当前位置:网站首页>改善深层神经网络:超参数调试、正则化以及优化(三)- 超参数调试、Batch正则化和程序框架
改善深层神经网络:超参数调试、正则化以及优化(三)- 超参数调试、Batch正则化和程序框架
2022-06-27 19:51:00 【997and】
本次学习笔记主要记录学习深度学习时的各种记录,包括吴恩达老师视频学习、花书。作者能力有限,如有错误等,望联系修改,非常感谢!
改善深层神经网络:超参数调试、正则化以及优化(三)- 超参数调试、Batch正则化和程序框架
- 一、调试处理(Tuning process)
- 二、为超参数选择合适的范围(Using an appropriate scale to pick hyperparaqmeters)
- 三、超参数调试实践:Pandas vs Caviar(Hyper)
- 四、归一化网络的激活函数(Normalizing activations in a network)
- 五、将Batch Norm拟合进神经网络(Fitting Batch Norm into a neural network)
- 六、Batch Norm为什么奏效(Why does Batch Norm work?)
- 七、测试时的Batch Norm(Batch Norm at test time)
- 八、softmax回归(softmax regression)
- 九、训练一个softmax分类器(Training a softmax classfier)
- 十、深度学习框架(Deep Learning frameworks)
- 十一、TensorFlow
第一版 2022-05-23 初稿
一、调试处理(Tuning process)

如图最重要的是学习率α,其次黄框,接着是紫框,β1,β2,ε选为0.9、0.999和10-8
在深度学习中,常用做法是随机选择点,因为对要解决的问题,很难知道哪个超参数更重要。
假如三个超参数,搜索的是一个立方体,要试验更多值。
由粗糙到精细的策略:
在二维例子中取值,会发现效果最好的某点,也许其周围效果也好,放大这块区域,在其中更密集的取值或随机取值,聚集更多的资源。若怀疑超参数在这区域的效果,可在整个方格粗略搜索后,应聚集到更小的方格中。
二、为超参数选择合适的范围(Using an appropriate scale to pick hyperparaqmeters)

随机取值提升了搜索效率,但不是在有效范围内的随机均匀取值,而是选择合适的标尺。
或 选取神经网络的层数,称为L
假设在搜索α,从0.0001到1的数轴,有90%的数值将落在0.1到1之间。
反而用数标尺搜索更合理,分别依次取0.0001,0.001,0.01,0.1,1。
总结:
在对数坐标下取值,取最小值的对数就得到a的值,取最大值的对数就得到b值,所以现在对数轴上的10a到10b区间取值,在a,b间随意均匀的选取r值,将超参数设为10r,这就是对数轴上取值过程。
最后是给β取值,用于计算指数的加权平均值。假定在0.9到0.999之间,0.9类似10个值取平均值。
为什么线性轴不是好办法?因为当β接近1时,所的结果的灵敏度会变化。
三、超参数调试实践:Pandas vs Caviar(Hyper)

可能数据中心更新了服务器,原来的参数设定可能不好用,至少每隔几个月一次。
1.一个模型,通常有庞大的数据组,但没许多计算资源或足够的CPU和GPU,只负担起一小批模型,可以逐渐改良, 比如:第0天,随机参数初始化,观察曲线,第1天末可能学习不错,然后试着增加学习率,两天后依旧不错,每天观察模型。
2.同时试验多种模型,最后选择工作效果最好的那个
四、归一化网络的激活函数(Normalizing activations in a network)

Batch归一化,μ平均值,训练集减平均值,计算方差接着根据方差归一化数据集。
对更深层的网络,如归一化a[2]的值,更快速度训练w[3],b[3],严格说,真正归一化的是z[2],
假设有些隐藏单元值,如图是针对l层,但省去l。
我们不想让隐藏单元总含有平均值0和方差1,也许隐藏单元有了不同的分布会有意义,称z{i},会用梯度下降来更新γ和β。
如,有sigmoid激活函数,不想让值总全集中在这,想使它们有更大的方差,或不是0的平均值,以便利用非线性sigmoid函数。所以,γ和β真正作用使隐藏单元值的均值和方差标准化,
五、将Batch Norm拟合进神经网络(Fitting Batch Norm into a neural network)

可认为每个单元负责计算两件事,第一先计算z,然后应用到激活函数中计算a。
Batch归一化是将z[1]值进行Batch归一化,简称BN,由β和γ控制。
接下来是由a计算z,做与第一层类似操作…
此处β和前面计算指数加权平均的β无关系,更新dβ,可以用Adam或RMSprop或Momentum来更新β和γ。
在深度学习框架中,一行代码可以搞定Batch归一化。
首先mini-batchX[1],然后计算z[1]…
注意计算z的方式,但 Batch 归一化做的是,它要看这个mini-batch,先将z归一化,结果为均值0和标准方差,再由β和γ重缩放,但这意味着,无论b的值是多少,都是要被减去的,因为在 Batch 归一化的过程中,你要计算z的均值,再减去平均值,在此例中的mini-batch 中增加任何常数,数值都不会改变,因为加上的任何常数都将会被均值减去所抵消。 所以在Batchguiyihua 可以消除b或设为0。

总结:关于如何用 Batch 归一化来应用梯度下降法
假设你在使用 mini-batch 梯度下降法,你运行t =1到batch 数量的for 循环,你会在mini-batch X{t} 上应用正向 prop,每个隐藏层都应用正向 prop,用 Batch 归一化代替z为z帽。接下来,它确保在这个mini-batch 中,z值有归一化的均值和方差,归一化均值和方差后是z帽,然后,你用反向 prop 计算dw和db,及所有l层所有的参数,dβ和dγ。尽管严格来说,要去掉db。最后,你更新这些参数:W、β、γ
六、Batch Norm为什么奏效(Why does Batch Norm work?)

1.归一化不仅仅对于这里的输入值,还有隐藏单元的值,都可以从0到1,加速学习
2.它可以使权重比你的网络更滞后或更深层,如图例子,使数据改变分布的想法,名为“Cobariate shift”,即若已经学到x到y的映射,x分布改变,可能需要重新训练学习算法。
从第三层看学习过程,已经学习了参数w[3]和b[3],接下来需要什么使得y帽接近真实值y。 从第三层隐藏层角度看,这些隐藏单元的值不断改变。
batch归一化做的是,减少了这些隐藏值分布变化的数量。如图下方,讲的是z1,z2的值可以改变,batch归一化确保无论怎样变化,z1,z2的均值和方差保持不变。可以强制均值和方差,但限制了前层的参数更新,会影响数值分布的程度。
batch归一化减少了输入值改变的问题。它做的是当前层保持学习,改变时,迫使后层适应的程度减小。
batch归一化还有轻微的正则化效果,mini-batch上均值和方差会有些小噪声。
1.batch归一化含有几重噪声,因为标准偏差的缩放和减去均值带来的额外噪音。可将batch归一化和dropout一起使用。
2.若应用了较大的mini-batch,减少了噪声,因此减少了正则化效果,是dropout一个奇怪的性质。
七、测试时的Batch Norm(Batch Norm at test time)

m表示这个mini-batch中的样本数量。加上ε是为了数值稳定性。
为了神经网络运用于测试,需单独估算均值和方差,batch归一化中需要一个指数加权平均来估算。
最后在测试,归一化得z。
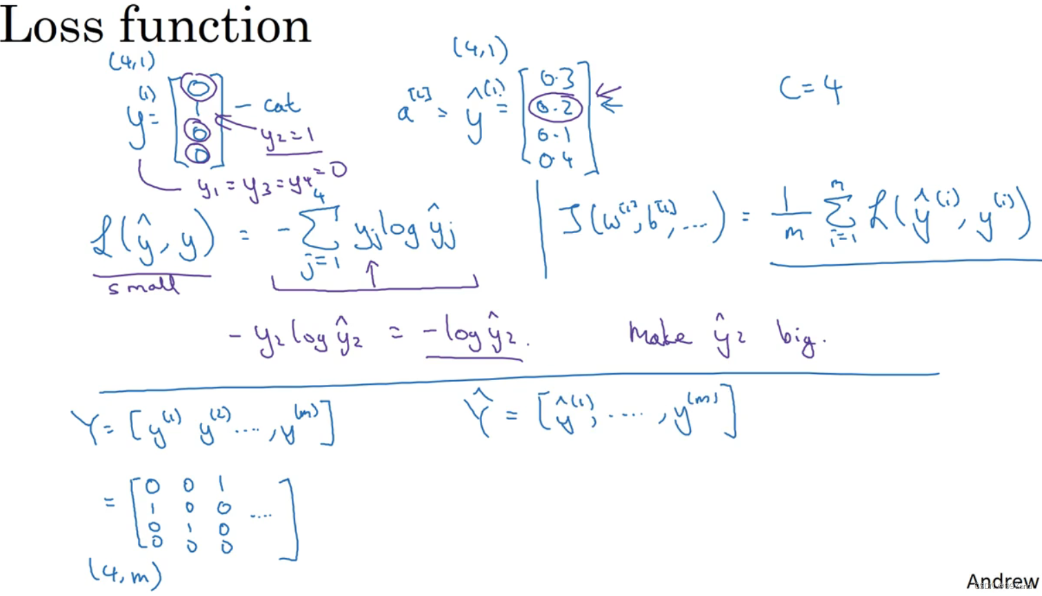
八、softmax回归(softmax regression)

二分分类只有两种可能的标记0或1,而softmax回归有多种可能。猫1,狗2,小鸡3,其他0。
用C表示输入会被分入的类别总个数。
如图神经网络,输出层有4个,我们想让这四层告诉我们四种类型中每个的概率大小。
接下看softmax式子写出来看看,临时变量t。右侧为例子。
softmax激活函数特殊之处在于,因为需要将所有可能的输出归一化,就需要输入一个向量,最后输出一个向量。
上边三个是3个线性决策边界。
C=4、C=5、C=6,显示了softmax分类器在没有隐藏层的情况下能做的事。
九、训练一个softmax分类器(Training a softmax classfier)

注意到最大元素是5,而最大概率也是第一种概率。
softmax名称来源于hardmax。C=2,softmax回归实际上变回了logistic回归。
梯度下降法是用来减少训练集的损失的,要使它变小的唯一方式就是使-logy帽变小,那么需要y帽尽可能大,但不会比1大。
输出层会计算z[l],它是C x 1维的。
十、深度学习框架(Deep Learning frameworks)

选择深度学习框架:
1.便于编程
2.运行速度
十一、TensorFlow

如图的损失函数,用TensorFlow最小化
学习率0.01
边栏推荐
- QT base64 encryption and decryption
- 关于davwa的SQL注入时报错:Illegal mix of collations for operation ‘UNION‘原因剖析与验证
- 中金证券经理给的开户链接办理股票开户安全吗?我想开个户
- Test birds with an annual salary of 50w+ are using this: JMeter script development -- extension function
- Do280openshift access control -- Security Policy and chapter experiment
- Introduction to ARCS Model
- 正则表达式
- \W and [a-za-z0-9_], \Are D and [0-9] equivalent?
- [LeetCode]100. Same tree
- Beijing University of Posts and Telecommunications - multi-agent deep reinforcement learning for cost and delay sensitive virtual network function placement and routing
猜你喜欢

Codeforces Round #723 (Div. 2)

Experience sharing of meituan 20K Software Test Engineers
![[leetcode] dynamic programming solution split integer i[silver fox]](/img/18/8dc8159037ec1262444db8899cde0c.png)
[leetcode] dynamic programming solution split integer i[silver fox]

Windwos 8.1系统安装vmware tool插件报错的解决方法

01 golang environment construction

Gao fushuai in the unit testing industry, pytest framework, hands-on teaching, will do this in the future test reports~

管理系統-ITclub(下)

二维数组中修改代价最小问题【转换题意+最短路径】(Dijkstra+01BFS)

Solve the problem that the virtual machine cannot be connected locally

Deep learning has a new pit! The University of Sydney proposed a new cross modal task, using text to guide image matting
随机推荐
CDH集群之YARN性能调优
管理系统-ITclub(下)
Start the start php
Yolov6: the fast and accurate target detection framework is open source
go语言切片Slice和数组Array对比panic: runtime error: index out of range问题解决
Record a list object traversal and determine the size of the float type
Gao fushuai in the unit testing industry, pytest framework, hands-on teaching, will do this in the future test reports~
[LeetCode]572. 另一棵树的子树
Conversion between flat array and JSON tree
[LeetCode]508. The most frequent subtree elements and
Fill in the blank of rich text test
Deep learning has a new pit! The University of Sydney proposed a new cross modal task, using text to guide image matting
QT large file generation MD5 check code
单元测试界的高富帅,Pytest框架,手把手教学,以后测试报告就这么做~
Secret script of test case design without leakage -- module test
How to do function test well? Are you sure you don't want to know?
Codeforces Round #723 (Div. 2)
mysql 大于 小于 等于符号的表示方法
Software test automation test -- interface test from entry to proficiency, learn a little every day
Codeforces Round #722 (Div. 2)