当前位置:网站首页>基于可学习尺寸自适应分子亚结构的药物相互作用预测
基于可学习尺寸自适应分子亚结构的药物相互作用预测
2022-06-27 23:10:00 【coast_s】
来源:https://doi.org/10.1093/bib/bbab441
源代码:https://github.com/kanz76/GMPNN-CS
摘要:药物-药物相互作用(DDI)是指当两种或两种以上不相容药物同时服用时,对身体产生不良影响的相互作用。它们可能是由所涉及药物的化学成分引起的。我们介绍了门控信息传递神经网络(GMPNN),这是一种信息传递神经网络,它从药物的分子图表示中学习具有不同大小和形状的化学子结构,用于预测一对药物之间的DDI。在GMPNN中,边被视为控制消息传递流的门,因此以可学习的方式划分子结构。药物对之间的最终DDI预测基于其(已学习)子结构对之间的相互作用,每对子结构通过与最终DDI预测输出的相关性得分进行加权。我们提出的方法GMPNN-CS(即GMPNN+预测模块)在两个真实数据集上进行了评估,其中一个结果具有竞争力,另一个与以前的方法相比性能有所提高。
关键词:药物-药物相互作用;子结构提取;子结构相互作用;多类型交互作用;门控消息传递神经网络
1.引入
一些疾病太复杂,无法用单一药物治疗,或者多种疾病需要多种药物治疗。因此,DDI是一种风险,有时会危及生命,它伴随着多种药物的治疗效果而来。对这些风险的评估促使了许多研究和研究工作,旨在确定两种或两种以上给定药物是否可以安全地同时服用。(重要性)
DDI的鉴定通常在药物研究/环境中通过广泛的实验测试(体外)和临床试验进行。然而,实验测试中需要考虑的大量药物组合使得这一过程非常昂贵且几乎不可能。因此,通过基于从已知DDI中提取的知识预测潜在DDI,计算方法(电子)可以作为一种廉价、有效和快速的替代方法来缓解这一问题**(深度学习方法优势)**
药物只是由不同官能团/化学亚结构组成的实体,这些官能团/化学亚结构决定了药物的所有药代动力学(生物体如何处理)和药效学(如何影响生物体)特性,并最终决定了药物的所有相互作用 (方法基础)
基于药物的分子图表示,将药物表示为一个图。为了从图中提取药物的子结构,我们提出了一种消息传递神经网络,其中边具有可学习的权重,这些权重可以被视为划分子结构的大门,其作用是产生大小灵活、形状不规则的子结构。其次,两种药物之间的DDI预测基于它们所学习的子结构之间的相互作用分数,每个子结构通过使用共同注意机制的可学习权重进行加权(或交互作用图)(具体实现:以边为学习单位进行子结构划分)
2.近期工作
1.药物如何表示
绝大多数现有的DDI预测方法使用分子指纹和/或其他药物特征(如副作用、结合靶点、转运体、酶、途径或两种或两种以上特征的组合)来表示药物。分子指纹是二元载体,其元素表示特定化学亚结构的存在(1)或不存在(0)。其他简档类似地表示为指示特定简档(例如,特定副作用或结合靶)的存在或不存在的二进制向量。一些方法通过使用相似性度量(如余弦相似性、Jaccard相似性)将药物表示为相似向量来执行进一步的预处理,该相似向量指示药物与上述表示空间中的其他药物的相似程度。这是基于类似/不同药物可能具有类似/不同生物活性的假设。这些表示法的缺点是它们是手工制作的,缺点:没有足够的灵活性。例如,使用指纹表示法,除了已经预先确定的化学亚结构之外,没有其他方法可以发现,特别是在处理新药时。此外,副作用等一些特征并不总是可用的。最近提出的一些方法考虑了DDI中涉及的子结构。然而,每个GNN层的节点隐藏表示(也称为贴片表示)被直接视为药物的子结构表示。这种方法产生规则形状的子结构,其直径/大小由GNN层的感受野决定。在这项工作中,为了从分子图中提取子结构,我们提出了一种直接学习分子不同大小和形状的子结构的方法。
2.实际预测如何执行
DDI预测方法大致可分为两类:一类是药物形成图形或网络,另一类是药物相互独立。在后者中,为了在两种药物之间进行DDI预测,将它们的表示进行聚合(例如求和、串联),然后输入线性或非线性分类器进行预测。在基于网络的类别中,假设药物形成一个相互连接的系统,其中药物是节点,边缘可以表示节点之间的DDI,或者基于药物之间的相似性表示。不同的图形特定方法,包括标签传播、矩阵分解、图形自动编码器应用于这些衍生网络,以进行预测或首先学习药物的低维表示,然后执行DDI预测。基于网络的方法的优点是将药物互连系统的拓扑信息添加到药物表示中,这可以提高性能。然而,这种方法在感应设置中不起作用。在这项工作中,我们的方法将药物视为独立的实体,因此可以在感应和传导环境中使用。此外,我们利用药物对的学习子结构之间的共同注意机制,以便每种药物都可以相互交流哪些子结构是真正相关的。这就造成了药物不是完全独立处理的。
3.方法


3.1问题表述
给定一组药物和一组相互作用类型.任务预测两种药物之间发生这种相互作用的可能性
F:D×R×D→ [0, 1]
3.2输入
药物无向图G=(V,E)表示,其中V代表原子的节点集;E表示原子之间的(共价)键
每个结点之间都有对应的特征向量xij
3.3基于门控信息传递神经网络的子结构提取
可以将图上的边视为门
1.节点不在中心:它只是所有路径的结束节点
2.这些节点可被视为外围节点或尽可能远离被视为中心的节点,权重值限制在[0,1]范围内
这些门控制着一条路径上的信息流。因此,连接到Vi的路径上的节点通过连接到Vi的路径上的边的权重值的乘积进行加权。我们假设,如果有许多来自Vj to Vi的路径,那么每个路径都是单独考虑的。根据此处提出的边值乘积对节点进行加权,最终会产生不同大小和形状的子结构。如果沿路径,则边的权重值为≈0时,路径其余部分上的节点将被切断,因此,子结构将被划分为不规则形状。可以将图中的每个节点视为子结构的中心,以便从图中提取尽可能多的子结构。然而,这将要求将每个边转换为双向边(每个方向具有其自身的权重),因为节点可以是目标节点evi(即中心)和源节点evj。整体子结构提取过程的示例见图2。将这一概念应用于用于化学亚结构提取的药物,其分子图形表示G=(V,E)(最初是无向的)被转换为有向图。Edgeseijandejibecome两条单独的边。为了突出这一差异,它们被重命名为→j(从节点到节点的边)和j→i、 分别。每个(定向)边都指定了一个约束在0–1范围内的可学习权重。

图中所有路径的生成可能在计算上效率低下;因此,我们提出了一种消息传递神经网络(MPNN),称为门控消息传递神经网络(GMPNN),可以模拟这一过程。MPNN是多层空间卷积GNN的框架。每一层包括三个主要组件
l代表迭代过程之中的第几层,vj/hj表示新的特征向量
消息传递(等式1):
M为非线性变换,qj-i第l-1层的特征向量hj,hi进行的消息传递
聚合(等式2):
使用聚合函数Al(例如,总和、最大值、平均值)收集消息,以最终生成新更新的特征向量
更新(等式3):
Ul它是一个更新函数,可以简单到其参数之和,也可以是一个复杂的非线性函数
简言之,在每次迭代中,节点从其相邻节点传递消息(特性)。这样做的效果是,在迭代中,一个节点将被更新为在一次长为L漫游中可以到达的所有节点的特性。这与我们关于沿路径聚集节点以进行子结构提取的想法是一致的。图中的漫游在访问的节点中具有冗余(节点可以在漫游中出现多次,但在路径中最多出现一次);为了更接近路径生成过程,我们将基于中提出的MPNN变体,命名为定向消息传递神经网络(D-MPNN)。这里,为了减少使用标准MPNN的节点冗余,消息在边缘之间而不是节点之间传递。D-MPNN中MPNN的三个组成部分为:
MPNN和D-MPNN的区别在于前者更新节点特征,而后者更新边缘特征
节点从其相邻的边缘传递信息qk->j节点Vj是公共顶点,不考虑qj-k的情况。这样,信息只朝一个方向流动,因此减少了冗余。在边缘特征更新的最终迭代之后,节点表示为其所有传入边缘特征的聚合
节点vi最终的特征表示si为:
消息传递方法GMPNN的计算步骤
非线性变换应用于节点,以获得更好的特征表示:
MLP(init)是一种用于非线性变换的多层感知器(MLP)
hi是对原始特征向量xi进行变换后更新的节点特征向量
边缘特征也会进行如下变换:
hj->i,hi->j是边缘xij,xji的新特征向量,xij和xji是一样的
每条边的权重根据其事件节点的特征初始化
0j->i是s型的约束函数束缚wj->i的范围在(0,1)之间 T是换位操作 ||是连结操作
c是一个常数,用于在使用sigmoid函数时避免梯度流饱和
ei-j ej-i拥有不同的权重,因为||操作不可交换
现有特征向量hi 和权重Wj->i 我们已经准备好应用定向消息传递机制来模拟子结构提取路径上的节点聚合。由于消息是在边缘而不是节点之间传递的,因此我们建议将节点的功能提升到边缘级别新的特征是:
因此,我们提出的方法的消息传递、聚合和更新组件定义为:
与等式4相反,Eq.13在消息传递期间的每次迭代中都不对特征向量应用任何变换,因为我们希望将构成子结构的所有节点保持在相同的特征空间中。但是,在每次迭代中,特征都会根据边的权重进行缩放;这样做的最终效果是将节点特征乘以将其链接到子结构中心节点的边的权重的乘积。另一方面,这种在消息传递期间不应用任何转换的范例也可以看作是简化图卷积概念的一个实例
在最后一次迭代L之后,节点evi的最终表示形式,它捕获了以其为中心的子结构信息,如下所示:
N(Vi)是Vi是节点的相邻节点
Fsub是MLP实现的非线性函数
Si是以Vi为中心的学习/提取子结构的矢量表示
获得Si,首先简单聚合所有边ej->i的特性qj->i
注意,最初,节点vi(即hi)的特征向量仅包含单个原子的信息,但现在包含表示以该原子为中心的子结构的特征。
我们所提出的子结构提取方法在归纳环境中的应用是可能的,因为边缘权重(等式11)的值(Eq.11)依赖于(原子)和边缘(键)特征。如果我们遇到一种新药,由于所有分子都有相同类型的原子和键,因此亚结构萃取操作仍然可以进行。
药物-药物相互作用(DDI)预测
预测元组(dx,r,dy)
o是S型函数
Si.Sj是子结构的线性变换
W(x),W(y)是可学习的变换矩阵
Mr是R交互类型的可学习表示矩阵。为了减少参数的数量,我们将其约束为对角矩阵
diag(·)生成一个对角矩阵,其中·是对角线
mr是特定交互类型的可学习向量r
因为Twosides数据集定义了两种给定药物之间的多个现有相互作用(有关更多详细信息,请参见第4.1节),因此我们重新定义了该数据集的数据为Mr:
fpred是一个非线性函数,作为MLP实现,以鼓励相似或共同发生的交互类型具有相似的表示
rij是交叉子结构相互作用的权重也称为共同注意,在药物dx的子结构si(x)和药物dy的子结构si(y)之间
这里再次说明Twosides数据集中两种药物之间相互作用的多样性,对于这个数据集,我们建议
fr为MLP,Mr与式21相同,目标是让共同注意函数了解正在考虑的交换类型
因此,DDI预测可被视为DDI元组的二进制预测。由于数据集中仅给出了已知的DDI,因此将其视为阳性样本;其衍生的负样本是通过替换dx或dy。也就是说,给定一个已知的DDI元组(dx,r,dy),整个模型的学习过程通过最小化二元交叉熵损失函数完成,如下所示:
|M|是数据集中的DDI元组数,pi是已知DDI元组的为正样本的概率,pi’是为负样本的概率
4.实验
数据集
使用两个数据集用于评估方法(下载网址https://tdcommons.ai/)
DrugBank:源于FDA/健康 加拿大药物标签 包含191808个DDI元组和1706种药物。每种药物都用SMILES符号表示.有86种相互作用类型描述了一种药物如何影响另一种药物的代谢。例如,当与乙酰水杨酸(阿司匹林)联合使用时,阿卡姆酸的排泄量可以减少。每个DDI对被视为阳性样本,根据第3.4节所述,从中生成阴性样本。在这个数据集中,每个DDI元组只有一个相互作用,也就是说,没有两个不同的元组具有相同的药物对但不同的相互作用。
Twosides: 在过滤原始两侧效应数据之后,它包含4649441个DDI元组和645种药物,以及1317种相互作用类型。与DrugBank数据集相反,这些相互作用是在表型水平而不是代谢水平上进行的。也就是说,在这里,互动只是副作用,比如头痛,喉咙痛。此外,给定两种药物,它们之间可能存在许多这样的相互作用,这与药物库中的DDI元组相反。通过删除少于500个DDI元组中出现的交互类型来进一步预处理此数据集,以便仅处理常见类型,因此,剩余963个交互类型和4576 287个DDI元组。使用Adam优化器在512个DDI元组的小批量上对模型进行训练,并从{1e-2,1e-3,1e-4}调整学习率此外,在学习速率上设置了一个指数衰减的0.96t调度程序(即当前迭代次数)。
设置
我们方法名为GMPNN-CS,使用Pytorch框架。我们使用随机搜索进行超参数(在开始机器学习之前,就人为设置好的参数)微调,并根据验证集的总体性能确定最佳值。我们考虑了以下超参数设置。消息传递迭代的次数在数据集{3, 5, 7, 10, 15}中取值,hi与si的尺寸在数据集中{64,128}取值.发现迭代次数设置为10,hi的尺寸为64,si的尺寸设置为128,学习率为1e-3效果更好,
等参数的设置在之后第二节展示
衡量对比方法
我们将我们的模型与最先进的方法进行了比较,它们类似地
(1)使用分子图作为输入
(2) 在学习过程中以某种方式整合联合用药信息
(3)考虑子结构参与DDI交互作用预测
(4)在传导和感应环境下工作
MR-GNN:使用节点的每个图卷积层的表示来捕获每个药物的不同大小的子结构。这些表示被联合输入到一个递归神经网络中,用于DDI预测的一对药物的联合表示
MHCADDI:在个体药物表征学习过程中,使用共同注意机制整合联合药物信息
SSI-DDI:将每个节点隐藏特征视为子结构,然后计算这些子结构之间的交互,以确定最终的DDI预测
GAT-DDI:我们使用图形注意网络(GAT)实现的基线用于直接用于DDI预测的药物表征
GMPNN-U:我们提出的GMPNN-CS方法的变体
结果
实验结果以以下指标给出:精度(ACC),接收机工作特性下的面积(AUC)、平均精度(AP)、F1分数、精度(P)和召回率
传导设置
在传导设置中,训练期间使用的药物也可以出现在测试集中。在此设置中,我们根据DDI元组随机拆分数据集。我们根据交互类型对两个数据集进行分层分割,以保持训练(60%的数据)、验证(20%)和测试(20%)集中交互类型的比例相同。我们做了三次,得到了三个分层的随机褶皱。对于每个DDI元组,如第3.4节所述生成一个负样本。它们是在培训之前生成的,以确保所有方法都是基于相同的数据进行培训的。每个模型,包括我们提出的方法和所有基线模型,都在这三个分层褶皱中的每一个上进行了训练和测试。
表1中报告了这三个实验中每个模型结果的平均值和标准偏差。相对于基线方法的最高得分,我们的方法GMPNN-CS的每个指标得分(不考虑标准偏差)的性能改进如表底行所示。在DrugBank数据集上,我们的方法表现不是最好的,因为我们可以看到分数下降。我们还可以看到,GMPNN-CS及其变体GMPNN-U的结果非常接近,给人的印象是共同注意不起作用。第5节对此行为进行了解释。然而,在T-wosides数据集上,与其他方法相比有显著的改进。在这里,GMPNN-U和GMPNNCS之间有很大的区别,因为这是一个数据集,一对药物之间有多种相互作用。由于计算限制,我们无法在此数据集上使用MHCADDI进行实验;我们仅报告原始论文的结果(仅AUC可用)。GAT-DDI在这个数据集上似乎工作得不好,表现得就像一个分数约为50%的随机分类器。这可能是由于梯度消失/爆炸或过度平滑问题造成的。在该数据集的改进计算(表1的最后一行)中不考虑这一点。此外,除了消息传递组件外,GMPNN-U与GAT-DDI类似。前者使用我们提出的GMPNN,而后者使用GAT。实验结果表明,我们的消息传递方法在两种数据集上都优于GAT。此外,补充资料第5节介绍了两个数据集上每种DDI类型的性能

感应设置
与导入设置相反,这里的数据集是根据药物进行分割的。也就是说,训练集和测试集中的DDI元组没有重叠药物。这近似于一个现实世界的场景,即存在一种新药,该新药之前没有已知的相关药物相互作用。在文学作品中,它也被称为“冷启动场景”。这比转换设置更具挑战性。在后者中,模型只学习推广到看不见的DDI元组(所有药物都已知)
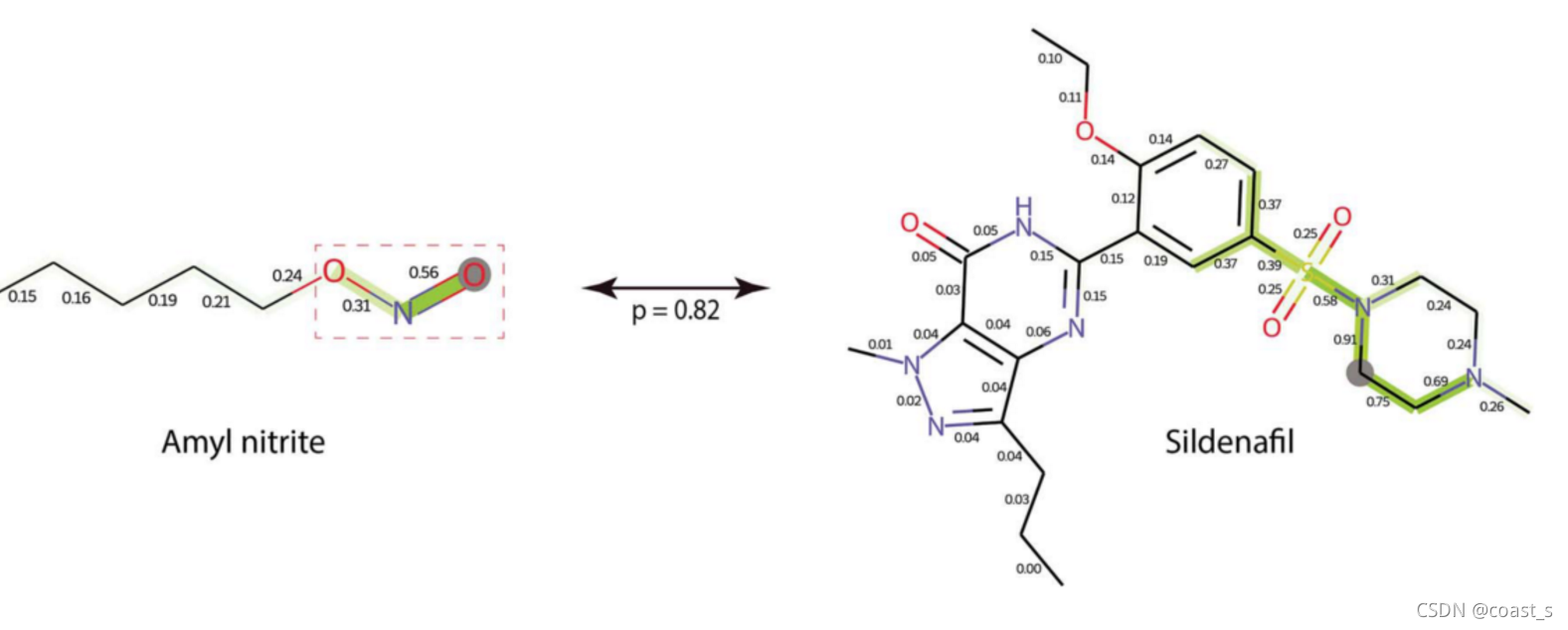
亚硝酸戊酯和西地那非之间的DDI预测.p=0.82是预测输出。背景为灰色圆圈的原子是子结构的中心
感应设置中的比较评估(平均值±标准偏差),单位为%。每个指标的最佳性能以粗体显示
模型必须进一步学习推广到看不见的药物(可能具有分布外的化学结构)。在这种情况下,我们随机保留五分之一的药物作为新药(Dnew),在训练期间不使用。Ms1数据集两个药物都可能是新的,Ms2数据集有一个新药和一个旧药。只有DrugBank数据集用于此设置中的实验,因为它包含相对较多的药物。我们在模型中添加了一些关于退出层的正则化,这样它就不会过度适用于旧药物(Dold=D\Dnew)。为了公平起见,我们还通过添加退出层修改了基线方法。表2显示了三个随机折叠实验结果的平均值和标准偏差;我们的方法总体上表现最好。然而,我们可以观察到,所有方法的性能都显著下降。这是因为DrugBank是由药物制成的,就其支架(核心化学结构)而言,它们有着显著的不同。因此,新药数据集和旧药数据集不仅不同,而且在结构上也没有什么共同之处。
视觉检测
以下是DrugBank上DDI预测的一些可视化示例
碳酸钙和氧氟沙星之间DDI预测的视觉检测
首先,检索到顶部值为γij(等式22)的子结构对。其次,渲染图形中子结构边缘的权重重新定义如下:例如,如果v1是子结构的中心,V1<-(W2.1)-V2<-(W3.2)-V3<-(W4.3)-V4是构成子结构的路径之一,将其转化为,V1<-(W2.1)-V2<-(W2.1,W3.2)-V3<-(W2.1,W3.2,W4.3)-V4.如果W2.1=0.9,W3.2=0.7,W4.3=0.6,将其变为:
为简单起见,如果一条边有多条相邻边(即出现在多条路径中),则取最大值。第三,这些值显示在相应的边上,并用作图中高亮显示(绿色)边的强度,子结构的中心节点用灰色填充圆高亮显示。图3显示了药物西地那非,一种用于勃起的磷酸二酯酶-5(PDE5)抑制剂功能失调,以及硝酸盐药物亚硝酸戊酯。禁止同时服用PDE5抑制剂和硝酸盐药物,因为它会导致血压降低。我们可以看到亚硝酸戊酯的硝酸基团(在红色虚线框中)与DDI预测结果密切相关。图4是氧氟沙星(一种氟喹诺酮)和碳酸钙(一种抗酸剂)的示例。氧氟沙星的羰基氧和羧酸(均显示在红色虚线框中)可与金属离子(在本例中为碳酸钙中的钙)形成螯合物。螯合物的水溶性非常差,因此会导致氧氟沙星在人体内的吸收

5.讨论和限制
每个节点/原子都被视为子结构的中心,并且每个节点/原子都是子结构的中心彼此相邻的节点最终成为相似子结构的中心,从而导致冗余。这有一个负面影响,即rij(公式22)过度使用了非常相似的子结构,且前者在(相邻)子结构组内趋于一致.这可以解释为什么GMPNN-U和GMPNN-CS之间没有太大差异(参见第4.3.1节),特别是在Drugbank的情况下。在今后的工作中,我们认为,要解决这个问题聚类或池算法可用于将相似的子结构聚集在一起,并仅保留一个具有代表性的子结构.
边缘权重作为子结构提取的门的重要性只有在我们增加迭代次数时才会变得明显。图5显示了GMPNNCS和一个变体(NoGMPNN CS)之间的比较,在该变体中,我们完全删除了权重(或者等效地,权重都设置为1)。我们可以看到,在5-10次消息传递迭代中,差异非常小,但随着迭代次数的增加,差异变得显著。另外,这些结果也证明了我们提出的方法能够在不降低性能的情况下扩展到更深的GNN中。此外,药物主要是有机分子,大多数原子是碳,生成的图形中大多数节点都是相似的。这可能会影响边权重的计算(等式11)。对于未来的工作,我们认为额外的信息,如原子的空间位置,可能有助于使差异更加突出。我们的方法在DrugBank数据集(表1)上的不良性能可能与该数据集的不平衡状态有关,如补充资料第4节(图2)所示。我们的方法很难推广到频率非常低的DDI类型。在未来的工作中,我们将进一步研究这个问题,以便找到一种有效的方法来处理频率非常低的DDI类型。
6.结论
我们提出了一种用于DDI预测的计算方法GMPNN-CS。GMPNN-CS学习不同大小和形状药物的子结构,以便根据它们的化学子结构推断一对药物是否能引起DDI。我们使用两个真实数据集以经验方式证明了GMPNN-CS的有效性,其中一个数据集的性能显著提高。实验在传导和感应环境下进行。专家和非专家用户都可以使用对子结构提取及其参与DDI预测的视觉检查(在实验中进行)作为提示来解释预测结果。
要点
1.利用药物的化学亚结构预测一对药物之间的药物-药物相互作用,同时给出具体的相互作用类型(多类型预测)
2.提出一种称为门控信息传递神经网络(GMPNN)的信息传递神经网络,用于从药物分子图中学习各种(或自适应)大小和形状的子结构
3.使用共同注意机制学习药物-药物相互作用中每一对子结构相互作用的相关性
4.提出的方法能够应用于传导和感应(或冷启动)设置。
边栏推荐
- Lodash realizes anti shake and throttling functions and native implementation
- 怎样能低成本构建一个电商平台
- 手机股票开户安全吗,买股票在哪开户?
- JVM的内存模型简介
- 同花顺股票开户是会有什么风险吗?同花顺开户安全吗
- Zhang Fan: the attribution of flying pig after advertising based on causal inference technology
- #796 Div.2 C. Manipulating History 思维
- Is it safe to open a stock account online now? Select a listed securities firm, and the fastest time to open an account is 8 minutes
- Informatics Olympiad all in one 1359: enclosed area
- Is there any risk in opening an account for flush stock? Is it safe for flush to open an account
猜你喜欢

The flutter slivereappbar is fully parsed. All the effects you want are here!

MySQL 18: execution of write statements

Mongodb- install a mongodb database locally on the windows computer

单晶炉导电滑环的应用范围和作用是什么

Ten MySQL locks, one article will give you full analysis

Proe/Creo产品结构设计-钻研不断

Flutter SliverAppBar全解析,你要的效果都在这了!

N methods of data De duplication using SQL

Taro---day2---编译运行

DeepMind | 通过去噪来进行分子性质预测的预训练
随机推荐
MySQL十种锁,一篇文章带你全解析
Which securities company is better and safer to open an account for stock speculation
electron窗口背景透明无边框(可用于启动页面)
Electron window background transparent borderless (can be used to start the page)
Internship: business process introduction
Sword finger offer 61 Shunzi in playing cards
[open source] open source system sorting - Examination Questionnaire, etc
#796 Div.2 F. Sanae and Giant Robot set *
1696D. Permutation graph thinking
同花顺股票开户是会有什么风险吗?同花顺开户安全吗
Overview and construction of redis master-slave replication, sentinel mode and cluster
Some habits of making money in foreign lead
Is it safe to open an account for mobile stocks? Where can I open an account for buying stocks?
美团动态线程池实践思路已开源
Taro---day2---编译运行
SDF学习之扭曲模型
What is promise
Web mouse click special effects case collection (red heart in live broadcast room)
Acwing第 57 场周赛【未完结】
MySQL - function