当前位置:网站首页>3D reconstruction system | L3 dual view motion recovery structure (SFM binocular SFM)
3D reconstruction system | L3 dual view motion recovery structure (SFM binocular SFM)
2022-06-12 14:55:00 【lee2813】
One 、 Triangulation
Definition : Given image matching points and camera parameters to restore the 3D coordinates of matching points .

As shown in the figure above , A ray can be determined from the coordinates of three-dimensional points and the internal and external parameters of a camera , The possible three-dimensional point of the target is on this ray , So you need at least two camera angles , And the possible positions obtained from the intersection of two pairs are calculated by the least square method .
among , The first i Camera projection matrix :

in addition , In the i The coordinates of the projected image in each angle of view are :


among ,Pin It is known that , That is, an observation point provides 2 A constraint , So at least 2 Point to point . That is to say :
Expand to :
The last part SVD The corresponding feature points are obtained by decomposition .
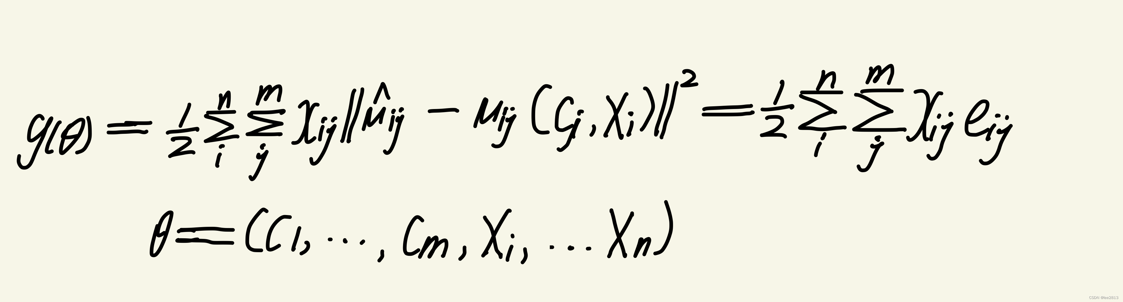
Two 、 Bundle adjustment (BA)
Definition : At the same time, the internal and external parameters of the camera and the three-dimensional point coordinates are non-linear optimized at the same time to obtain a globally optimal solution .
Suppose this scenario has n Three dimensional points , Yes m A camera , But because of n There's a point in m Not all cameras are visible , So by the corresponding relation Xij(0 or 1) To control , And optimize the projection points .
Finally, according to the re projection point uij The constant approach of , To optimize Cj( Camera parameters ),Xi( Three dimensional point coordinates )
therefore , The problem is transformed into an unconstrained nonlinear optimization problem

边栏推荐
- Industrial end: a new battlefield of 618
- 野指针理解
- SQL cross database injection
- ShardingSphere实践(6)——弹性伸缩
- 基于TensorRT的深度学习模型部署实战教程!
- JUnit exception, a method that asserts that the exception information is not empty
- Tensorrt based in-depth learning model deployment practice tutorial!
- 三维重建系统 | L3增量运动恢复结构(增量SFM)
- PHPstudy建站提示hosts文件可能不存在或被阻止打开,同步hosts失败怎么解决
- 浏览器指纹解读
猜你喜欢

Interview (XI) futu written test questions

jenkins相关

Swap numbers, XOR, operator correlation

Selenium advanced

【LDA】LDA主题模型笔记—主要是狄利克雷

Appnium (II) installation and basic use of mitmproxy

tc菜单分割

Installation and use of mat

C string

Mobileone: the mobile terminal only needs 1ms of high-performance backbone. You deserve it!
随机推荐
Browser fingerprint interpretation
C escape character
【Optional】1. Map and ifpresent 2 Ofnullable and orelse
掌门教育被强制退市:上市仅一年时间 软银CMC损失惨重
机器人前行、旋转的service编写
Webdriver opens in full screen and a prompt "Chrome is under the control of automatic test software" appears in Chrome
[datetmeformatter] realize the conversion between localdatetime and text
Mobileone: the mobile terminal only needs 1ms of high-performance backbone. You deserve it!
JS (III) convert ES6 syntax to Es5 syntax
[wechat applet] 1 Introduction to wechat applet
C data type
Getting started with webdriver
How to add WWW to the domain name
Process abstraction of program construction and interpretation
Serialization and deserialization mechanism in terms of games
Producers (send syncask requests) and consumers (with xxxask monitoring and Implementation)
USART (rs232422485), I2C, SPI, can, USB bus
selenium进阶
亿纬锂能拟募资90亿:刘金成骆锦红夫妇合计认购60亿 布局光谷
Module yaml error: Unexpected key in data: static_context [line 9 col 3]