当前位置:网站首页>[leetcode skimming] array 1 - double pointer
[leetcode skimming] array 1 - double pointer
2022-07-29 06:25:00 【ScienceLi1125】
This article is LeetCode Array module about double pointer content brush notes , For reference only .
Double pointer refers to the process of traversing the search object , Using two pointers ( Usually numerical coordinates ) At different speeds in the same direction ( Two pointers in the same direction 、 Speed pointer ) Or in the opposite direction ( Head to tail pointer ) The search process .
Catalog
One . Head to tail pointer
The head and tail pointers are generally applicable to Ordered array , take left Set up 0,right Set up n-1, Determine which pointer to move by size comparison .
Leetcode1. Sum of two numbers
Leetcode1. Sum of two numbers
Given an array of integers nums And an integer target value target, Please find... In the array And is the target value target the Two Integers , And return their array subscripts .
You can assume that each input corresponds to only one answer . however , The same element in the array cannot be repeated in the answer .
You can return the answers in any order .
You can assume that each input corresponds to only one answer . however , The same element in the array cannot be repeated in the answer .
Example 1:
Input :nums = [2,7,11,15], target = 9
Output :[0,1]
explain : because nums[0] + nums[1] == 9 , return [0, 1] .
Example 2:
Input :nums = [3,2,4], target = 6
Output :[1,2]
Example 3:
Input :nums = [3,3], target = 6
Output :[0,1]
Tips :
2 <= nums.length <= 104
-109 <= nums[i] <= 109
-109 <= target <= 109
There will only be one valid answer
Advanced : You can come up with a time complexity less than O(n2) The algorithm of ?
Law 1 : The direct idea is obviously to solve the double cycle of violence , But the complexity is O(n2), It's hard to accept . So I thought of using map Map array elements to subscripts , And then map Search through map[target-map[i]]>0 that will do :
class Solution {
public:
vector<int> twoSum(vector<int>& nums, int target) {
map<int,int> mp;
for(int i=0;i<nums.size();i++){
mp[nums[i]]=i; // Map elements to subscripts
}
std::map<int,int>::iterator it; // Iterator traversal map
for(it=mp.begin();it!=mp.end();it++){
if(mp[target-(it->first)]>0){
return {
it->second,mp[target-(it->first)]};
}
}
return {
-1,-1};
}
};
however map The same element is not allowed in , Therefore, the above code is in nums If you have the same elements, you will get the wrong answer .

Therefore, we need to judge map[target-map[i]]>0 Time to join map[target-map[i]] != i Conditions , And open another map Record duplicate information . There is another point worth noting ,map When storing subscripts from 1 Count , Because deposit 0 Words map When retrieving, it will be considered that there is no such element :
class Solution {
public:
vector<int> twoSum(vector<int>& nums, int target) {
map<int,int> mp1; // Used to map elements to subscripts
map<int,int> mp2; // Used to record mp1 Repeat elements in
for(int i=0;i<nums.size();i++){
if(mp1[nums[i]]==0){
mp1[nums[i]]=i+1; // Otherwise, from 0 Count No 0 Elements are unrecognized
}
else{
//mp1[nums[i]] repeat
mp2[nums[i]]=i+1;
}
}
std::map<int,int>::iterator it;
for(it=mp1.begin();it!=mp1.end();it++){
if(mp1[target-(it->first)]>0 && mp1[target-(it->first)]!=it->second){
return {
it->second-1,mp1[target-(it->first)]-1};
}
else if(mp1[target-(it->first)]>0 && mp1[target-(it->first)]==it->second && mp2[target-(it->first)]>0){
return {
it->second-1,mp2[target-(it->first)]-1};
}
}
return {
-1,-1};
}
};

Law two : In order to get a better strategy , Consider starting with map Store key value pairs in (num,index) Find when target-num Whether in map in , If you return directly , Otherwise, it will be deposited in map. This method is not afraid of repeating elements , Because the second repeating element will be searched before saving target-num Whether in map in , If yes, return the result directly :
class Solution {
public:
vector<int> twoSum(vector<int>& nums, int target) {
map<int,int> mp; // Used to map elements to subscripts
for(int i=0;i<nums.size();i++){
if(mp[target-nums[i]]>0){
return {
mp[target-nums[i]]-1,i};
}
else{
mp[nums[i]]=i+1;
}
}
return {
-1,-1};
}
};

Leetcode167. Sum of two numbers II
Leetcode167. Sum of two numbers II
I'll give you a subscript from 1 The starting array of integers numbers , The array has been pressed Non decreasing order , Please find out from the array that the sum satisfying the addition is equal to the target number target Two numbers of . Let these two numbers be numbers[index1] and numbers[index2] , be 1 <= index1 < index2 <= numbers.length .
In length 2 Array of integers for [index1, index2] Returns the subscript of these two integers in the form of index1 and index2.
You can assume that each input Only corresponding to the only answer , And you Can not be Reuse the same elements .
The solution you design must use only constant level extra space .
Example 1:
Input :numbers = [2,7,11,15], target = 9
Output :[1,2]
explain :2 And 7 The sum is equal to the number of targets 9 . therefore index1 = 1, index2 = 2 . return [1, 2] .
Example 2:
Input :numbers = [2,3,4], target = 6
Output :[1,3]
explain :2 And 4 The sum is equal to the number of targets 6 . therefore index1 = 1, index2 = 3 . return [1, 3] .
Example 3:
Input :numbers = [-1,0], target = -1
Output :[1,2]
explain :-1 And 0 The sum is equal to the number of targets -1 . therefore index1 = 1, index2 = 2 . return [1, 2] .
Tips :
2 <= numbers.length <= 3 * 104
-1000 <= numbers[i] <= 1000
numbers Press Non decreasing order array
-1000 <= target <= 1000
There is only one valid answer
Inherent LeetCode1 The difference is , The array of this question is orderly , You can use it directly Double pointer Search for :
if(numbers[left]+numbers[right]<target){
left++;
}
else right--;
The time complexity is O(n). The reason why this method is not used in the previous question is , If you sort the array first , At least O(nlogn) Time complexity of . Attached below AC Code :
class Solution {
public:
vector<int> twoSum(vector<int>& numbers, int target) {
int left=0;
int right=numbers.size()-1;
while(left<right){
if(numbers[left]+numbers[right]==target){
return {
left+1,right+1};
}
else if(numbers[left]+numbers[right]<target){
left++;
}
else right--;
}
return {
-1,-1};
}
};

Leetcode11. The container with the most water
Leetcode11. The container with the most water
Given a length of n Array of integers for height . Yes n Vertical line , The first i The two ends of the line are (i, 0) and (i, height[i]) .
Find two of them , Make them x A container of shafts can hold the most water .
Return the maximum amount of water that the container can store .
explain : You can't tilt the container .
Example 1:
Input :[1,8,6,2,5,4,8,3,7]
Output :49
explain : The vertical line in the figure represents the input array [1,8,6,2,5,4,8,3,7]. In this case , The container can hold water ( In blue ) The maximum value of is 49.
Example 2:
Input :height = [1,1]
Output :1
Tips :
n == height.length
2 <= n <= 105
0 <= height[i] <= 104
I brushed this question when learning the chapter of greedy algorithm , Direct thinking :
Traverse the size of the bottom of the container to obtain the maximum capacity : Double pointers point to both ends of the array , Close one space at a time ( namely left++ or right–) Until we met , Record the maximum capacity with a variable and update each time .
So every time you move the pointer Just look for the next situation that may be larger than the current capacity that will do . because right-left Subtract from each step 1, And the maximum capacity depends on height[left]、height[right] Smaller values ; If the pointer with higher height is moved every time , namely max(left,right), Then the maximum height of the next case can only be min(left,right), The capacity is obviously reduced . therefore Move the smaller pointer each time , After moving like this, take min(left,right) After h It may be larger than the current one to get a larger capacity . The code is as follows :
class Solution {
public:
int min(int a,int b){
return a<b?a:b;
}
int maxArea(vector<int>& height) {
int left=0;
int right=height.size()-1;
int max_v=(right-left)*min(height[left],height[right]);
while(left<right){
if(height[left]<height[right]){
left++;
}else{
right--;
}
if(max_v<(right-left)*min(height[left],height[right])){
max_v=(right-left)*min(height[left],height[right]);
}
}
return max_v;
}
};
Leetcode15. Sum of three numbers
Leetcode15. Sum of three numbers
Give you one containing n Array of integers nums, Judge nums Are there three elements in a,b,c , bring a + b + c = 0 ? Please find out all and for 0 Triple without repetition .
Be careful : Answer cannot contain duplicate triples .
Example 1:
Input :nums = [-1,0,1,2,-1,-4]
Output :[[-1,-1,2],[-1,0,1]]
Example 2:
Input :nums = []
Output :[]
Example 3:
Input :nums = [0]
Output :[]
Tips :
0 <= nums.length <= 3000
-105 <= nums[i] <= 105
Direct thinking violent search , To avoid duplication of results , Store the results in a unified order ( namely ans[0]<=ans[1]<=ans[2]), Before saving the results, first traverse to see whether the current results have been included :
class Solution {
public:
bool find(vector<vector<int> > v,vector<int>& t){
for(int i=0;i<v.size();i++){
bool flag=1;
for(int j=0;j<3;j++){
if(v[i][j]!=t[j]){
flag=0;
break;
}
}
if(flag) return 1;
}
return 0;
}
vector<int> sort_v(int a,int b,int c){
if(a>b){
int tmp=b;
b=a;
a=tmp;
}
if(c>b){
return {
a,b,c};
}
else if(c<=b && c>=a){
return {
a,c,b};
}
else{
return {
c,a,b};
}
}
vector<vector<int>> threeSum(vector<int>& nums) {
vector<vector<int> > v;
for(int i=0;i<nums.size();i++){
for(int j=i+1;j<nums.size();j++){
for(int k=j+1;k<nums.size();k++){
vector<int> tmp=sort_v(nums[i],nums[j],nums[k]);
if(nums[i]+nums[j]+nums[k]==0 && !find(v,tmp)){
v.push_back(tmp);
}
}
}
}
return v;
}
};
Sure enough , Run timeout :

It's not difficult to find out after thinking carefully , The sum of three numbers is actually an extension of the sum of two numbers , If the sum of three numbers can be changed into the sum of two numbers , Then the problem is solved . Violent search is to sort the results to prevent repeated answers , Actually, you can. Let's start with the array nums Order , The results found can avoid repetition . Traverse nums Array , Then use the double pointer to find the result is -nums[i] Sum of two numbers , Because it's in order , So when you grow up right–, Small left++, Then the sum of three numbers becomes the sum of two numbers . The time complexity is O(n2):
class Solution {
public:
bool find(vector<vector<int> > v,vector<int>& t){
for(int i=0;i<v.size();i++){
bool flag=1;
for(int j=0;j<3;j++){
if(v[i][j]!=t[j]){
flag=0;
break;
}
}
if(flag) return 1;
}
return 0;
}
vector<vector<int>> threeSum(vector<int>& nums) {
sort(nums.begin(),nums.end()); // Sort first
vector<vector<int> > v;
for(int i=0;i<nums.size();i++){
int left=i+1;
int right=nums.size()-1;
while(left<right && left<nums.size() && right>0){
if(nums[left]+nums[right]<-1*nums[i]){
left++;
}
else if(nums[left]+nums[right]>-1*nums[i]){
right--;
}
else{
vector<int> tmp;
tmp.push_back(nums[i]);
tmp.push_back(nums[left]);
tmp.push_back(nums[right]);
if(!find(v,tmp)){
v.push_back(tmp);
}
left++;
right--;
}
}
}
return v;
}
};
However, there are still a few sample timeouts :
The reason is to v Medium pressure input tmp It was also carried out before find Function to remove duplicates , The actual time complexity of the algorithm is O(n3). Next, consider using sets to remove duplicates :
class Solution {
public:
vector<vector<int>> threeSum(vector<int>& nums) {
sort(nums.begin(),nums.end()); // Sort first
set<vector<int> > v;
for(int i=0;i<nums.size();i++){
int left=i+1;
int right=nums.size()-1;
while(left<right && left<nums.size() && right>0){
if(nums[left]+nums[right]<-1*nums[i]){
left++;
}
else if(nums[left]+nums[right]>-1*nums[i]){
right--;
}
else{
vector<int> tmp;
tmp.push_back(nums[i]);
tmp.push_back(nums[left]);
tmp.push_back(nums[right]);
v.insert(tmp);
left++;
right--;
}
}
}
vector<vector<int> > ans;
ans.assign(v.begin(),v.end());
return ans;
}
};
However …… It's over time …… Set de duplication also has its own time complexity .
Actually If there are duplicate triples in the final result , Then according to the above search method, it must be i,left or right One of them has the same value as the previous one , So it just needs to be in i、left、right After the change, compare whether it is the same with the previous value , Same direct continue that will do . Be careful , For the completeness of the answer , There is no need to compare when taking values for the first time ( Source of ideas : Li Kou official answer ):
class Solution {
public:
vector<vector<int>> threeSum(vector<int>& nums) {
sort(nums.begin(),nums.end()); // Sort first
vector<vector<int> > v;
for(int i=0;i<nums.size();i++){
if(i>0 && nums[i]==nums[i-1]){
// duplicate removal !!
continue;
}
int left=i+1;
int right=nums.size()-1;
while(left<right && left<nums.size() && right>0){
if(left>i+1 && nums[left]==nums[left-1]){
// duplicate removal !!
left++;
continue;
}
else if(right<nums.size()-1 && nums[right]==nums[right+1]){
right--;
continue;
}
if(nums[left]+nums[right]<-1*nums[i]){
left++;
}
else if(nums[left]+nums[right]>-1*nums[i]){
right--;
}
else{
vector<int> tmp;
tmp.push_back(nums[i]);
tmp.push_back(nums[left]);
tmp.push_back(nums[right]);
v.push_back(tmp);
left++;
right--;
}
}
}
return v;
}
};
Lacrimal , finally AC 了 …… The time complexity of the above algorithm is O(n2).
Leetcode16. The closest sum of three
Leetcode16. The closest sum of three
Give you a length of n Array of integers for nums and A target value target. Please start from nums Choose three integers , Make their sum with target Nearest .
Returns the sum of the three numbers .
It is assumed that there is only exactly one solution for each set of inputs .
Example 1:
Input :nums = [-1,2,1,-4], target = 1
Output :2
explain : And target The closest and 2 (-1 + 2 + 1 = 2) .
Example 2:
Input :nums = [0,0,0], target = 1
Output :0
Tips :
3 <= nums.length <= 1000
-1000 <= nums[i] <= 1000
-104 <= target <= 104
The same way of thinking LeetCode15, Outer layer for Loop through all elements , Inner double pointer while loop , The complexity is O(n2):
class Solution {
public:
int threeSumClosest(vector<int>& nums, int target) {
sort(nums.begin(),nums.end()); // Sort first
int ans=50000; //INF Make the first judgment tmp-target and abs(ans-target) The relationship is always satisfied
for(int i=0;i<nums.size();i++){
int sum=nums[i];
int left=i+1;
int right=nums.size()-1;
while(left<right && left<nums.size() && right>0){
int tmp=nums[left]+nums[right]+nums[i];
if(tmp==target){
return target;
}
else if(tmp>target){
if(tmp-target<abs(ans-target)) ans=tmp;
right--;
}
else{
if(target-tmp<abs(ans-target)) ans=tmp;
left++;
}
}
}
return ans;
}
};

Leetcode18. Sum of four numbers
Leetcode18. Sum of four numbers
Here you are n An array of integers nums , And a target value target . Please find and return the quads that meet all the following conditions and are not repeated [nums[a], nums[b], nums[c], nums[d]] ( If two Quad elements correspond to each other , It is considered that two quads repeat ):
0 <= a, b, c, d < n
a、b、c and d Different from each other
nums[a] + nums[b] + nums[c] + nums[d] == target
You can press In any order Return to the answer .
Example 1:
Input :nums = [1,0,-1,0,-2,2], target = 0
Output :[[-2,-1,1,2],[-2,0,0,2],[-1,0,0,1]]
Example 2:
Input :nums = [2,2,2,2,2], target = 8
Output :[[2,2,2,2]]
Tips :
1 <= nums.length <= 200
-109 <= nums[i] <= 109
-109 <= target <= 109
The sum of four numbers is a variant of the sum of three numbers : The outer double loop determines the first two elements , The inner double pointer determines the last two elements . The method of de duplication is the same as the sum of three numbers , Judge i、j、left、right Whether the value is the same as the previous one .
There is a hole in the test point of this question ,int Addition will overflow , Need to use long type :
attach AC Code :
class Solution {
public:
vector<vector<int>> fourSum(vector<int>& nums, int target) {
vector<vector<int>> ans;
sort(nums.begin(),nums.end());
for(int i=0;i<nums.size();i++){
if(i>0 && nums[i]==nums[i-1]) continue;
for(int j=i+1;j<nums.size();j++){
if(j>i+1 && nums[j]==nums[j-1]) continue;
int left=j+1;
int right=nums.size()-1;
while(left<right && left<nums.size() && right>0){
// duplicate removal !!
if(left>j+1 && nums[left]==nums[left-1]){
left++;
continue;
}
else if(right<nums.size()-1 && nums[right]==nums[right+1]){
right--;
continue;
}
long sum=(long)nums[left]+(long)nums[right]+(long)nums[i]+(long)nums[j]; // Otherwise, the addition overflows ...
// Search for
if(sum<target){
left++;
}
else if(sum>target){
right--;
}
else{
ans.push_back({
nums[i],nums[j],nums[left],nums[right]});
left++;
right--;
}
}
}
}
return ans;
}
};

Two . Two pointers in the same direction
The same direction double pointer passes through the current pointer cur And valid pointers valid coordination , Record the current search location cur And the actual effective location valid, It is generally used to delete elements of an array .
Leetcode26. Remove duplicate items from an ordered array
Leetcode26. Remove duplicate items from an ordered array
To give you one Ascending order Array of nums , Would you please In situ Delete duplicate elements , Make each element Only once , Returns the new length of the deleted array . Elemental Relative order It should be maintained Agreement .
Because the length of an array cannot be changed in some languages , So you have to put the result in an array nums The first part of . More formally , If there is... After deleting duplicates k Elements , that nums Before k An element should hold the final result .
Insert the final result into nums Before k Return to... After a position k .
Don't use extra space , You must be there. In situ Modify input array And using O(1) Complete with extra space .
Example 1:
Input :nums = [1,1,2]
Output :2, nums = [1,2,_]
explain : Function should return the new length 2 , And the original array nums The first two elements of are modified to 1, 2 . You don't need to think about the elements in the array that follow the new length .
Example 2:
Input :nums = [0,0,1,1,1,2,2,3,3,4]
Output :5, nums = [0,1,2,3,4]
explain : Function should return the new length 5 , And the original array nums The first five elements of are modified to 0, 1, 2, 3, 4 . You don't need to think about the elements in the array that follow the new length .
Tips :
1 <= nums.length <= 3 * 104
-104 <= nums[i] <= 104
nums Pressed Ascending array
Double pointer one record valid position , The location of a record search :
class Solution {
public:
int removeDuplicates(vector<int>& nums) {
int valid=0;
for(int i=0;i<nums.size();i++){
if(i==0){
continue;
}
else if(nums[i]==nums[valid]){
continue;
}
else{
valid++;
nums[valid]=nums[i];
}
}
valid++;
return valid;
}
};

Leetcode27. Remove elements
Leetcode27. Remove elements
Give you an array nums And a value val, You need In situ Remove all values equal to val The elements of , And return the new length of the array after removal .
Don't use extra array space , You have to use only O(1) Additional space and In situ Modify input array .
The order of elements can be changed . You don't need to think about the elements in the array that follow the new length .
Example 1:
Input :nums = [3,2,2,3], val = 3
Output :2, nums = [2,2]
explain : Function should return the new length 2, also nums The first two elements in are 2. You don't need to think about the elements in the array that follow the new length . for example , The new length returned by the function is 2 , and nums = [2,2,3,3] or nums = [2,2,0,0], It will also be seen as the right answer .
Example 2:
Input :nums = [0,1,2,2,3,0,4,2], val = 2
Output :5, nums = [0,1,4,0,3]
explain : Function should return the new length 5, also nums The first five elements in are 0, 1, 3, 0, 4. Note that these five elements can be in any order . You don't need to think about the elements in the array that follow the new length .
Tips :
0 <= nums.length <= 100
0 <= nums[i] <= 50
0 <= val <= 100
if LeetCode26 Is the left pointer index , Right pointer mark ; that LeetCode27 Right pointer index , Left pointer mark . The idea is to place effective elements at the element position of the current index :
class Solution {
public:
int removeElement(vector<int>& nums, int val) {
int tag=0;
for(int i=0;i<nums.size();i++){
if(nums[i]!=val){
nums[tag]=nums[i];
tag++;
}
}
return tag;
}
};

3、 ... and . Segmented double pointer
Segmented double pointers are generally used when two pointers handle two linked lists respectively .
Leetcode328. Odd and even list
Leetcode328. Odd and even list
The header node of the order linked list head , Group all nodes with odd index and even index together , Then return to the reordered list .
The index of the first node is considered to be Odd number , The index of the second node is even numbers , And so on .
Please note that , The relative order within the even group and the odd group should be consistent with the input .
You must be there. O(1) Additional space complexity and O(n) Solve this problem under the time complexity of .
Example 1:
Input : head = [1,2,3,4,5]
Output : [1,3,5,2,4]
Example 2:
Input : head = [2,1,3,5,6,4,7]
Output : [2,3,6,7,1,5,4]
Tips :
n == The number of nodes in a linked list
0 <= n <= 104
-106 <= Node.val <= 106
Use two pointers to operate the two sections respectively :
class Solution {
public:
ListNode* oddEvenList(ListNode* head) {
if(head==NULL) return NULL;
ListNode *head2=head->next; // Keep the header of the even index
ListNode *ptr1=head;
ListNode *ptr2=head->next;
while(ptr2!=NULL && ptr2->next!=NULL){
ptr1->next=ptr1->next->next;
ptr1=ptr1->next;
ptr2->next=ptr2->next->next;
ptr2=ptr2->next;
}
ptr1->next=head2;
return head;
}
};

Leetcode86. Separate the list
Leetcode86. Separate the list
Give you a list of the head node head And a specific value x , Please separate the linked list , Make all Less than x All of the nodes appear in Greater than or equal to x Before the node .
You should Retain The initial relative position of each node in the two partitions .
Example 1:
Input :head = [1,4,3,2,5,2], x = 3
Output :[1,2,2,4,3,5]
Example 2:
Input :head = [2,1], x = 2
Output :[1,2]
Tips :
The number of nodes in the linked list is in the range [0, 200] Inside
-100 <= Node.val <= 100
-200 <= x <= 200
Record two linked lists with two pointers head, Two pointers record the current position of the two linked lists , A pointer can traverse the linked list .
It should be noted that , The linked list needs to strictly grasp the direction of the pointer :
After the traversal is over , The next array Of the last element next The pointer must be assigned NULL:
ptr2->next=NULL, Otherwise, a circular linked list will be formed :
If the previous array is empty , Go straight back to head2, Otherwise, the return is NULL;
If the next array is empty , Go straight back to head1, otherwise ptr2->next Invalid .
class Solution {
public:
ListNode* partition(ListNode* head, int x) {
if(head==NULL) return NULL;
ListNode *head1=NULL;
ListNode *head2=NULL;
ListNode *ptr1=NULL;
ListNode *ptr2=NULL;
ListNode *cur=head;
while(cur!=NULL){
if(cur->val<x){
if(ptr1==NULL){
head1=cur;
ptr1=cur;
}else{
ptr1->next=cur;
ptr1=cur;
}
}else{
if(ptr2==NULL){
head2=cur;
ptr2=cur;
}else{
ptr2->next=cur;
ptr2=cur;
}
}
cur=cur->next;
}
if(ptr1==NULL){
// Artificial judgment , Otherwise return to NULL
return head2;
}
if(ptr2==NULL){
// Artificial judgment , otherwise ptr2->next Invalid
return head1;
}
ptr1->next=head2;
ptr2->next=NULL; // The end of the linked list must be pointed to NULL, Otherwise, a ring will be formed
return head1;
}
};

Four . Speed pointer
The speed pointer is generally used to solve Linked list Related issues , Such as the median of the ordered linked list 、 Judge the circular list 、 The last of the output list k Elements, etc .
Leetcode876. The middle node of a list
Leetcode876. The middle node of a list
Given a header node as head The non empty single chain table of , Returns the middle node of the linked list .
If there are two intermediate nodes , Then return to the second intermediate node .
Example 1:
Input :[1,2,3,4,5]
Output : Nodes in this list 3 ( Serialization form :[3,4,5])
The returned node value is 3 . ( The evaluation system expresses the serialization of this node as follows [3,4,5]).
Be careful , We returned one ListNode Object of type ans, such :
ans.val = 3, ans.next.val = 4, ans.next.next.val = 5, as well as ans.next.next.next = NULL.
Example 2:
Input :[1,2,3,4,5,6]
Output : Nodes in this list 4 ( Serialization form :[4,5,6])
Because the list has two intermediate nodes , Values, respectively 3 and 4, Let's go back to the second node .
Tips :
The number of nodes in a given list is between 1 and 100 Between .
/** * Definition for singly-linked list. * struct ListNode { * int val; * ListNode *next; * ListNode() : val(0), next(nullptr) {} * ListNode(int x) : val(x), next(nullptr) {} * ListNode(int x, ListNode *next) : val(x), next(next) {} * }; */
class Solution {
public:
ListNode* middleNode(ListNode* head) {
ListNode *ptr1=head;
ListNode *ptr2=head;
while(ptr2!=NULL && ptr2->next!=NULL){
ptr1=ptr1->next;
ptr2=ptr2->next->next;
}
return ptr1;
}
};

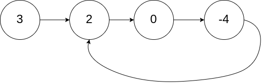
Leetcode141. Circular list
Leetcode141. Circular list
Give you a list of the head node head , Judge whether there are links in the list .
If there is a node in the linked list , It can be done by continuously tracking next The pointer reaches again , Then there is a ring in the linked list . To represent a ring in a given list , The evaluation system uses an integer pos To indicate where the end of the list is connected to the list ( Index from 0 Start ). Be careful :pos Not passed as an argument . Just to identify the actual situation of the linked list .
If there are rings in the list , Then return to true . otherwise , return false .
Example 1:Input :head = [3,2,0,-4], pos = 1
Output :true
explain : There is a link in the list , Its tail is connected to the second node .
Example 2:
Input :head = [1,2], pos = 0
Output :true
explain : There is a link in the list , Its tail is connected to the first node .
Example 3:
Input :head = [1], pos = -1
Output :false
explain : There are no links in the list .
Tips :
The number range of nodes in the linked list is [0, 104]
-105 <= Node.val <= 105
pos by -1 Or one of the lists Valid index .
In the example, enter the array and pos Just easy to express , The parameter passed in the function is still the header pointer of the linked list .
Judge whether the circular linked list adopts Floyd Circle algorithm , Nature is Use two different speed pointers , Every time ptr1 Take a step ,ptr2 Take two steps , If at some point ptr1 And ptr2 meet ptr1==ptr2, Then there must be a ring .
It should be noted that :
- ptr1 and ptr2 The initial value of is head, In order for the program to enter the loop , use do…while loop :
- To ensure grammar
ptr->nextIt works , The inside of the loop needs to be addedptr!=NULLThe judgment of the . because ptr2 Velocity ratio ptr1 fast , So there's no need to judge ptr1; But because of ptr2 Move two steps at a time , So judgment is neededif(ptr2==NULL||ptr2->next==NULL)
/** * Definition for singly-linked list. * struct ListNode { * int val; * ListNode *next; * ListNode(int x) : val(x), next(NULL) {} * }; */
class Solution {
public:
bool hasCycle(ListNode *head) {
ListNode *ptr1=head;
ListNode *ptr2=head;
do{
if(ptr2==NULL||ptr2->next==NULL){
return false;
}
ptr1=ptr1->next;
ptr2=(ptr2->next)->next;
}while(ptr1!=ptr2);
return true;
}
};

Leetcode142. Circular list II
Leetcode142. Circular list II
Given the head node of a linked list head , Return to the first node of the link where the list begins to enter . If the list has no links , Then return to null.
If there is a node in the linked list , It can be done by continuously tracking next The pointer reaches again , Then there is a ring in the linked list . To represent a ring in a given list , The evaluation system uses an integer pos To indicate where the end of the list is connected to the list ( Index from 0 Start ). If pos yes -1, There are no links in the list . Be careful :pos Not passed as an argument , Just to identify the actual situation of the linked list .
No modification allowed Linked list .
Example 1:
Input :head = [3,2,0,-4], pos = 1
Output : The return index is 1 The linked list node of
explain : There is a link in the list , Its tail is connected to the second node .
Example 2:
Input :head = [1,2], pos = 0
Output : The return index is 0 The linked list node of
explain : There is a link in the list , Its tail is connected to the first node .
Example 3:
Input :head = [1], pos = -1
Output : return null
explain : There are no links in the list .
Tips :
The number of nodes in the list is in the range [0, 104] Inside
-105 <= Node.val <= 105
pos The value of is -1 Or a valid index in a linked list
Next question , At the meeting point ptr2 Certain ratio ptr1 An extra round . set up Starting point of ring Compare with head The location of the for s , Meeting point The position is t, The length of the ring by c,ptr1 go n1 circle ,ptr2 go n2 circle . obviously t > s,n2 > n1. When we met ptr1 go s1=t+n1*c,ptr2 go s2=t+n2*c And s2=2*s1. So there is s2-s1=s1, namely t=(n2-2*n1)*c.

thereafter ptr1 And ptr2 Keep the same speed , and take ptr1 Put back the starting point ,ptr2 Remain t It's about , Then the two pointers move forward one step at a time , The meeting point is s At this time is ptr1 The first time s.
because t=(n2-2*n1)*c, That is, the number of complete turns , therefore ptr2 It's not until the next arrival s The remaining distance of the point c+s-t Namely s Subtract the number of complete turns ( as long as t>0, be n2-2n1>0, also n1、n2 Integers , therefore n2-2n1>=1+), in other words ptr1 Arrive for the first time s when ptr2 The first (n2-2*n1) Time to arrive s.
class Solution {
public:
ListNode *detectCycle(ListNode *head) {
ListNode *ptr1=head;
ListNode *ptr2=head;
do{
if(ptr2==NULL||ptr2->next==NULL){
return NULL;
}
ptr1=ptr1->next;
ptr2=(ptr2->next)->next;
}while(ptr1!=ptr2);
// The list has rings ,ptr1、ptr2 Meet in t
ptr1=head;
while(ptr1!=ptr2){
ptr1=ptr1->next;
ptr2=ptr2->next;
}
return ptr1;
}
};

Leetcode19. Delete the last of the linked list N Nodes
Leetcode19. Delete the last of the linked list N Nodes
I'll give you a list , Delete the last of the linked list n Nodes , And return the head node of the list .
Example 1:
Input :head = [1,2,3,4,5], n = 2
Output :[1,2,3,5]
Example 2:
Input :head = [1], n = 1
Output :[]
Example 3:
Input :head = [1,2], n = 1
Output :[1]
Tips :
The number of nodes in the list is sz
1 <= sz <= 30
0 <= Node.val <= 100
1 <= n <= sz
This problem mainly lies in finding the penultimate of the linked list N Nodes , You can traverse and calculate the length of the linked list first, and then traverse to the len-N Elements delete , It can also be done through Speed pointer , Give Way ptr1 Go ahead N Step , Let the double pointer synchronize backward ,ptr1==NULL when ptr2 It points to the penultimate N Nodes .
It should be noted that , If n==len, namely The header is deleted , Require special treatment .
/** * Definition for singly-linked list. * struct ListNode { * int val; * ListNode *next; * ListNode() : val(0), next(nullptr) {} * ListNode(int x) : val(x), next(nullptr) {} * ListNode(int x, ListNode *next) : val(x), next(next) {} * }; */
class Solution {
public:
ListNode* removeNthFromEnd(ListNode* head, int n) {
ListNode *ptr1=head;
ListNode *ptr2=head;
for(int i=0;i<n;i++){
ptr1=ptr1->next;
}
if(ptr1==NULL){
// The header is deleted
head=head->next;
return head;
}
while(ptr1->next!=NULL){
ptr1=ptr1->next;
ptr2=ptr2->next;
}
ptr2->next=ptr2->next->next;
return head;
}
};

5、 ... and . The sliding window
The sliding window passes through two initial values 0 The pointer to left、right, Move to the right as required , Two pointers [left, right) Form a window between , And record what needs to be solved in the process The target value of a piece of data . Generally used to solve The maximum value problem of substring or subsequence of array or string .
For sliding windows with fixed length , Directly move the left and right pointers at the same time to search ; For sliding windows with variable length , It's usually used right The pointer makes for Loop traversal , After each move left The pointer makes while Cycle until No Meet the conditions .
Leetcode3. Longest substring without repeating characters
Leetcode3. Longest substring without repeating characters
Given a string s , Please find out that there are no duplicate characters in it Longest substrings The length of .
Example 1:
Input : s = “abcabcbb”
Output : 3
explain : Because the longest substring without repeating characters is “abc”, So its length is 3.
Example 2:
Input : s = “bbbbb”
Output : 1
explain : Because the longest substring without repeating characters is “b”, So its length is 1.
Example 3:
Input : s = “pwwkew”
Output : 3
explain : Because the longest substring without repeating characters is “wke”, So its length is 3.
Please note that , Your answer must be Substring The length of ,“pwke” Is a subsequence , Not substring .
Tips :
0 <= s.length <= 5*104
s By the English letters 、 Numbers 、 Symbols and spaces
Two pointers left、right The initial values are assigned to 0, Give Way right The pointer traverses the string ,right Move back one space at a time , Check [left, right) Whether the string of the interval contains repeated characters , If there are repeated characters left Move one space to the right .
Check [left, right) There are several ways to determine whether the string of an interval contains repeated characters . the reason being that Substring without repeating elements , You can record with sets [left, right) The characters contained in the interval , Every time right Judge according to the set before moving right left Need to move right , Then press the new character . perhaps use map Record the characters in the interval , But the complexity of these two methods alone is O(n) perhaps O(logn), Not as good as the following method ( Reference comments area South Star bosses ):
Open an array last Record the last position of each character in the string ( Because it counts all strings , So the size is 128), Every time right Move one space to the right , according to last Array to see whether the new character is in the interval [left, right) in , If so, update left:
class Solution {
public:
int lengthOfLongestSubstring(string s) {
int n=s.length();
int left=0,right=0;
int MaxLen=0;
int last[128];
for(int i=0;i<128;i++) last[i]=-1; for(right=1;right<=n;right++){
char tmp=s[right-1]; if(last[tmp]>=left){
left=last[tmp]+1; } else{
MaxLen=MaxLen>(right-left) ? MaxLen:(right-left);
}
last[tmp]=right-1;
}
return MaxLen;
}
};

use last The method of array is applicable to Fewer statistical elements The subject of ( For example, there is only 128 Elements , The next question is not very practical ).
Leetcode219. There are duplicate elements II
Leetcode219. There are duplicate elements II
Give you an array of integers nums And an integer k , Determine whether there are two... In the array Different indexes i and j , Satisfy nums[i] == nums[j] And abs(i - j) <= k . If there is , return true ; otherwise , return false .
Example 1:
Input :nums = [1,2,3,1], k = 3
Output :true
Example 2:
Input :nums = [1,0,1,1], k = 1
Output :true
Example 3:
Input :nums = [1,2,3,1,2,3], k = 2
Output :false
Tips :
1 <= nums.length <= 105
-109 <= nums[i] <= 109
0 <= k <= 105
Law 1 : This can be used in the same way as the previous question last Array records nums[right] Where it was last seen , But because of -109 <= nums[i] <= 109 Constraints of , It is impossible to record such a pair of elements , So we use map Record :
class Solution {
public:
bool containsNearbyDuplicate(vector<int>& nums, int k) {
map<int,int> last;
for(int i=0;i<nums.size();i++){
if(last[nums[i]]>0 && (i+1-last[nums[i]])<=k){
return true;
}
last[nums[i]]=i+1; // from 0 Counting makes map Mistakenly believe that there is no
}
return false;
}
};

However, the slow batch … In fact, this topic is not No need to use map Orderly function of , Use unordered_map Can improve performance . for fear of 0 Failed to save element No. into the index , have access to map.count(number) The function of :
class Solution {
public:
bool containsNearbyDuplicate(vector<int>& nums, int k) {
unordered_map<int,int> last;
for(int i=0;i<nums.size();i++){
if(last.count(nums[i])>0 && (i-last[nums[i]])<=k){
return true;
}
last[nums[i]]=i;
}
return false;
}
};

Law two : However, the above methods do not even use the left pointer . Consider the length of k Sliding window of , Use the set to record the elements in the window :
class Solution {
public:
bool containsNearbyDuplicate(vector<int>& nums, int k) {
unordered_set<int> st;
int n=nums.size();
int left=0,right=0;
for(right=0;right<n;right++){
int cur=nums[right];
if(right<=k){
if(st.count(cur)>0) return true;
else st.insert(cur);
}
else{
st.erase(nums[left]);
left++;
if(st.count(cur)>0) return true;
else st.insert(cur);
}
}
return false;
}
};

Leetcode220. There are duplicate elements III
Leetcode220. There are duplicate elements III
Give you an array of integers nums And two integers k and t . Please judge whether there is Two different subscripts i and j, bring abs(nums[i] - nums[j]) <= t , At the same time, they are satisfied with abs(i - j) <= k .
Return if present true, There is no return false.
Example 1:
Input :nums = [1,2,3,1], k = 3, t = 0
Output :true
Example 2:
Input :nums = [1,0,1,1], k = 1, t = 2
Output :true
Example 3:
Input :nums = [1,5,9,1,5,9], k = 2, t = 3
Output :false
Tips :
0 <= nums.length <= 2*104
-231 <= nums[i] <= 231 - 1
0 <= k <= 104
0 <= t <= 231 - 1
Law 1 : If you directly enumerate subscripts with double pointers, the search will timeout :
class Solution {
public:
bool containsNearbyAlmostDuplicate(vector<int>& nums, int k, int t) {
int n=nums.size();
int right=0;
for(int i=0;i<n;i++){
right=i+1;
while(right<n && right-i<=k){
if(abs(long(nums[right])-long(nums[i]))<=t) return true;
right++;
}
}
return false;
}
};

however Will array Sort and Record subscripts , Then enumerate elements through double pointers , You can barely pass :
class Solution {
public:
void merge_sort(vector<int>& nums,vector<int>& index,int left,int right){
if(left>=right) return;
int mid=(left+right)/2;
merge_sort(nums,index,left,mid);
merge_sort(nums,index,mid+1,right);
vector<int> tmp(right-left+1);
vector<int> tmp_index(right-left+1);
int ptr1=left,ptr2=mid+1;
int pos=0;
while(ptr1<=mid && ptr2<=right){
if(nums[ptr1]<=nums[ptr2]){
tmp_index[pos]=index[ptr1];
tmp[pos++]=nums[ptr1++];
}else{
tmp_index[pos]=index[ptr2];
tmp[pos++]=nums[ptr2++];
}
}
while(ptr1<=mid){
tmp_index[pos]=index[ptr1];
tmp[pos++]=nums[ptr1++];
}
while(ptr2<=right){
tmp_index[pos]=index[ptr2];
tmp[pos++]=nums[ptr2++];
}
for(int i=left;i<=right;i++){
nums[i]=tmp[i-left];
index[i]=tmp_index[i-left];
}
return;
}
bool containsNearbyAlmostDuplicate(vector<int>& nums, int k, int t) {
int n=nums.size();
vector<int> index(n);
for(int i=0;i<n;i++) index[i]=i;
merge_sort(nums,index,0,n-1);
int right=0;
for(int i=0;i<n;i++){
right=i+1;
while(right<n && long(nums[right])-long(nums[i])<=t){
if(abs(index[right]-index[i])<=k) return true;
right++;
}
}
return false;
}
};

This method is a kind of The next step , For use when there is no way to go .
Law two : Actually, I also want to use Leetcode219. There are duplicate elements II To solve this problem , Use a length of k Scrolling window traverses the array , The difficulty lies in How to integrate [nums[right]-t, nums[right]-t] Stored elements set Or search whether it is within the interval , If you traverse directly, it will definitely timeout .
Introduce... Here Ordered set set, And pass lower_bound(x) function Retrieve greater than or equal to x The position of the smallest element of , Then judge whether it is less than or equal to nums[right]-t Make another decision . Because an ordered set lower_bound(x) The function retrieves the event as O(logn), Therefore, the overall time complexity is optimistic .
It should be noted that , because -2^31 <= nums[i] <= 2^31 - 1 The limitation of , Use long Type conversion . In order to ensure that the calculation results do not overflow , Whole set Need to be defined as long type .

Here is AC Code :
class Solution {
public:
bool containsNearbyAlmostDuplicate(vector<int>& nums, int k, int t) {
int n=nums.size();
int left=0,right=0;
set<long> st;
for(right=0;right<n;right++){
int cur=nums[right];
long tmp1=long(cur)-long(t); // Otherwise it overflows
long tmp2=long(cur)+long(t);
if(right<=k){
auto it=st.lower_bound(tmp1);
if(it!=st.end() && *it<=tmp2) return true;
else st.insert(cur);
}
else{
st.erase(nums[left]);
left++;
auto it=st.lower_bound(tmp1);
if(it!=st.end() && *it<=tmp2) return true;
else st.insert(cur);
}
}
return false;
}
};

Leetcode209. Subarray with the smallest length
Leetcode209. Subarray with the smallest length
Given a containing n An array of positive integers and a positive integer target .
Find the sum of the array ≥ target The smallest length of Continuous subarray [numsl, numsl+1, …, numsr-1, numsr] , And return its length . If there is no sub array that meets the conditions , return 0 .
Example 1:
Input :target = 7, nums = [2,3,1,2,4,3]
Output :2
explain : Subarray [4,3] Is the smallest subarray in this condition .
Example 2:
Input :target = 4, nums = [1,4,4]
Output :1
Example 3:
Input :target = 11, nums = [1,1,1,1,1,1,1,1]
Output :0
Tips :
1 <= target <= 109
1 <= nums.length <= 105
1 <= nums[i] <= 105
With a double pointer left、right Point to a sliding window , The initial values are 0. use right Traversal array , Each time will be nums[right] Join in sum, if sum>=target Then update the minimum length . And then left The pointer keeps moving right until sum<target , This process also requires updating the minimum length :
class Solution {
public:
int minSubArrayLen(int target, vector<int>& nums) {
int sum=0;
int left=0,right=0;
int MinLen=INT_MAX;
for(right=0;right<nums.size();right++){
sum+=nums[right];
while(sum>=target){
MinLen=MinLen<(right-left+1) ? MinLen:(right-left+1);
sum-=nums[left];
left++;
}
}
if(MinLen==INT_MAX) return 0;
else return MinLen;
}
};

Leetcode424. The longest repeated character after replacement
Leetcode424. The longest repeated character after replacement
Give you a string s And an integer k . You can select any character in the string , And change it to any other uppercase English characters . This operation can be performed up to k Time .
After doing this , Returns the length of the longest substring containing the same letter .
Example 1:
Input :s = “ABAB”, k = 2
Output :4
explain : With two ’A’ Replace with two ’B’, vice versa .
Example 2:
Input :s = “AABABBA”, k = 1
Output :4
explain :
Will the middle one ’A’ Replace with ’B’, The string changes to “AABBBBA”.
Substring “BBBB” There is the longest repeating letter , The answer for 4.
Tips :
1 <= s.length <= 105
s It consists of only capital English letters
0 <= k <= s.length
use right The pointer traverses the string , but left The pointer will only move to the right one grid at a time or will not move , To maintain the longest interval ( That is, the length of the substring ). The beauty of this method is right-left+1 Will only continue to grow or remain unchanged , Used in the process of backward search Only look for situations that may be better than the known optimal solution .
The sliding window [left, right] The enclosed interval is the currently searched string , Using arrays int letter[26] Record the number of letters in the interval . For the string corresponding to the interval , The character with the highest frequency will not be replaced , Other characters need to be in k Within the limits of , Remember that the highest frequency is c, It can be used right-left+1-c Indicates the number of times other characters need to be replaced .
Every time right++ Use the current letter[s[right]-'A'] and The highest frequency of a character at present Compare , It is used to judge the highest frequency of a character in the range so far . This operation may cause [left, right] The inner substring does not meet the requirements , But it doesn't matter , Because the basis of search is better than the known optimal solution , For solutions that do not meet the conditions , do left++ It can make the current solution the same as the optimal solution without exceeding .
class Solution {
public:
int characterReplacement(string s, int k) {
int letter[26]={
0};
int n=s.length();
int left=0,right=0;
int Max_freq=0;
for(right=0;right<n;right++){
letter[s[right]-'A']++;
Max_freq=Max_freq>letter[s[right]-'A'] ? Max_freq:letter[s[right]-'A'];
if(right-left+1-Max_freq>k){
letter[s[left]-'A']--;
left++;
}
}
return right-left;
}
};

Leetcode
边栏推荐
猜你喜欢

LeetCode #557.反转字符串中的单词 III

Add time series index to two-dimensional table

Leetcode 344. reverse string

Encapsulation - Super keyword

LeetCode #977.有序数组的平方

NoClassDefFoundError 处理

模型空间下的旋转和世界空间下的旋转

2022暑初二信息竞赛学习成果分享1
![[beauty of software engineering - column notes] 13 | how to break the rhythm of writing code during daytime meetings and overtime?](/img/e2/56234084d0cfad6906f9e84212182a.png)
[beauty of software engineering - column notes] 13 | how to break the rhythm of writing code during daytime meetings and overtime?

官方教程 Redshift 03 各种GI的参数和常规使用说明
随机推荐
Official tutorial redshift 05 system parameter detailed explanation
官方教程 Redshift 01 基础理论知识和基础特性学习
Unity中简单的matcap+fresnel shader的实现
Unity初学1——角色移动控制(2d)
Encapsulation - Super keyword
Leetcode 344. reverse string
爬取表情包
顺序表和链表
LeetCode #557.反转字符串中的单词 III
官方教程 Redshift 05 AOVs
MySQL interview questions
官方教程 Redshift 05 system参数详细解释
NoClassDefFoundError 处理
Linked list -------------------------- tail insertion method
LeetCode #9.回文数
Markdown and typora
寒假集训总结 (1.23~1.28) [第一梯队]
Abstract encapsulation inheritance polymorphism
Unity中简单的cubecap+fresnel shader的实现
循环链表和双向链表
Input :head = [3,2,0,-4], pos = 1
