当前位置:网站首页>Research on Chinese medicine assisted diagnosis and treatment scheme integrating multiple natural language processing tasks -- taking diabetes as an example
Research on Chinese medicine assisted diagnosis and treatment scheme integrating multiple natural language processing tasks -- taking diabetes as an example
2022-07-26 13:59:00 【Midoer technology house】
Abstract
【 Purpose 】 Provide more accurate diagnosis and treatment for traditional Chinese Medicine 、 More intelligent auxiliary reference , Reduce the uncertainty and difficult to quantify problems in the process of traditional Chinese medicine diagnosis and treatment .【 Method 】 Take the medical record data of traditional Chinese medicine diabetes as an example , Design a TCM assisted diagnosis and treatment scheme integrating multiple natural language processing tasks , This scheme integrates emotion recognition 、 Text matching and other natural language processing task sequences , Realize the quantitative evaluation of diabetes 、 Symptom information matching 、 Automatic summary of symptoms 、 Disease type discrimination and traditional Chinese Medicine recommendation , And conduct empirical research .【 result 】 Using fuzzy comprehensive evaluation method 10 Round test evaluation , stay 4 The average membership degrees of the evaluation indexes are 0.1949、0.3140、0.2173、0.2738, The result of maximum membership degree shows that the effect of this method is good .【 limited 】 Clinical medical record data is scarce , Therefore, it is difficult to significantly improve the performance of each subtask ; It has not been extended to other fields for adaptability detection .【 Conclusion 】 This method can effectively help doctors solve the uncertainty problem of diagnosis in the process of practical use , Better assist doctors to form clear diagnosis and treatment conclusions , It has relatively novel academic value and important application value .
key word : TCM diagnosis and treatment ; natural language processing ; Traditional Chinese Medicine Diabetes ; Aid decision making
1 introduction
The impact of the COVID-19 has promoted the vigorous development of China's medical industry , The traditional methods of traditional medicine urgently need the innovation of new ideas and new technologies , At present, the rapid development of big data and artificial intelligence is also accelerating the intelligent transformation of the medical industry , Rely on case data and consultation information , Through machine learning methods and data mining technology, we can extract valuable diagnosis and treatment knowledge , So as to realize the collection of wisdom in the medical field 、 Intelligent diagnosis 、 The whole process development from auxiliary decision-making to disease prediction and prevention [1].
Compared with Western Medicine , The development of traditional Chinese medicine in this area is relatively slow , Because traditional Chinese medicine pays more attention to the experience and wisdom of experts and doctors in the diagnosis process , Rely on “ look , listen , question and feel the pulse -- four ways of diagnosis ” The traditional way , Therefore, the participation of machines is not high , Emerging technologies and methods cannot comprehensively and deeply touch the process of diagnosis and treatment ; meanwhile , The demonstration method of traditional Chinese medicine is objective 、 Defects of insufficient quantification and standardization , It limits the further development and inheritance of traditional Chinese Medicine [2]. Although data mining technology and machine learning methods have also made progress in the application of traditional Chinese Medicine , But most of the research still stays in symptoms 、 Medication 、 Discovery and mining of compatibility rules and machine learning modeling and prediction of traditional Chinese Medicine , There are few studies that scientifically calculate and evaluate the diagnostic process of traditional Chinese Medicine , It also lacks the use of cutting-edge technologies and methods in intelligent assistance 、 Systematic exploration of intelligent decision-making .
Based on this , With the help of natural language processing technology , Integrate emotion recognition 、 Text matching and other multi task sequences , Take diabetes as an example , Put forward a scheme of TCM assisted diagnosis and treatment . This scheme realizes the quantitative evaluation of the condition of diabetes 、 Symptom information matching 、 Automatic summary of symptoms 、 Disease type discrimination and traditional Chinese Medicine recommendation , In a data-driven way combined with doctor experience , Improve traditional Chinese medicine diagnosis and treatment methods , Provide ideas for the auxiliary diagnosis and treatment of traditional Chinese Medicine , Provide reference for the intelligent development of traditional Chinese Medicine .
2 Related research
natural language processing (Natural Language Processing,NLP) It is a research field that studies how to realize the communication between human and computer by natural language [3], Known as the “AI crown jewels ”, With the development of artificial intelligence and deep learning represented by Neural Networks , Natural language processing technology has also developed rapidly , It is widely used in most fields . In a business scenario , Dialogue robot and intelligent customer service can automatically reply to user questions , Efficiently handle duplicate information , Save a lot of labor costs [4,5]; Spam identification can automatically identify harmful 、 Invalid information , It realizes the automatic filtering of spam [6]; Using knowledge map and embedding technology in product recommendation can realize personalized product recommendation , Improve user experience and product conversion rate [7,8]. In the medical field , Entity recognition and relationship extraction realize the transformation from traditional paper medical records to electronic medical records , Able to efficiently manage patient information [9,10]; The medical knowledge map based on large-scale medical information can realize the recommendation of similar medical records 、 Medical knowledge inquiry and disease prediction analysis [11]. To make a long story short ,NLP Technology can reduce labor cost output , Improve production efficiency , It has been applied in many fields of society .
at present NLP There is less research on Technology in the diagnosis and treatment of traditional Chinese Medicine , With “ The doctor of traditional Chinese medicine AND natural language processing /NLP” Search on HowNet , Only insufficient search 30 Articles ; Join in “ machine learning /machine learning” and “ data mining /data mining” And then “SU=' The doctor of traditional Chinese medicine 'AND (SU=' machine learning 'OR SU=' data mining ' OR SU=' natural language processing ')” Search , Search for about 4 000 More than documents , Among them, the quantity is top 10 The distribution of topics and disciplines is as follows surface 1 Shown , You can see that traditional Chinese medicine is NLP/data mining/machine learning The research topics in this field mainly focus on symptoms 、 Medication 、 Compatibility rule mining and machine learning modeling of traditional Chinese Medicine 、 Prediction, etc , Covering traditional Chinese Medicine 、 Computer software and computer application, library and information and other different fields and disciplines .
surface 1 NLP/ machine learning / The application of data mining in the field of traditional Chinese Medicine
Table 1 Application of NLP/ML/Data Mining in the Field of Chinese Medicine
The theme | Number | Discipline | Proportion |
data mining | 1 778 | Traditional Chinese medicine | 66.53% |
Medication regularity | 912 | Computer software and computer applications | 13.88% |
Study on the law of medication | 303 | Chinese medicine | 8.56% |
Data mining technology | 194 | Automation technology | 2.43% |
Famous old Chinese medicine | 149 | Pediatrics | 1.74% |
Data mining analysis | 129 | Medical education and medical interdisciplinary | 0.91% |
The law of formation | 128 | Library information and Digital Library | 0.82% |
TCM Treatment | 124 | Medical policy and health policy | 0.74% |
Association rules | 118 | Biomedical engineering | 0.58% |
TCM symptoms | 98 | Combination of Chinese and Western medicine | 0.54% |
In the aspect of rule mining , Li Jian et al [12] Based on traditional Chinese Medicine Inheritance auxiliary system software , Digging 《 A dictionary of traditional Chinese medicine prescriptions 》 The composition rules of the prescription for the treatment of lung carbuncle contained in , By improving the mutual information method 、 Entropy clustering of complex systems 、 Unsupervised data mining methods such as unsupervised entropy hierarchical clustering analyze the prescription rules of Feiyong prescription ; Yaomeicun et al [13] Apply association rule analysis technology , To explore the scientific connotation of the compatibility of traditional Chinese medicine for the treatment of diabetes , Provide technical support for the extraction of core prescriptions ;Shi etc. [14]、Yang etc. [15]、Fang etc. [16] In the identification of coronary heart disease in traditional Chinese Medicine 、 Put forward ideas or conduct empirical research in drug discovery and gene disease information extraction ; Gongyanbing et al [17]、 Dai Xia et al [18] Apply association rules 、 Rough set theory 、 Cluster analysis and other models and networks study symptom analysis and standardization ;Zhou etc. [19]、 Shen Yi et al [20] The application of various data mining methods in the law of traditional Chinese medicine is deeply summarized , Both of them believe that appropriate scientific and technological methods should be selected for traditional Chinese medicine mining according to different research purposes , And it should be verified repeatedly in practice 、 Keep summarizing .
In the research of machine learning in traditional Chinese Medicine , Wang Huazhen et al [21] Introduce random forest (Random Forest,RF) Visualization technology , In the low dimensional space, scatter plot and parallel coordinate graph are used to visualize the data set of chronic gastritis of traditional Chinese Medicine , Help users accurately understand the distribution law and hidden development trend of data sets , Explore the significance of traditional Chinese medicine behind visualization ;Lukman etc. [22] This paper expounds the challenges and progress of traditional Chinese medicine in the research of Applied Computing Methods , From the classification of traditional Chinese Medicine 、 Database types and mining tools, and other aspects of the analysis of various traditional Chinese medicine related research ;Feng etc. [23]、Zhou etc. [24]、Yang etc. [25]、Li etc. [26]、 Liu Yao et al [27] From the fusion of machine learning knowledge discovery of traditional Chinese Medicine 、 Construction of clinical data warehouse of traditional Chinese Medicine 、 Using deep learning to treat coronary heart disease in traditional Chinese Medicine 、 Based on the traditional Chinese medicine method of health evaluation and traditional Chinese medicine ontology system construction and other aspects of research ; Zhang Xiaohang et al [28] This paper systematically summarizes the application of machine learning, including deep learning algorithm, in the diagnosis and treatment of traditional Chinese Medicine , Summarize the research and application status of the above common algorithms in the field of traditional Chinese Medicine , And analyze its characteristics and application value to traditional Chinese Medicine , It provides many ideas for the further research of machine learning algorithm in the field of traditional Chinese medicine diagnosis and treatment .
Summarize the above related research , It can be found that the research of TCM diagnosis and treatment mainly focuses on two aspects : First, symptoms 、 Drug mining , Second, medication 、 Research on compatibility laws, mining and analysis, and modeling and prediction using machine learning . Scholars are studying the principles of traditional Chinese Medicine 、 Theoretical construction and knowledge base construction have also been extensively and deeply explored , However, few studies have scientifically calculated and evaluated the diagnostic process of traditional Chinese Medicine , Lack of description of uncertainty in the process of reducing subjective diagnosis , At the level of assisting doctors in decision-making , The existing mature technical means are difficult to be closely combined with the experience and wisdom of doctors to generate targeted 、 Systematic solutions .
3 There's a lot of fusion NLP Task of Chinese medicine assisted diagnosis and treatment program design
The TCM assisted diagnosis and treatment framework proposed in this paper is as follows: chart 1 Shown .
chart 1

chart 1 There's a lot of fusion NLP Task of TCM assisted diagnosis and treatment process framework
Fig.1 Framework of TCM-assisted Diagnosis and Treatment Process with Multiple NLP Tasks
The doctor makes a preliminary diagnosis according to the patient's condition ; Through quantitative evaluation and symptom matching, the condition is similar 、 Data with similar symptoms ; Then map symptoms to drugs through association mining , Form medication recommendations , The system pre diagnosis forms disease inference through automatic summarization and disease type discrimination ; Doctors diagnose again according to disease inference and drug recommendation , Form the final diagnosis result and feed it back to the patient , At the same time, correct the errors and improper information output by the system , The system receives feedback and updates again . The process is as follows .
first diagnosis :
output d.
quantitative_diagnosis(q1, d) &matching_symptom
(q2, d):
output R.
system_prediagnosis&association_map :
automatic_summarization(R) &symptom_
discrimination (d):
output mk.
association mining & mapping(data->R):
outputmd.
disease_inference&medicine_recommendation :
integrate(mk, md) to M.
decision support :
output M.
second diagnosis :
output result.
revise.
update.
3.1 Quantitative evaluation and symptom matching of TCM assisted diagnosis and treatment
To realize the auxiliary diagnosis and treatment of traditional Chinese medicine, we first need to retrieve the most similar data from the historical patient data 、 The most representative information , And do something else , If the filtering information is wrong , The next series of steps will be difficult to produce accurate guiding results , Therefore, how to achieve accurate feedback on the patient's condition is the primary problem . Through quantitative evaluation and symptom matching, we can effectively filter the condition information of traditional Chinese Medicine , The process is as follows chart 2 Shown , Among them, quantitative evaluation quantifies the degree of illness , Screen out data with similar degree of illness , Symptom matching is calculated by similarity , Screen out similar or identical information on symptoms , Finally, set the threshold , For the condition 、 Double filtering of symptoms , Achieve efficient retrieval of disease information .
chart 2

chart 2 The quantitative evaluation and symptom matching process framework of traditional Chinese medicine assisted diagnosis and treatment
Fig.2 Framework of Quantitative Evaluation and Symptom Matching Process
TCM diseases can be divided into different degrees according to different symptoms , But the judgement of illness often depends on the subjective experience of doctors and expert wisdom , Due to different doctor experience 、 Differences in knowledge may lead to differences in interrogation results , As a result, the quantification and evaluation criteria of the disease are relatively vague . Such as in the process of diabetes diagnosis , If the symptom is lack of blood supply to the extremities or open lesions , In addition, there are no other serious adverse reactions , It often means that the patient is in the early stage of diabetes , Need to see and treat early ; When the symptoms are tendon and ligament tissue destruction or serious infection has caused bone destruction , Accompanied by abnormal urinary protein excretion rate , It can be roughly inferred that the patient is in the stage of severe diabetes , Treatment methods and medication strategies are different . It can be seen that , The inconsistency of diabetes stage is mainly manifested in the difference of clinical symptoms , Therefore, quantitative evaluation of diabetes can be transformed into emotional color recognition of symptom information .
Quantitative evaluation converts the patient's symptom information into emotional color recognition , By calculating the intensity of emotional color to measure the severity of the disease . Because the labeled data of clinical diagnosis of diabetes is scarce 、 The cost of manual marking is high , So take “ Pre training model + fine-tuning ” The way , That is to train the evaluation model of diabetes based on the data of diabetes , Then build a two-way long-term and short-term memory network (Bi-directional Long Short-Term Memory,Bi-LSTM) The model calculates emotional propensity .
The specific method of quantitative evaluation can be expressed as : Preprocess diabetes data , Convert it into words Tokenizer; Load pre training model ERNIE[29] and Fine-tune The Internet , Build a training network , Set optimization strategy ; Fine tuning data , Adjust parameters according to the loss value and accuracy , Get the diabetes evaluation model . Build after the evaluation model Bi-LSTM Realize quantitative evaluation and calculation , Built Bi-LSTM The network structure outputs three messages : Positive emotional tendency 、 Negative emotional tendencies and confidence . Positive emotional tendency indicates the degree to which the patient's condition tends to be optimistic , The higher the value, the better the patient's condition ; The tendency of negative emotion indicates the degree to which the patient's condition tends to be pessimistic , The bigger the patient is, the worse his condition is ; Confidence indicates the reliability of the result , Getting closer 1 The more credible ; For the three , The author believes that the positive and negative offset can reflect the comprehensive emotional situation , Adding confidence factors can express the degree of illness explicitly , Therefore, calculate the difference between positive emotion value and negative emotion value , The difference is greater than 0 Add time and confidence , The difference is less than 0 Time minus confidence , Get the final disease evaluation value , As formula (1) Shown . among ,p For positive emotional value ,n For negative emotional value ,c For confidence ,S Indicates the final result , be in [2,-2] Between , This value comprehensively reflects the patient's condition .
S={ p−n+c,ifp−n>0p−n−c,ifp−n<0S=p-n+c,ifp-n>0p-n-c,ifp-n<0
(1)
Symptom matching of diabetes measures the similarity of clinical manifestations by calculating the similarity between symptom information , Unsupervised text matching usually takes spatial distance such as cosine distance 、 Euclidean distance to measure text similarity , But the traditional similarity calculation is completely based on statistical rules and text frequency calculation , Lack of semantic integrity and divergence , Considering the extensive meaning of traditional Chinese medicine terms , This paper also adopts the method of fusing the pre training model and cosine distance , This not only takes into account the symptom information , We can also find more diffuse semantic information by embedding word vectors , So as to realize the comprehensiveness of symptom matching , Then calculate the distance output result with cosine formula .
The process of symptom matching can be expressed as : Mapping symptom information to the word embedding representation of a trained diabetes evaluation model , Then calculate the cosine distance between the new target symptom information and all the information in the database according to the vector space information , The calculation method is as follows: (2) Shown . among ,X For new target symptom information ,Y For all the information in the diabetes database , Finally, the distance and data ID mapping , Sort and output data with high similarity .
cos(θ)=∑ni=1(Xi×Yi)∑ni=1(Xi)2√×∑ni=1(Yi)2√cos(θ)=∑i=1n(Xi×Yi)∑i=1n(Xi)2×∑i=1n(Yi)2
(2)
After quantitative evaluation and symptom matching, different threshold values can be set for diabetes data to realize query and filtering , Represented by Wien diagram, such as chart 3 Shown .
The query filtering process can be defined as Q, As formula (3) Shown . Give a new symptom message X, The threshold of quantitative evaluation query is q1, The symptom query threshold is q2, Take the intersection of the two query results as a set R,R Return the result as a query , It will be used for subsequent disease summary and disease discrimination .
Q={ X,q1,q2,R}Q={X,q1,q2,R}
(3)
chart 3

chart 3 Wien diagram expression of quantitative evaluation and symptom matching query filtering
Fig.3 Wien Graph Representation of QE and SM Query Filtering
3.2 Systematic pre diagnosis and correlation mapping of traditional Chinese medicine assisted diagnosis and treatment
If the query filtering results are directly output to doctors , Unable to play an effective auxiliary role , Sometimes information overload interferes with doctors , Therefore, effective knowledge needs to be formed through integration and processing , That is to form conclusive disease types 、 Disease description and medication recommendations . therefore , Through the system pre diagnosis and association mapping of the query filtered information , Form disease information inference and medication result recommendation to assist decision-making , The process framework is as follows chart 4 Shown , The system pre diagnosis realizes the integrated output of diabetes symptoms and the automatic discrimination of diabetes types through automatic summarization and text classification technology , Medication recommendation uses association mining technology to realize the mapping from symptoms to drugs .
chart 4

chart 4 The system pre diagnosis and correlation mapping process framework of traditional Chinese medicine assisted diagnosis and treatment
Fig.4 Process Framework of System Prediagnosis and Association Mapping
Systematic pre diagnosis is different from initial diagnosis , It is a quantitative data-driven diagnosis method that combines the query results of quantitative evaluation and symptom matching , It includes two parts: automatic disease summary and disease discrimination . The disease summary is correct for the filtered diabetes related information 、 complete 、 concise 、 Clear 、 A coherent summary , Provide doctors with direct and clear judgment information , Reduce uncertainty in decision making , This task can be transformed into NLP Automatic summary in . Also use the pre training model , The author combines TextRank Algorithm , Through the extraction summary method (Extraction-based Text Summarization), The importance of identifying the keywords of the disease and building network path calculation , Finally, the output results are sorted as the disease summary results . With direct use TextRank Compare the algorithm , The character vector representation generated by adding the diabetes evaluation model is determined by the surrounding character dynamics , In addition to capturing differences such as polysemy , Context sensitive characters Embeddings Other forms of information are also captured , This information can produce more accurate feature representation , Improve the accuracy of disease keyword recognition , So as to improve the generalization of the disease summary representation ability of the formation of new target symptoms .
The purpose of disease discrimination is to automatically distinguish the type of diabetes , And assign a probability interval representation for each type , Provide reference for doctors . The disease discrimination of diabetes can be transformed into the classification of symptom information , According to different symptoms, it is divided into : diabetes 、 Diabetic foot 、 Diabetic nephropathy 、1 Type 2 diabetes mellitus 、2 Type 2 diabetes mellitus 、 Diabetes neuropathy 、 Diabetes Gastroparesis and other different types , therefore , This task can be regarded as a text classification problem . Diabetes is classified by pre training models , That is, the diabetes assessment model is connected to a full connection layer , Use Softmax Function can be converted into probability value output , Relevant technologies and implementation methods have been relatively mature , I won't go into details .
Drug recommendations are based on prior knowledge of the disease ( Consultation data 、 symptoms - Medication relationship ) Mining the key 、 rationality 、 Useful knowledge , Combined with the field of diabetes , That is to mine the hidden relationship between diabetes symptoms and drug compatibility from historical clinical diagnosis data . Medication recommendations are linked - Mapping implementation , It includes two steps of association mining and mapping . Association mining is used to mine the relationship between symptoms and drugs in diabetes database ; The mapping will match the filtered symptom information to the corresponding medication situation .
Relying on its unsupervised statistical rules, association mining methods can solve many problems that complex systems and models cannot solve , Especially in the symptoms of traditional Chinese Medicine 、 Drug mining is widely used . Association rules are supported by (Support)、 Degree of confidence (Confidence) And the degree of improvement (Lift) To measure the strength of rules . In this paper , Support is the symptom keyword (X) And drug keywords (Y) The number of common occurrences accounts for the total symptoms - Proportion of drug keyword samples ; Confidence indicates when a symptom keyword (X) When it appears , Drug keywords (Y) Probability of occurrence ; The degree of improvement is under the condition of containing a certain drug , The probability of including a symptom . The author chose Apriori Algorithm [30] Analyze and correlate the relationship between symptoms and therapeutic drugs in the historical data of diabetes , The essence of this algorithm is the process of generating candidate frequent sets by levels : Calculate the frequent itemsets , That is, by calculating the support of symptoms and drugs , Find all symptoms with support greater than the given minimum support - A collection of drugs ; Generate frequent rules , That is to find rules with high confidence from the above frequent itemsets ; Finally, calculate the promotion degree of the rule , Filter out the rules with high promotion , Form effective strong association rules , Output symptoms - Frequent itemsets and frequent rule results of drugs , Respectively represent symptoms - The frequency of drug combinations and the strong association rules corresponding to symptoms , As formula (4) Shown . among ,f Indicates the frequency of occurrence ,c It means confidence . In symptoms - When mapping drugs , The keywords after quantitative evaluation and symptom matching and the symptoms of all frequent itemsets and frequent rules are traversed and queried in order , In the frequent item set, the query results are sorted by the number of occurrences , In frequent rules, query results are sorted by confidence , The final output is a set of medication recommendations .
Result={(Frequentitemsets=(X,Y):f),(Frequentrules={ X}→{ Y}:c)}Result={(Frequentitemsets=(X,Y):f),(Frequentrules={X}→{Y}:c)}
(4)
After the above disease discrimination and disease summary , The system pre diagnosis will output three parts : Disease discrimination results and confidence 、 Disease summary results and drug recommendation results , Integrated output of the three , As the auxiliary information of diagnosis and treatment plan, it is provided to doctors . The doctor makes a second diagnosis , Determine the final diagnosis result and feed it back to the patient , Then correct the error information output by the system and input , The correction information together with this new diagnostic information will be included in the above calculation range again .
3.3 Evaluation index of Chinese medicine auxiliary diagnosis and treatment plan
Traditional Chinese medicine assisted diagnosis and treatment scheme is an integrated system integrating multiple task sequences , It cannot be directly judged by single factor evaluation index , First, there is no evaluation index that can fully evaluate each sub task , Second, the evaluation indicators applicable to some specific tasks cannot comprehensively evaluate the effect of the whole process . Therefore, the author combines qualitative and quantitative methods , Fuzzy comprehensive evaluation method [31] Evaluate the actual effect of the scheme .
Set the evaluation index set as P={ P1,P2,P3,P4}P={P1,P2,P3,P4}, among P1P1 To quantify the accuracy of diagnosis and symptom matching ,P2 For the reliability of disease discrimination ,P3 For the comprehensiveness of the disease summary ,P4 Accuracy of recommendations for drugs ; To highlight the focus of auxiliary diagnosis and treatment , Different weight values should be set for different evaluation indicators . To be specific , P1P1 and P3 More emphasis on the auxiliary level of diagnosis , Through quantitative evaluation 、 Symptom matching and disease summary , Provide important reference for doctors' next diagnosis , The feedback results of the system largely reflect the final diagnosis results of doctors ; and P2 and P4 Focus more on generative conclusions , This conclusion provides some reference for the final diagnosis results and does not completely depend on , Therefore, set the secondary weight .
Set up 4 Weight set of evaluation indicators W={0.3,0.2,0.3,0.2}W={0.3,0.2,0.3,0.2}, The evaluation set is V={ V1,V2,V3,V4}V={V1,V2,V3,V4}, Each means excellent 、 good 、 qualified 、 unqualified . Experts will test and evaluate the scheme for several rounds , In each round of testing , Choose from existing data 10 Samples , Randomly selected from the descriptive data of online diabetes community 10 Samples , common 20 Sample size as test set , Calculate the evaluation matrix according to the evaluation proportion T, Then the weight vector W And evaluation matrix T Calculate the fuzzy comprehensive evaluation matrix E, As formula (5) Shown . Determine the evaluation results according to the membership degree , Taking the average value of multiple rounds of tests is the final evaluation result of the scheme .
E=W×T=⎛⎝⎜⎜⎜w1,w2,w3,w4⎞⎠⎟⎟⎟×⎡⎣⎢⎢⎢⎢t11t21t12t22t13t23t14t24t31t41t32t42t33t43t34t44⎤⎦⎥⎥⎥⎥E=W×T=(w1,w2,w3,w4)×t11t21t12t22t13t23t14t24t31t41t32t42t33t43t34t44
(5)
4 There's a lot of fusion NLP Demonstration of Chinese medicine assisted diagnosis and treatment program of the task
4.1 Data source and preprocessing
This article uses Chinese traditional medicine to treat diabetes clinical research Chinese Literature , Collected from the date of collection to 2019 year 11 Month's from CNKI 、 Chinese biomedical literature database 、 Wanfang database 、 Clinical research literature of smart bud patent information database .
To further standardize the quality of data sources , And formulated a more detailed retrieval strategy . Set to contain disease search words : diabetes 、 High blood sugar 、 Hypoglycemic 、 Quench thirst 、 Eliminate pain 、 Lung disappear 、 Eliminate each 、 Elimination 、 Up and down 、 Zhongxiao 、 Go down ( Search way : title 、 key word 、 Patent title 、 Patent abstract ); Set to exclude search terms : animal 、 Rat 、 Mice 、 rat 、 rabbit 、 experiment 、 Efficacy 、 Research progress in pharmacological effects 、 Toxicology 、 toxicity 、 Chinese patent medicine 、 Combination of Chinese and Western medicine 、 pill 、 slice 、 Nursing 、 The needle 、 Mice 、 stick 、 injection 、 thorn 、 Grain 、 capsule 、 recent developments 、 survey 、 review 、 progress ( Search way : title ); Set a list of famous doctors : List of Chinese medical Masters (90 position )、 The first national famous traditional Chinese Medicine (100 position )( Search way : title 、 author 、 key word 、 Patent applicant 、 Patent inventor ).
The data obtained include 13 A field , total 1 020 Data , It has certain representativeness in the clinical diagnosis of diabetes in traditional Chinese Medicine . The main fields used include treating diseases 、 symptoms 、 Symptoms 、 Rule of law 、 Drugs, etc . The types of diabetes diseases are as follows surface 2 Shown , It includes diabetes nephropathy 、 diabetes 、1 Type 2 diabetes mellitus 、2 Type 2 diabetes mellitus 、 Diabetic foot 、 Diabetic gastroparesis 、 Diabetes neuropathy 7 Types .
surface 2 Type of diabetes disease and sample size
Table 2 Diabetes Disease Type and Sample Size
Type of diabetes disease | sample size |
Diabetic nephropathy | 236 |
diabetes | 456 |
1 Type 2 diabetes mellitus | 83 |
2 Type 2 diabetes mellitus | 69 |
Diabetic foot | 47 |
Diabetic gastroparesis | 62 |
Diabetes neuropathy | 67 |
In terms of pretreatment , The routine word segmentation process adopts Jieba Word segmentation Library . For the rule of law 、 Symptoms 、 Specific nouns and medical nouns unique to traditional Chinese medicine, such as the drug field , Ordinary word segmentation tools are difficult to achieve the desired effect , Therefore, after feature analysis and rule statistics , The author adopts a rule-based method to preprocess : For the treatment principles and symptoms fields , Such as “ Supplementing qi and nourishing Yin 、 Liver and gall heat , Benefiting the stomach and promoting fluid production ”, Divide by commas or stop signs , If the character is too long , Then match the whole word with the divided words , Use the remaining words Jieba participle ; For the drug field , Such as “ Sea cucumber 15 g, Rhizoma Polygonatum 20 g, Place of birth 20 g, Radix Paeoniae Rubra 15 g, Land and bones 30 g, Coptis chinensis 8 g, Polygonum multiflorum vine 20 g”, Remove dose values and units of measurement , Only keep the drug name , Then divide with separator , For long characters or delimiters that are not within the rule , Similarly, conventional word segmentation is carried out after whole word matching .
4.2 Function realization
(1) Quantitative evaluation and symptom matching
The methods and techniques involved in this paper use Python Language implementation , Diabetes assessment model training and subsequent content involving in-depth learning are used PaddlePaddle Framework implementations . When training the diabetes evaluation model , load ERNIE Pre-training model and Fine-tune After network , Maximum sequence length max_seq_len Set to 128, Call encapsulated hub.tokenizer Reading data , And set segmentation in character form , The text matching network adopts Sentence-Bert[32] structure , Save the model after parameter adjustment and training .
Quantitative evaluation use Bi-LSTM The Internet , Bidirectional computing can effectively resolve LSTM Defects that cannot be encoded from back to front , Be able to better learn the pre and post semantics of symptom information , Then connect the full connection layer and output the positive value after fine-tuning 、 Negative values and confidence , Then define the evaluation calculation function to automatically calculate the final quantitative evaluation value , Some calculation results are as follows chart 5 Shown . Such as a patient's symptoms “ Thirsty and fond of hot drinks , Urination is clear and long , Low back and fatigue , The limbs are not warm , The tongue is light red , The moss is white , Pulse sinking and deficiency .” The results show positive emotions 0.148 753, Negative emotions 0.851 247, Degree of confidence 0.669 438, Finally, the calculated value of the disease reaches -1.371 932, It shows that the patient's diabetes symptoms are not optimistic , Need timely treatment .
chart 5

chart 5 Quantitative evaluation part of the calculation results
Fig.5 Part of the Results of QE
Symptom matching uses the combination of pre training word vector and similarity calculation , First define the cosine calculation function , Then convert the symptom information into word vector , Add the word vectors of each word in the symptoms column of the diabetes database and take the average value , Then the arbitrarily long sentence is expressed as a vector of fixed dimensions , Then call the defined cosine function , Compare the similarity , When inputting new symptoms, traverse the calculation output , According to the given threshold sorting, the value is taken from top to bottom . After defining the matching function , You can set the query according to the threshold or the proportion of symptoms , For example, when inputting symptoms “ Unexplained weight loss 、 Excessive thirst or hunger 、 Weariness and weakness 、 Frequent micturition 、 Blurred vision 、 Nausea or vomiting ” when , Set the matching value according to symptoms to take the first 10 Symptom information , Some results are as follows surface 3 Shown . It can be found that the symptoms are similar to those of input , The return results also focus on thirst 、 Frequent micturition 、 The line of sight fuzzy 、 Nausea and vomiting .
surface 3 Symptom matching partial results
Table 3 Part of the Results of Symptom Matching
Symptom matching results | Symptom matching |
*** Main symptom : Thirst leads to drink 、 Easy to eat 、 Upset and insomnia 、 Frequent urination constipation . | 0.926 6 |
*** Frequent urination or cloudy urination , dizzy , Thirsty and upset , Then dry tinnitus , The moss is few and the pulse is thin, belonging to the deficiency of both qi and Yin . With urine turbidity and edema , Mental fatigue , Accept less abdominal distension , Weak waist and knees , Or fear of cold and urinate less , The complexion is gloomy and stagnant, belonging to the deficiency of spleen and kidney yang . If the edema is obvious , Especially below the waist , Heavy sleepiness , The head is as heavy as a wrap , Or vomit , My mouth is dry and smelly , Urine is less and turbid , The moss is greasy and the pulse is slippery, which is wet and turbid . If the edema doesn't disappear for a long time , Low back pain is like a fold , Purple ecchymosis on the tongue , The pulse astringent knot generation is the clip stasis type . | 0.917 8 |
... | ... |
(2) System pre diagnosis and association mapping
Automatic summaries are built unsupervised , Use the pre training word vector and TextRank Combined way to achieve , Vectorize the results of the filtered query from the mapping space of the diabetes evaluation model , Reconstruction TextRank Calculation function , This function calculates the similarity between symptom vectors and stores them in the matrix , Then the matrix is transformed into sentences as nodes 、 Graph representation with similarity score as edge , According to the ranking n A sentence as a summary . Such as surface 4 Shown , After quantitative evaluation and symptom matching, the automatic summary results output summary overview information 、 Suggested treatment information and confidence values .
surface 4 Automatically summarize partial results
Table 4 Part of the Results of Automatic Summarization
Symptom profile | Suggest treatment | Degree of confidence |
*** Dizzy | Palpitations and palpitations | weak | Cold limbs with cold limbs | hemiplegia | weak | Cracked tongue | Five hearts are hot | Oliguria | Thromboangiitis | Mental exhaustion | Blushing, naked and hot | Urinate frequently | The tongue is light and fat | The tongue is dark red with little fluid | The tongue is light with ecchymosis | Count in detail | The pulse is deep and thin | It is difficult to fall asleep when you are in a bad mood | The granulation is dark | A weak tongue | There is phlegm in the throat | Pulse count | urine | Emaciation | Numbness of hands and feet | Sleep is never enough | There are ecchymosis spots on the tongue | The moss is yellow and rough | Nadi abdominal distension | The body is emaciated | Languor and fatigue | Pain | The tongue is red | Dizzy and swollen | Accompanied by fatigue and limb pain | Count the pulse | urine | The tongue is pale and dry | I feel dizzy and headache | Symptoms such as thin pulse | Recently, it has become increasingly bright | sense of pain | The quality is clear and thin | Tooth marks on the tongue | Red tongue and yellow fur | turbidity | A weak tongue | Chest tightness and nausea | Fat in shape | Urinate like cream | | Ziyin heat , Promoting blood circulation and removing blood stasis , Eliminate phlegm and dredge collaterals , Light warming meridians and dispersing cold , Activating blood circulation and unblocking collaterals . | 0.993 4 |
*** Urine is clear and long or dripping endlessly | Thin tongue | More urine | The stool is sticky and stinky | Heavy and tired | Lower extremity edema | Joint deformation | Pain even left arm | Shortness of breath | Occasionally, I have lower limb muscle rotation | Abdominal discomfort | Lumbric acid | Weight burnout | The tongue is light with teeth marks | I feel weak for half a year | Flustered and short of breath | Bland or sticky | Multiple scratches | palpitation | Dry mouth likes drinking | Chilly limbs | Eating too much makes you hungry | Less moss | Brown spots on the face | White or little moss | Urine foam increases after fatigue | Fat and big | Urine sugar | The moss is thin, white and greasy | vertigo : Dizzy with head | Weak bowel movement | Stomach can be | Stupidity is the main disease | History of thyroiditis | Dry nostrils | The moss is thin yellow | Increasingly obvious | The color is swarthy | Lichen yellow | Supplementing qi and nourishing Yin , Promote Yang and water , Activating blood circulation and unblocking collaterals | 0.465 7 |
... | ... | ... |
Disease discrimination is fine tuned based on the pre training model to achieve classification . Connect the full connection layer after evaluating the model , Because it is a multi classification problem , Use Softmax As an activation function , Classification cross entropy categorical_crossentropy Set to loss function , The final result is to output the corresponding probability value at the same time of each category , Such as surface 5 Shown . With 10 Test samples as input , Output the probability value of each diabetes type , The largest one is the disease category corresponding to the symptom .
surface 5 Partial results of disease discrimination
Table 5 Part of the Results of Disease Discrimination
symptoms | Symptom discrimination |
*** doze , I used to be energetic at work , Will suddenly appear extremely irresistible feeling of sleepiness , Lying on the table for half an hour will immediately improve | [(' Diabetic nephropathy ',0.3841),(' diabetes ',0.9640),(' Diabetic foot ',0.2663),('2 Type 2 diabetes mellitus ',0.4414),('1 Type 2 diabetes mellitus ',0.4521),(' Diabetic gastroparesis ',0.8900),(' Diabetes neuropathy ',0.3600)] |
*** The number of diarrhea per day reaches 2~10 Unequal times , Often after meals 、 Defecate at night or in the morning , Irregular stool or fat diarrhea , Manifested as stubborn or intermittent diarrhea | [(' Diabetic nephropathy ',0.2332),(' diabetes ',0.7455),(' Diabetic foot ',0.0),('2 Type 2 diabetes mellitus ',0.8014),('1 Type 2 diabetes mellitus ',0.8891),(' Diabetic gastroparesis ',0.3600),(' Diabetes neuropathy ',0.1295)] |
... | ... |
When calculating association mining, the confidence is set to 0.5、 Support is set to 0.5, Store all data calculation results in tuple nested dictionary , Take it out and save it in the database , Convenient for subsequent calls . Some results after calculation are as follows surface 6 Shown , Salvia miltiorrhiza can be found 、 Coptis chinensis is often associated with weakness 、 Fatigue coexists , It shows that the treatment of these two drugs and drugs with similar efficacy is the main treatment for these symptoms , Astragalus is also often associated with fatigue 、 thirsty 、 Upset appears together , It shows that it also has good curative effect .
surface 6 Some results of mining the association between diabetes symptoms and drugs
Table 6 Part of the Results of Symptom and Drug Association Mining
symptoms - Medication - Frequent itemsets | symptoms - Medication - Frequent rules |
(' Salvia miltiorrhiza ', ' unable ', ' Tired '): 20 | { yam , Gegen } -> { weak } |
(' unable ', ' Tired ', ' Coptis chinensis '): 16 | { The root of remembranous milk vetch , Poria cocos } -> { Shortness of breath } |
(' tongue ', ' Baikal Skullcap ', ' Coptis chinensis '): 18 | { Cortex Moutan , Alisma } -> { Shit } |
(' weak ', ' thirsty ', ' Upset ', ' The root of remembranous milk vetch '): 16 | { cornel , yam } -> { Sour and soft } |
... | ... |
4.3 Program evaluation
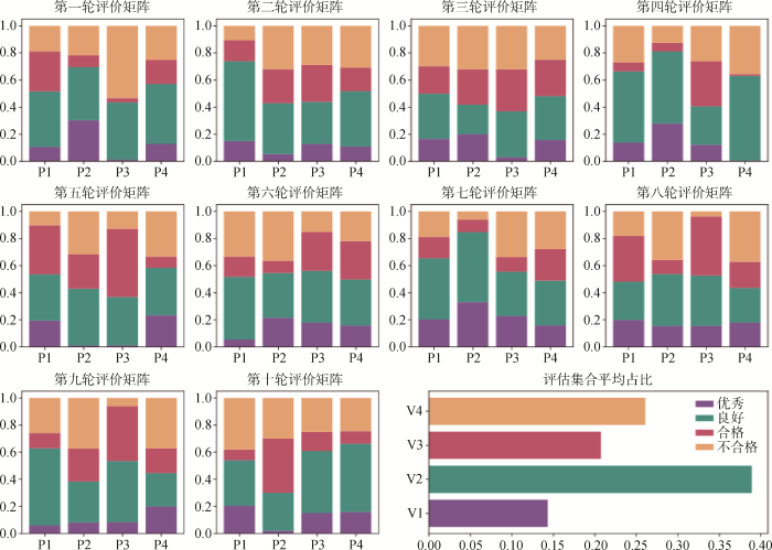
The evaluation of traditional Chinese medicine auxiliary diagnosis and treatment scheme is realized by combining qualitative and quantitative methods , Due to the evaluation needs , All interfaces of sub functions are open , The results of key processes are printed out for evaluation . The score of the evaluation set is converted to 4 Percentage of indicators , After a total of 10 After the round of auxiliary diagnosis and treatment test , The result of the scoring matrix is as follows chart 6 Shown .
chart 6

chart 6 10 Round evaluation matrix and its average value visualization
Fig.6 Ten Rounds of Evaluation Matrix and Its Average Value Visualization
The score matrix is multiplied by the dot product of the weight vector , Calculate the fuzzy comprehensive evaluation matrix , The result is as follows surface 7 Shown . From the final membership calculation results, we can find , stay 10 In the round test , Yes 5 Times show good (R1, R4, R6, R9, R10), Yes 2 Times show excellent (R3, R8) And non conformity (R2, R7), Yes 1 The second display is qualified (R5), In the final average value of fuzzy evaluation matrix, the good membership degree is the largest , by 0.314, Show that after 10 The comprehensive evaluation result of round test is good , It shows that this scheme can better assist doctors in diagnosis and treatment , It has high reference value for the diagnosis of diabetes and medication suggestions , However, due to data scale limitations and other uncontrollable factors , There are also many misjudgments 、 Missing and wrong judgments .
surface 7 The membership degree calculation result and its mean value of the fuzzy comprehensive evaluation matrix
Table 7 Membership Degree Calculation Result and Mean Value of Fuzzy Comprehensive Evaluation Matrix
Round | V1 | V2 | V3 | V4 |
R1 | 0.1222 | 0.4165 | 0.1509 | 0.3104 |
R2 | 0.1164 | 0.2443 | 0.2136 | 0.4257 |
R3 | 0.3093 | 0.2602 | 0.1304 | 0.3001 |
R4 | 0.1356 | 0.4739 | 0.1344 | 0.2561 |
R5 | 0.3270 | 0.1108 | 0.3628 | 0.1993 |
R6 | 0.1449 | 0.3871 | 0.2058 | 0.2622 |
R7 | 0.2272 | 0.2253 | 0.1453 | 0.4022 |
R8 | 0.3240 | 0.2121 | 0.2912 | 0.1727 |
R9 | 0.0997 | 0.4154 | 0.2399 | 0.2450 |
R10 | 0.1427 | 0.3942 | 0.2987 | 0.1643 |
Average | 0.1949 | 0.3140 | 0.2173 | 0.2738 |
5 Conclusion
In order to reduce the uncertainty of the diagnosis and treatment process of traditional Chinese Medicine , Alleviate the subjective inconsistency of doctor's consultation , Realization “AI+ The doctor of traditional Chinese medicine ” Auxiliary diagnosis and treatment mode , This paper integrates many natural language processing technologies , Take diabetes as an example , Designed a scheme of Chinese medicine auxiliary diagnosis and treatment . This scheme realizes the quantitative calculation of the condition of diabetes 、 Symptom information matching 、 Automatic summary of symptoms 、 Disease type discrimination and intelligent recommendation of traditional Chinese Medicine , And conducted an empirical study , Tested and evaluated , It shows that this scheme can effectively help doctors solve the uncertainty of diagnosis in the actual use process , Provide more diversity 、 Intelligent selection basis . But clinical medical record data is scarce , The performance of each subtask needs to be improved . in addition , Traditional Chinese medicine needs to establish a system 、 Complete knowledge base , Mature knowledge theories in other fields need to be combined with the experience and knowledge of the industry and specific application scenarios to achieve further breakthroughs , How to integrate traditional Chinese medicine knowledge to achieve a more granular knowledge driven diagnosis and treatment remains to be explored .
边栏推荐
- Zhou Wei: look for non consensual investment opportunities to accompany the founding team that delays satisfaction
- Mobile dual finger scaling event (native), e.originalevent.touches
- Explain four interesting NPM usages with charts
- Circular queue (implemented in C language)
- 聚力打造四个“高地”,携手合作伙伴共铸国云!
- Pytoch learning notes (II) the use of neural networks
- 多态案例-制作饮品
- 【着色器实现Overlay重新覆盖变装效果_Shader效果第九篇】
- Re bet overseas: Alibaba, jd.com and SF again fight for "internal power"
- With frequent data leakage and deletion events, how should enterprises build a security defense line?
猜你喜欢

多态案例-制作饮品

Comparison between SIGMOD function and softmax function

404 pages and routing hooks

Pytoch learning notes (I) installation and use of common functions

The last time I heard about eBay, or the last time

Jenkins 中 shell 脚本执行失败却不自行退出

@千行百业,一起乘云而上!

C语言_结构体指针来访问结构体数组

基于用户画像的在线健康社区用户流失预测研究

Pytorch学习笔记(一)安装与常用函数的使用
随机推荐
Subscription and publication of messages
Mobile dual finger scaling event (native), e.originalevent.touches
Use the requests library to crawl web pages
The.Net webapi uses groupname to group controllers to render the swagger UI
Basic syntax of MySQL DDL and DML and DQL
【论文阅读】GRAW+:A Two-View Graph Propagation Method With Word Coupling for Readability Assessment
OA项目之我的会议
[turn] judge the relationship between two geometries in ArcGIS
SuperMap iclient for leaflet loads Gauss Kruger projection three-dimensional zonation CGCS2000 geodetic coordinate system WMTs service
向路由组件传递参数
Team research and development from ants' foraging process (Reprint)
TDSQL-C Serverless:助力初创企业实现降本增效
Jenkins 中 shell 脚本执行失败却不自行退出
Latest battle report: Ten certifications and five best practices
Propagation of transactions
Completable future practical usage
Sequence traversal of binary tree (implemented in C language)
Official announcement! Edweisen group and Baidu xirang reached a deep co creation cooperation
Plato farm is expected to further expand its ecosystem through elephant swap
【黑马早报】字节旗下多款APP下架;三只松鼠脱氧剂泄露致孕妇误食;CBA公司向B站索赔4.06亿;马斯克否认与谷歌创始人妻子有婚外情...