当前位置:网站首页>Lagrange interpolation
Lagrange interpolation
2022-06-21 17:36:00 【Xuanyuan】
https://blog.csdn.net/shenwansangz/article/details/88682785
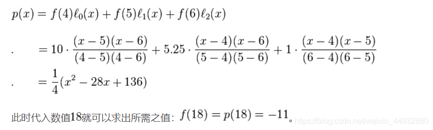
k It's the number of points
Xj yj Argument and value of corresponding point
i Is with the j Different K
Xj yj Argument and value of corresponding point
边栏推荐
- 常见设置模式
- What does container cloud mean? What is the difference with fortress machine?
- 【没搞懂路由策略?盘它!】
- clickhouse学习笔记2:基本使用教程
- Clickhouse learning notes 2: basic use tutorial
- Redis6.0新特性(上)
- 应用架构原则
- [issue 349] Interviewer: how to gracefully customize the ThreadPoolExecutor thread pool?
- Not this year's 618?
- Kotlin DSL build
猜你喜欢
随机推荐
泊松抽样与伯努利抽样主要联系与区别
[Error] ‘vector‘ was not declared in this scope
Redis6.0新特性(上)
函数调用模型
20 pygame模块制作一个跳跃的小球游戏
BFS与DFS
Oracle JDBC Driver
The next stop of Intelligent Manufacturing: cloud native + edge computing two wheel drive
MySQL 1055错误-this is incompatible with sql_mode=only_full_group_by解决方案
[MySQL learning notes 11] sort query
Niuke network: verify the IP address
Starkrocks Lecture 2 basic operation (1)
常见设置模式
3M mutual aid intelligent contract system development and construction technology
IEC62133与EN62133有何区别?主要测试哪些项目?
How to connect the Internet - FTTH
关于SSM整合,看这一篇就够了~(保姆级手把手教程)
Sorting out Android kotlin generic knowledge points
The fundamental task of Natural Science
[MySQL learning notes 19] multi table query












