当前位置:网站首页>图的广度优先遍历
图的广度优先遍历
2022-06-26 00:36:00 【chengqiuming】
一 点睛
广度优先遍历又称为宽度优先搜索,是最常见的图的搜索方法之一。广度优先搜索指从某一点出发,一次性访问所有未被访问的邻节点,再依次从这些已访问过的邻接点出发,一层一层地访问。广度优先遍历是按照广度优先搜索的方式对图进行遍历的。

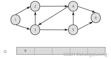
按照广度优先搜索的顺序,上图的访问顺序是:1 2 3 4 5 6
广度优先遍历的秘籍:先被访问的节点,其邻节点先被访问。
根据广度优先遍历的秘籍,先来先服务,可以借助队列实现。因为对每个节点只访问一次,所以可以设置一个辅助数组 visited[i] = false,表示第 i 个节点未被访问;visited[i] = true,表示第 i 个节点已被访问。
二 算法步骤
1 初始化所有节点均为被访问,并初始化一个空队列。
2 从图中的某个节点 v 出发,访问 v 并标记其已被访问,将 v 入队。
3 如果队列非空,则继续执行,否则算法结束。
4 将队头元素 v 出队,依次访问 v 的所有未被访问的邻接点,标记已被访问并入队,转向步骤3.
三 图解
一个有向图如下图所示,其广度优先遍历的过程如下所述。
1 初始化所有节点都未被访问,visited[i] = false,i =[1,6]。并初始化一个空队列 Q。

2 从节点 1 出发,标记其已被访问,visited[1] = true,将节点 1 入队。

3 将队头元素 1 出队,依次访问 1 的所有未被访问的邻接点2和3,标记其已被访问并入队。

4 对队头元素2出队,将2未被访问的邻接点4标记为已被访问,并将其入队。

5 将队头元素3出队,3的邻接点2已被访问,不用处理,将未被访问的邻接点5标记为已被访问,并将其入队。

6 将队头元素4出队,4的邻接点3已被访问,不用处理,将未被访问的邻接点6标记为已被访问,并将其入队。

7 将队头元素5出队,5 的邻节点4和6已被访问,不用处理,没有未被访问的邻接点。

8 将队头元素6出队,6没有邻接点。

9 队列为空,算法结束。广度优先遍历序列为 1 2 3 4 5 6。
边栏推荐
猜你喜欢
随机推荐
NDK20b FFmpeg4.2.2 编译和集成
SDRAM controller -- implementation of arbitration module
Calibration...
Interface test case design
Shell learning record (IV)
Jenkins localization and its invalid solution
Prompt to update to the latest debug version during vscode debugging
Cross server SQL connection configuration
连接投影仪
【js】免费api判断节假日、工作日和周六日
Characteristics and related specificity of Papain
Raspberry pie + AWS IOT introductory experiment
Simplex method (1)
Data analysis - data source, field type, data collection trap
vs2015+PCL1.8.1+qt5.12-----(1)
影响个人成长的三个因素
SQL column value to row value (unpivot)
leetcode 300. Longest Increasing Subsequence 最长递增子序列 (中等)
FPGA实现图像二值形态学滤波——腐蚀膨胀
Markov decision process (MDP): Blackjack problem (mc-es)









