当前位置:网站首页>College Physics Chapter 9 vibration
College Physics Chapter 9 vibration
2022-06-21 18:32:00 【call me by ur name】
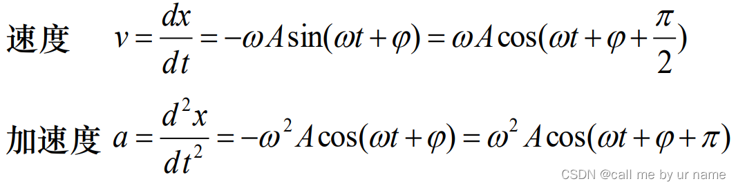
Simple harmonic vibration

Speed 、 Acceleration expression
Example

Just look at this question , I don't think I can pass the exam

The same goes for this question , The examination should not involve proving simple harmonic vibrations
Simple harmonic vibration physical quantity
The amplitude
cycle

frequency
Angular frequency ( angular velocity )
Phase and initial phase
Example


Take a good look at this question , It is a relatively complete survey of knowledge points
Rotation vector

Example



This article 2 The rotation vector method is very simple , It doesn't have to be so complicated

The first 1 ask , It can be solved by rotating vector method
Energy of simple harmonic vibration


Example

The synthesis of simple harmonic vibration
In the same direction 、 Same frequency
explain


In the same direction 、 Synthesis of different frequencies

The combined vibration is not a simple harmonic vibration , But it can be roughly seen as simple harmonic vibration
Mainly remember the formula of combined vibration
pat 、 Beat frequency

边栏推荐
猜你喜欢

Postman association to complete interface automation test

Day18Qt信号与槽2021-10-29

揭秘支撑百度搜索、Feed、小程序三大业务的MVVM框架设计思想,San 核心人员倾力打造

Tcpserver enable multithreading

论文解读(USIB)《Towards Explanation for Unsupervised Graph-Level Representation Learning》

SQL操作:WITH表达式及其应用

有哪些好用的工作汇报工具

力扣160. 相交链表

怎么安装 Laravel

Day14QProgressBar2021-10-17
随机推荐
最佳网络数据抓包工具mitmproxy
Typescript的通用类型检查
Leetcode 1108 IP address invalidation [violence] the leetcode path of heroding
Mysql常见面试题
2022年R1快开门式压力容器操作操作证考试题库模拟考试平台操作
Post Gartner webinar "nine questions on digital transformation"
Paper notes ACL 2022 unified structure generation for universal information extraction
摩尔投票法
URL module of node
Module import method of node
剑指Offer 57. 二叉树的下一个节点
On two years' study experience in University
Typescript的复合类型
Generics of typescript
AI writes its own code to let agents evolve! The big model of openai has the flavor of "human thought"
epoll+threadpool高并发网络IO模型的实现
Threejs实现波动热点效果,波动标记,波动标签显示
Basic data type and structure data type of TS
Character processing of node
Lei Jun's hundreds of billions of mistakes?









