当前位置:网站首页>Limit summary (under update)
Limit summary (under update)
2022-06-24 21:02:00 【Messenger Xiaolin】
To clarify a knowledge point is nothing more than three angles : Concept , nature , application
List of articles
1. Concept
The basic concept of calculus , The generalized “ limit ” Refer to “ To approach infinitely and never reach ” It means .
The concept of limit is divided into function and sequence
1.1 Function limit
a.
When the independent variable X To a point or infinity ∞ when , Its function value is infinitely close to a value .
b.
c.
d.
e
1.2 sequence limit
a. When the independent variable n Towards infinity ∞ when , Its sequence {xn} Infinite approaching a value .
notes :
1. there ∞ It must be infinite , And in the function ∞ It means infinity and infinitesimal
2.n As a positive integer
3. The sequence {xn} Is a set of infinite real numbers
b.
c.
2. nature
1. Uniqueness
2. Number guarantee


3. Boundedness

3. Rules 、 Theorems and rules
It is equivalent to the skill of application
3.1 Rules
Monotone bounded criteria

Pinch rule

3.2 Theorem


3.3 The laws of
a. The law of lophida 
The conditions given by the title correspond to up to n Derivative, 
b. Rational algorithm 

3.4 other
a. Taylor formula 


b. The maximum term limit is the multinomial sum limit 
c. Propose an infinite factor 

d. The concept of limit 
f. Infinitesimal 

g. An infinite number of 


h.
i.

j.

k.
l.
4. application
There are three types of limit parts , Concept , Find the limit , Comparison of infinitesimal orders . There are different techniques for different scenarios
1 The limits of abstraction
There is no specific expression or the expression includes the limit of exponential function
Corresponding method : The necessary and sufficient condition of limit
1.1.1.d
Key points : Number guarantee 
2 The limit of concrete type
in the light of 5.1 The opposite scenario of , Specifically, there is a specific function expression ( The sequence )
notes : The limit of summation sequence is excluded here , Because there are other methods for it (5.3)
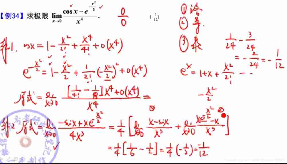
Corresponding method : Taylor's formula and 3 Various laws and theorems of the big point
https://zhuanlan.zhihu.com/p/137746002
https://zhuanlan.zhihu.com/p/32871279
3.3.b. and 
Key points : Find a way to keep all the removed parts
3.3.b.(3)

1.2.c. notes .4
3.3.a

3 The limit of summation form
Corresponding method : Pinch rule , The maximum term limit is the multinomial sum limit
https://zhuanlan.zhihu.com/p/133704948

4 The limit of recurrence form sequence

Corresponding method : Monotone bounded criteria ( There are many ways to achieve this , Such as induction )
https://zhuanlan.zhihu.com/p/134074488

Key points : The red part
5. Comparison of infinitesimal orders
Key points : Equivalent substitution 



https://zhuanlan.zhihu.com/p/137794260
https://baike.baidu.com/item/%E6%9E%81%E9%99%90/3564509
边栏推荐
- "Ningwang" was sold and bought at the same time, and Hillhouse capital has cashed in billions by "selling high and absorbing low"
- Haitai Advanced Technology | application of privacy computing technology in medical data protection
- Agency mode -- Jiangnan leather shoes factory
- Stackoverflow annual report 2022: what are developers' favorite databases?
- Sequence stack version 1.0
- 传统的IO存在什么问题?为什么引入零拷贝的?
- JMeter response assertion
- List set Introduction & common methods
- How to enhance influence
- Apple doesn't need money, but it has no confidence in its content
猜你喜欢

图的基本概念以及相关定义

A/B测试助力游戏业务增长

物联网?快来看 Arduino 上云啦

A/b test helps the growth of game business

Set up your own website (14)

After idea installs these plug-ins, the code can be written to heaven. My little sister also has to arrange it

The Network Security Review Office launched a network security review on HowNet, saying that it "has a large amount of important data and sensitive information"

微信小程序自定义tabBar

When querying the database with Gorm, reflect: reflect flag. mustBeAssignable using unaddressable value

Implement the redis simple client customized based on socket
随机推荐
[普通物理] 光栅衍射
实现基于Socket自定义的redis简单客户端
Basic operation of sequence table
Batch capitalization of MySQL table names
After screwing the screws in the factory for two years, I earned more than 10000 yuan a month by "testing" and counterattacked
Procedural life: a few things you should know when entering the workplace
2021-09-30
[multi thread performance tuning] multi thread lock optimization (Part 1): optimization method of synchronized synchronization lock
物联网?快来看 Arduino 上云啦
Undo log and redo log must be clear this time
The Google File System (GFS) learning notes
Stop using system Currenttimemillis() takes too long to count. It's too low. Stopwatch is easy to use!
物聯網?快來看 Arduino 上雲啦
Format method and parse method of dateformat class
OpenVINO2022 Dev Tools安装与使用
How Fiddler works
微信小程序自定义tabBar
Stackoverflow 年度报告 2022:开发者最喜爱的数据库是什么?
浅谈MySql update会锁定哪些范围的数据
More than ten years' work experience is recommended at the bottom of the box: how much does it cost to find a job? See here! Brothers and sisters are recommended to collect and pay attention



