当前位置:网站首页>#141 Linked List Cycle
#141 Linked List Cycle
2022-06-12 20:57:00 【yoyooyooo】
Description
Given head, the head of a linked list, determine if the linked list has a cycle in it.
There is a cycle in a linked list if there is some node in the list that can be reached again by continuously following the next pointer. Internally, pos is used to denote the index of the node that tail’s next pointer is connected to. Note that pos is not passed as a parameter.
Return true if there is a cycle in the linked list. Otherwise, return false.
Example
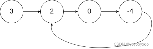
Example 1:
Input: head = [3,2,0,-4], pos = 1
Output: true
Explanation: There is a cycle in the linked list, where the tail connects to the 1st node (0-indexed).
Example 2:
Input: head = [1,2], pos = 0
Output: true
Explanation: There is a cycle in the linked list, where the tail connects to the 0th node.
Example 3:
Input: head = [1], pos = -1
Output: false
Explanation: There is no cycle in the linked list.
Constraints:
The number of the nodes in the list is in the range [0, 1 0 4 10^4 104].
− 1 0 5 -10^5 −105 <= Node.val <= 1 0 5 10^5 105
pos is -1 or a valid index in the linked-list.
Follow up: Can you solve it using O(1) (i.e. constant) memory?
思路
设置两个指针,一个指针每次往后走1格,另一个指针每次往后走2格,如果存在环的话,这两个指针总有一天会相同
代码
/** * Definition for singly-linked list. * class ListNode { * int val; * ListNode next; * ListNode(int x) { * val = x; * next = null; * } * } */
public class Solution {
public boolean hasCycle(ListNode head) {
if (head == null)
return false;
if (head.next == null)
return false;
ListNode pointer1 = head.next;
ListNode pointer2 = pointer1.next;
while(pointer2 != null && pointer2.next != null) {
if (pointer1 == pointer2)
return true;
pointer1 = pointer1.next;
pointer2 = pointer2.next.next;
}
return false;
}
}
边栏推荐
- China hydraulic press market trend report, technical innovation and market forecast
- Before job hopping, Jin San made up the interview questions. Jin San successfully landed at Tencent and got a 30K test offer
- Delphi XE7的蓝牙 Bluetooth
- 大小端转换
- Nexus3搭建本地仓库
- Lua pattern matching
- Draw according to weight
- The year of the outbreak of financial innovation! All dtinsight products of kangaroo cloud data stack have passed the special test of Xinchuang of ICT Institute
- Deploy etcd cluster in static pod mode
- Restful API 接口规范
猜你喜欢

半路自学测试成功转行,第一份测试工作就拿10k

2022年春招,测试工程师全套面试攻略,一篇吃透全部技术栈(全是干货)

leetcode:210. 課程錶 II

Zhangqiming, vice director of the United Front Work Department of the CPC Anhui Provincial Committee, led a team to investigate the HoloNet Royal Hefei R & D base

Is it really possible to find a testing job with a monthly income of more than 10000 without a degree and self-study software testing?

A Zhu and Xu Baobao's high-rise game - difference

Illustrator tutorial, how to recolor artwork in illustrator?

Product Manager: "click here to jump to any page I want to jump" -- decoupling efficiency improving artifact "unified hop routing"

跳槽前恶补面试题,金三成功上岸腾讯,拿到30k的测开offer

Algorinote_ 2_ Main theorem and Akra bazzi theorem
随机推荐
How mysterious is "PIP not an internal or external command, nor a runnable program or batch file"
Properties to YML
Lua pattern matching
Unauthorized rce in VMware vCenter
Delphi XE7的蓝牙 Bluetooth
Successful transition from self-study test halfway, 10K for the first test
Can flush open an account? Can you directly open the security of securities companies on the app? How to open an account online when buying stocks
Restful API 接口规范
Why my order by create_ Time ASC becomes order by ASC
What are the disadvantages of bone conduction earphones? Analysis of advantages and disadvantages of bone conduction earphones
Go -- monitor file changes
[live streaming] understand the design of d3js and learn how to read the source code.
GPU giant NVIDIA suffered a "devastating" network attack, and the number one malware shut down its botnet infrastructure | global network security hotspot on February 28
Lightroom Ambassador series: capturing nostalgia with MEG loeks
China hydraulic press market trend report, technical innovation and market forecast
View 的事件分发机制
Shell language
Composer version degradation
Research Report on hydraulic injection machine industry - market status analysis and development prospect forecast
Inrelease: the following signature cannot be verified because there is no public key: no_ PUBKEY EB3E94ADBE1229CF