calculate the weight of each index , Provide basis for multi index comprehensive evaluation .
Literal paraphrase : When we analyze a factor , Subjectively list some influential indicators , These indicators have some correlation with dependent variables , Whether it is positive or negative correlation , At the same amount of change , The value of each indicator has also changed , At some stage ,X1 Changed 1,X2 Changed 0.5, The dependent variable changes 1, From the perspective of relevance X1 The correlation ratio X2 Be big ,X1 Yes Y The impact of , Then come to see X1 and X2 The index value of , If we say that the proportion is the same ( One value divided by the sum of all values ) After normalization ,X1 It seems that the amount of change is relatively large , The greater the degree of data dispersion after normalization , such as [1 1.5 2] and [1.5 1.75 2] After normalization, it is [0.22 0.33 0.44] and [0.28 0.33 0.38], The dispersion of the former is greater than that of the latter . Although this method is simple , But it is very useful in the practical problems of enterprises , For example, the ability level of business personnel should be evaluated according to their benefit and output .
Two 、 The main steps of entropy weight method
2.1 Data standardization
First, each index is de dimensioned . Suppose given m Indicators :
![]()
among
![]()
It is assumed that the standardized value of each indicator data is
![]()
be


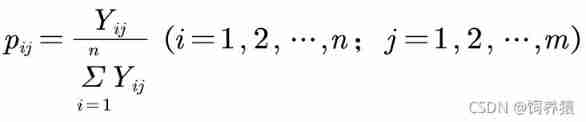
2.2 Calculate the ratio of each index under each scheme
Set a certain level of indicators to have m Two level index , And has obtained n Annual data , Write it down as a matrix
. Under the same index , Calculate the proportion of each year's value in the total value , The formula is as follows :

2.3 Find the information entropy of each index .
According to the definition of information entropy in information theory , The information entropy of a set of data is :

2.4 Determine the weight of each indicator
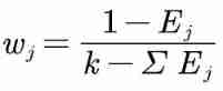
According to the calculation formula of information entropy , The information entropy of each index is calculated as E1,E2,…,Em.
2.4.1 Calculate the weight of each index through information entropy :

here k It refers to the number of indicators , namely k=m.
2.4.2 Calculate the weight by calculating the information redundancy :
![]()
Then calculate the index weight :

2.5 Finally, calculate the comprehensive score of each scheme

3、 ... and 、 Program (MATLAB)
X=[124.3000 2.4200 25.9800 19.0000 3.1000 79.0000 54.1000 6.1400 3.5700 64.0000
134.7000 2.5000 21.0000 19.2500 3.3400 84.0000 53.7000 6.7400 3.5500 64.9600
193.3000 2.5600 29.2600 19.3100 3.4500 92.0000 54.0000 7.1800 3.4000 65.6500
118.6000 2.5200 31.1900 19.3600 3.5700 105.0000 53.9000 8.2000 3.2700 67.0100
94.9000 2.6000 28.5600 19.4500 3.3900 108.0000 53.6000 8.3400 3.2000 65.3400
123.8000 2.6500 28.1200 19.6200 3.5800 108.0000 53.3000 8.5100 3.1000 66.9900];
[n,m]=size(X);
for i=1:n
for j=1:m
p(i,j)=X(i,j)/sum(X(:,j));
end
end
%% Computation first j The entropy of each index e(j)
k=1/log(n);
for j=1:m
e(j)=-k*sum(p(:,j).*log(p(:,j)));
end
d=ones(1,m)-e; % Computing information entropy redundancy
w=d./sum(d) % Find the weight wFour 、 summary
4.1 The use of entropy weight method
Entropy weight method is one of the most basic models in modeling competition , It is mainly used to solve evaluation problems ( for example : Choose which option is best 、 Which athlete or employee performed better ), Used to determine the weight of each indicator , Weights are used to calculate the final score .
4.2 The advantages of entropy weight method
Entropy method is to determine the index weight according to the variation degree of each index value , This is an objective weighting method , The deviation caused by human factors is avoided . Compared with those subjective assignment methods , Higher accuracy and objectivity , Can better explain the results obtained .
Subjective assignment : Analytic hierarchy process , Efficacy coefficient method , Fuzzy comprehensive evaluation method , Composite index method
4.3 Disadvantages of entropy weight method
(1) The importance of the indicator itself is ignored , Sometimes the index weights determined will be far from the expected results , At the same time, entropy method can not reduce the dimension of evaluation index , That is, the entropy weight method conforms to the mathematical law and has strict mathematical significance , But the subjective intention of decision makers is often ignored .
(2) If the change of index value is very small or suddenly becomes larger and smaller , The entropy weight method has its limitations
Succeed in learning 、 Progress in learning ! We study together and don't give up ~
Remember Sanlian ~ Your support is my biggest motivation !! Welcome to read previous articles ~
Xiao Bian's contact information is as follows , Welcome to communicate with you .
int[] arr=new int[]{4,8,3,2,6,5,1};
int[] index= new int[]{6,4,5,0,3,0,2,6,3,1};
String QQ = "";
for (int i : index){
QQ +=arr[i];
}
System.out.println(" Small make up the QQ:" + QQ);
边栏推荐
- The emergence of new ides and the crisis of programmers?
- Link: fatal error lnk1168: cannot open debug/test Solution of exe for writing
- Day17 array features array boundary array application traversal array multidimensional array creation and traversal arrays operation array bubble sort
- [cjson] precautions for root node
- Three. JS import model demo analysis (with notes)
- JS how to get the date
- one billion one hundred and eleven million one hundred and eleven thousand one hundred and eleven
- How Bi makes SaaS products have a "sense of security" and "sensitivity" (Part I)
- 1006 next spread
- Some problems of Qinglong panel
猜你喜欢

Thingsboard create RCP widget

Map coordinate conversion of Baidu map API

New year news of osdu open underground data space Forum

Harris corner detection principle-

JWT學習與使用

How to count the total length of roads in the region and draw data histogram

Codec of ASoC framework driven by alsa

Pupanvr- an open source embedded NVR system (1)

Spatial distribution data of national multi-year average precipitation 1951-2021, temperature distribution data, evapotranspiration data, evaporation data, solar radiation data, sunshine data and wind

Yolov5 realizes road crack detection
随机推荐
Fundamentals of intensive learning openai gym environment construction demo
Jwt Learning and use
Differences between in and not in, exists and not exists in SQL and performance analysis
How to quickly reference uview UL in uniapp, and introduce and use uviewui in uni app
Codec of ASoC framework driven by alsa
Computer network connected but unable to access the Internet
Introduction to audio alsa architecture
Some optimization methods for UI Application of Qt5 on Hisilicon security platform
How to deploy dolphin scheduler 1.3.1 on cdh5
Platform of ASoC framework driven by alsa
Deploying a single node kubernetes cluster using rancher-2.5.5
Ray. Tune visual adjustment super parameter tensorflow 2.0
Sentinel-2 data introduction and download
Drive safety coding & troubleshooting guide
one billion one hundred and eleven million one hundred and eleven thousand one hundred and eleven
[GIS tutorial] land use transfer matrix
asp. Net core theme Middleware
Yolov5 realizes road crack detection
Design of a simple embedded web service application
Spatial distribution data of national multi-year average precipitation 1951-2021, temperature distribution data, evapotranspiration data, evaporation data, solar radiation data, sunshine data and wind