当前位置:网站首页>DLA model (classification model + improved segmentation model) + deformable convolution
DLA model (classification model + improved segmentation model) + deformable convolution
2022-06-26 21:50:00 【BIT_ Legend】
Deep Layer Aggregation (DLA) It is a network feature fusion method , Published in CVPR 2018. Compared with the traditional convolution network in series , Its typical feature is the deep integration of different levels , Compared with FPN and PAN structure , comparison Desnet The dense connection , Its connection mode is more complex and comprehensive . The paper contains two networks , One is DLA Feature extraction model , Can be used as classification model and detection model backbone, The second network is in DLA Add a... On the basis of decoder modular , Form a segmentation model , Is equivalent to DLA regard as encoder.
stay CenterFusion Multisensor fusion model (WACV2021) in , The author improved DLA Segmentation model , Deformable convolution is introduced , Also on decoder The fine-tuning , Set the DLAseg Model , Later, the model was used in other applications , for example LaneAF Lane line detection (IEEE Robotics and Automation Letters 2021) etc. .
This article is mainly to introduce DLAseg Model , Before that, deformable convolution and basic DLA Model .
The paper :https://arxiv.org/pdf/1707.06484.pdf
Code :https://github.com/ucbdrive/dla
One 、 Deformable convolution
1. Common convolution types
With the development of deep learning technology , In addition to conventional convolution , There are many other types of convolutions , For example, deconvolution (Deconv)、 Cavity convolution (dilated conv)、 Deformable convolution (Deformable convolution)、 Deformable convolution kernel convolution (Deformable Kernels) etc. .
deconvolution
Deconvolution is to insert between and outside each row and column of the convoluted matrix padding value ( It's usually 0), To expand the convoluted matrix , Then perform the normal convolution . The most common scenario for deconvolution is upsampling, That is, increase the image size . In target detection FPN and PAN In the up sampling of the structure , In the split model decoder In upsampling , Often used to .
Cavity convolution
Hole convolution is to expand the convolution kernel while keeping the number of convolution kernel parameters unchanged , Equivalent to in convolution kernel padding Some values to increase the convolution kernel size , Under the same parameter quantity , The purpose of increasing receptive field . The schematic diagram is shown in the figure below

2. Deformable convolution
Deformable convolution has two generations , The first generation is Microsoft Research Asia ICCV 2017 A paper published on , The second generation is also published by Microsoft Research Asia . Compared with the first generation, the second generation adds a trainable weight factor .
First generation deformable convolution (DCN v1) The schematic diagram of is as follows :

Deformable convolution, as the name suggests, is that the position of convolution is deformable , Not in the traditional N × N Do convolution on the grid , The advantage of this is to extract the features we want more accurately ( The traditional convolution can only extract the features of rectangular boxes ), In the picture above , The traditional convolution on the left obviously does not extract the features of the complete sheep , The deformable convolution on the right extracts the complete features of irregular sheep . In the reasoning of deformable convolution , The parameter value of convolution kernel does not change , What changes is the position of each parameter in the convolution kernel , It is equivalent to obtaining an offset matrix with the same parameters as the convolution kernel in advance for each convolution , Adjust the convoluted value through the offset matrix , Then conventional convolution with convolution kernel .
The implementation of deformable convolution is shown in the following figure

The input characteristic graph is input feature map( Assume channel=1), First, through a newly added convolution layer ( The upper layer in the picture ), A new characteristic graph is obtained by convolution (channel=2), The characteristic graph is the total offset matrix , The two values on each spatial position represent the offset of the spatial position , Then when we do a convolution calculation ( Assume 3×3) when , Find the space covered by the current convolution calculation in the total offset matrix (3×3), Then the offset matrix with the same parameters as the convolution kernel is obtained (3×3), Then through the offset matrix (3×3) The convoluted matrix is obtained by bilinear interpolation in the input characteristic graph (3×3), Finally, through the convoluted matrix (3×3) And convolution kernel (3×3) A convolution output value is obtained by conventional convolution calculation . Note that during the whole operation , The parameter quantity and arrangement position of convolution kernel do not change , It is only the convoluted matrix that changes position . The shape and size of the receptive field can be modified through the above operations .

Found by test , When green dot ( Convolution output point ) When it comes to goals , The red dot is also concentrated in the target location , And it can basically cover targets of different sizes , So after deformable convolution , It can better extract the complete features of the object of interest , The effect is very good .
In addition to deformable convolution , The authors also propose deformable pooling 【0】【1】【2】, But there are fewer applications for deformable pooling , There is no description here .
DCN v1 That sounds good , But there are also problems , Deformable convolution may introduce useless context ( Area ) To interfere with feature extraction , This will obviously reduce the performance of the algorithm . That is to say, the size of the convoluted matrix may be expanded greatly , And then introduce a lot of invalid information . The solution is the second generation deformable convolution (DCN v2), A new weight matrix is added , in general ,DCN v1 Introduced in offset It's the location of the area to find valid information ,DCN v2 The weight coefficient is introduced to give weight to the position found , These two aspects ensure the accurate extraction of effective information . The weight matrix is obtained in the same way as the offset matrix , Simple speak 2 Channel convolution is modified to 3 Channel convolution is sufficient .
A new training method for two-stage target detection algorithm is also proposed in this paper 【0】【1】, The author thinks that in the training process of the second stage of the traditional two-stage target detection algorithm , When the network is in a proposel Forward reasoning within the scope , Its actual receptive field is much larger than the target range , This may introduce too much background noise , The solution is to add a new parallel model , The input of this model is this proposel The corresponding range on the input picture , In this way, the background interference is eliminated , Make the output styles of the two models match as much as possible during training , So as to reduce the background interference received by the second stage target detection algorithm . It should be noted that , The purpose here is not to simply eliminate all background information, but to eliminate useless background interference , Useful background information is needed , In many cases , There must be background information when judging the target type and location .

3. Deformable convolution kernel convolution
It says , During the implementation of deformable convolution , The parameter quantity and arrangement position of convolution kernel do not change , It is only the convoluted matrix that changes position . stay ICLR 2020 A new paper has been published in cooperation with Microsoft Asia Research Institute 【3】, This paper realizes deformable convolution kernel convolution , What this paper modifies is the arrangement position of convolution kernel , Instead of the positions of the elements in the convoluted matrix , The implementation schematic diagram is as follows :

Two 、DLA Model
CNN It provides a good solution for a variety of computer vision tasks . With the more stringent pursuit of high-performance algorithms for visual tasks ,Backbone The design of has become a very important theme .
More nonlinear operation 、 Larger networks tend to improve model performance ,bottleneck、residual block、concatenative connection And so on , It further enhances the performance and realizability of the network , The network architecture has also evolved from the initial serial connection to include skip connection In the form of .
But the current popular skip connection The structure is too single , stay DLA Designed in IDA(Iterative Deep Aggregation) and HDA(Hierarchical Deep Aggregation) Two structures , As a pair of skip connection An extension of , It can better integrate semantic and spatial features .
1. The basic structure
For the sake of narration , The author will CNN The architecture is divided into modules ,1 individual CNN By multiple stage form ,1 individual stage By multiple block form , Every block Contains multiple layer. Corresponding to DLA In the paper , In order to build many different size Model of , In this paper, many different block, these block They are used by any one of them , Generally, a network structure only uses one block, for example DLA34 The model uses the simplest block, these block Its structure is also relatively simple , It's simple resnet Structural blocks . stay DLA One of the more troublesome aspects of stage( Or called level) in , Use HDA The structure is different block Information fusion , In different stage( Or called level) Between , Use IDA The structure is different stage Information fusion .

IDA The structure diagram of is shown in the above figure , The long black rectangle is stage, therefore IDA For different stage Information fusion .

HDA The structure diagram of is shown in the above figure , The black square is block, therefore HDA For different block Information fusion ,HDA Its structure has undergone two evolutions 【4】【5】, To improve operational efficiency , The original structure is a hierarchical iterative structure similar to a pyramid , The final structure is an iterative structure in series , It's not easy to understand here , We will talk about it later in the code section , Otherwise, it is difficult to understand the code .
2. DLA Classification model backbone

DLA The overall structure of the is shown in the figure above , The red boxes represent different stage( Or called level), The yellow line forms IDA structure , The structure in the red box is HDA structure . The whole structure is a standard feature extraction structure , It can be used as a reference for any classification model and detection model backbone. What needs to be understood here is that each HDA The structure is not a hierarchical iterative structure, but a serial iterative structure 【6】【7】. For example, in level=1 Of stage in , Are the two block concatenated , Then each block The outputs of are fused together ; stay level=2 Of stage in , Are the two level=1 Serial connection of the structure of , It's just the first one level=1 Compared with the second level=1 Two inputs are missing from the green box of the structure ( One is the yellow line , One is the first line below the yellow line ), In the code, you actually put these two inputs into a file named children List of , At this point, you can think of the first level=1 There is also a structure called children List input for , It's just that the list is empty , In that case, two level=1 The structure of is exactly the same , At this point, it is easier to understand level=2 The structure of is actually two level=1 Serial connection of the structure of , Then we can see level=3 The structure of is actually two level=2 Serial connection of the structure of . After understanding this serial connection, you can understand the code structure .
DLA34 Code :
import os
import math
import numpy as np
import torch
from torch import nn
import torch.utils.model_zoo as model_zoo
from mmcv.ops import DeformConv2dPack as DCN
BN_MOMENTUM = 0.1
# Download model weights
def get_model_url(data='imagenet', name='dla34', hash='ba72cf86'):
return os.path.join('http://dl.yf.io/dla/models', data, '{}-{}.pth'.format(name, hash))
# build dla One of the basic modules of , optional
class BasicBlock(nn.Module):
def __init__(self, inplanes, planes, stride=1, dilation=1):
super(BasicBlock, self).__init__()
self.conv1 = nn.Conv2d(inplanes, planes, kernel_size=3, stride=stride, padding=dilation, bias=False, dilation=dilation)
self.bn1 = nn.BatchNorm2d(planes, momentum=BN_MOMENTUM)
self.relu = nn.ReLU(inplace=True)
self.conv2 = nn.Conv2d(planes, planes, kernel_size=3, stride=1, padding=dilation, bias=False, dilation=dilation)
self.bn2 = nn.BatchNorm2d(planes, momentum=BN_MOMENTUM)
self.stride = stride
def forward(self, x, residual=None):
if residual is None:
residual = x
out = self.conv1(x)
out = self.bn1(out)
out = self.relu(out)
out = self.conv2(out)
out = self.bn2(out)
out += residual
out = self.relu(out)
return out
# build dla One of the basic modules of , optional
class Bottleneck(nn.Module):
expansion = 2
def __init__(self, inplanes, planes, stride=1, dilation=1):
super(Bottleneck, self).__init__()
expansion = Bottleneck.expansion
bottle_planes = planes // expansion
self.conv1 = nn.Conv2d(inplanes, bottle_planes, kernel_size=1, bias=False)
self.bn1 = nn.BatchNorm2d(bottle_planes, momentum=BN_MOMENTUM)
self.conv2 = nn.Conv2d(bottle_planes, bottle_planes, kernel_size=3, stride=stride, padding=dilation, bias=False, dilation=dilation)
self.bn2 = nn.BatchNorm2d(bottle_planes, momentum=BN_MOMENTUM)
self.conv3 = nn.Conv2d(bottle_planes, planes, kernel_size=1, bias=False)
self.bn3 = nn.BatchNorm2d(planes, momentum=BN_MOMENTUM)
self.relu = nn.ReLU(inplace=True)
self.stride = stride
def forward(self, x, residual=None):
if residual is None:
residual = x
out = self.conv1(x)
out = self.bn1(out)
out = self.relu(out)
out = self.conv2(out)
out = self.bn2(out)
out = self.relu(out)
out = self.conv3(out)
out = self.bn3(out)
out += residual
out = self.relu(out)
return out
# build dla One of the basic modules of , optional
class BottleneckX(nn.Module):
expansion = 2
cardinality = 32
def __init__(self, inplanes, planes, stride=1, dilation=1):
super(BottleneckX, self).__init__()
cardinality = BottleneckX.cardinality
# dim = int(math.floor(planes * (BottleneckV5.expansion / 64.0)))
# bottle_planes = dim * cardinality
bottle_planes = planes * cardinality // 32
self.conv1 = nn.Conv2d(inplanes, bottle_planes,
kernel_size=1, bias=False)
self.bn1 = nn.BatchNorm2d(bottle_planes, momentum=BN_MOMENTUM)
self.conv2 = nn.Conv2d(bottle_planes, bottle_planes, kernel_size=3,
stride=stride, padding=dilation, bias=False,
dilation=dilation, groups=cardinality)
self.bn2 = nn.BatchNorm2d(bottle_planes, momentum=BN_MOMENTUM)
self.conv3 = nn.Conv2d(bottle_planes, planes,
kernel_size=1, bias=False)
self.bn3 = nn.BatchNorm2d(planes, momentum=BN_MOMENTUM)
self.relu = nn.ReLU(inplace=True)
self.stride = stride
def forward(self, x, residual=None):
if residual is None:
residual = x
out = self.conv1(x)
out = self.bn1(out)
out = self.relu(out)
out = self.conv2(out)
out = self.bn2(out)
out = self.relu(out)
out = self.conv3(out)
out = self.bn3(out)
out += residual
out = self.relu(out)
return out
# dla The basic module of , The function is to aggregate multiple input tensors , First, connect the channel dimensions , Then add convolution +BN, Optional short links
class Root(nn.Module):
def __init__(self, in_channels, out_channels, kernel_size, residual):
super(Root, self).__init__()
self.conv = nn.Conv2d(
in_channels, out_channels, 1,
stride=1, bias=False, padding=(kernel_size - 1) // 2)
self.bn = nn.BatchNorm2d(out_channels, momentum=BN_MOMENTUM)
self.relu = nn.ReLU(inplace=True)
self.residual = residual
def forward(self, *x):
children = x
x = self.conv(torch.cat(x, 1))
x = self.bn(x)
if self.residual:
x += children[0]
x = self.relu(x)
return x
# Whole dla The hardest part to understand , Realize in level or stage Various internal features are integrated ,levels=1,2,3( Not level) Three red boxes of different sizes corresponding to the schematic diagram in the paper , Namely 1,2,3 Class structure
# levels=1 It can be seen that there are two convolution modules connected in series , Be sure to pay attention to the serial connection rather than the upper and lower levels , Serial output is the final output , constitute 1 Class structure
# levels=2 You can see two 1 Serial connection result of stage structure , Be sure to pay attention to the serial connection rather than the upper and lower levels , Serial output is the final output , constitute 2 Class structure
# levels=3 You can see two 2 Serial connection result of stage structure , Be sure to pay attention to the serial connection rather than the upper and lower levels , Serial output is the final output , constitute 3 Class structure
# from 2 level 3 In terms of the level structure , When the sub level structures are connected in series , The preceding child structure has two less inputs than the following child structure , Or two inputs of the previous child structure are null , In this way, the front and rear child structures are consistent
class Tree(nn.Module): # levels It is a sub structure of several levels ,block It's the basic module ,level_root Judge whether there is IDA structure , That is, the Yellow connecting line in the diagram
def __init__(self, levels, block, in_channels, out_channels, stride=1,
level_root=False, root_dim=0, root_kernel_size=1, dilation=1, root_residual=False):
super(Tree, self).__init__()
if root_dim == 0:
root_dim = 2 * out_channels
if level_root:
root_dim += in_channels
if levels == 1:
self.tree1 = block(in_channels, out_channels, stride, dilation=dilation)
self.tree2 = block(out_channels, out_channels, 1, dilation=dilation)
else:
self.tree1 = Tree(levels - 1, block, in_channels, out_channels, stride, root_dim=0,
root_kernel_size=root_kernel_size, dilation=dilation, root_residual=root_residual)
self.tree2 = Tree(levels - 1, block, out_channels, out_channels, root_dim=root_dim + out_channels,
root_kernel_size=root_kernel_size, dilation=dilation, root_residual=root_residual)
if levels == 1:
self.root = Root(root_dim, out_channels, root_kernel_size, root_residual)
self.level_root = level_root
self.root_dim = root_dim
self.downsample = None
self.project = None
self.levels = levels
if stride > 1:
self.downsample = nn.MaxPool2d(stride, stride=stride)
if in_channels != out_channels:
self.project = nn.Sequential(
nn.Conv2d(in_channels, out_channels, kernel_size=1, stride=1, bias=False),
nn.BatchNorm2d(out_channels, momentum=BN_MOMENTUM))
def forward(self, x, residual=None, children=None):
children = [] if children is None else children
bottom = self.downsample(x) if self.downsample else x
residual = self.project(bottom) if self.project else bottom
if self.level_root:
children.append(bottom)
x1 = self.tree1(x, residual)
if self.levels == 1:
x2 = self.tree2(x1)
x = self.root(x2, x1, *children) # The green aggregation points in the diagram are root modular , This is not very easy to understand
else:
children.append(x1)
x = self.tree2(x1, children=children)
return x
# build dla Of backbone
class DLA(nn.Module):
def __init__(self, levels, channels, num_classes=1000, block=BasicBlock, residual_root=False, linear_root=False):
super(DLA, self).__init__()
self.channels = channels
self.num_classes = num_classes
self.base_layer = nn.Sequential(
nn.Conv2d(3, channels[0], kernel_size=7, stride=1, padding=3, bias=False),
nn.BatchNorm2d(channels[0], momentum=BN_MOMENTUM),
nn.ReLU(inplace=True))
self.level0 = self._make_conv_level(channels[0], channels[0], levels[0])
self.level1 = self._make_conv_level(channels[0], channels[1], levels[1], stride=2)
self.level2 = Tree(levels[2], block, channels[1], channels[2], 2, level_root=False, root_residual=residual_root)
self.level3 = Tree(levels[3], block, channels[2], channels[3], 2, level_root=True, root_residual=residual_root)
self.level4 = Tree(levels[4], block, channels[3], channels[4], 2, level_root=True, root_residual=residual_root)
self.level5 = Tree(levels[5], block, channels[4], channels[5], 2, level_root=True, root_residual=residual_root)
# Conventional convolution module , Used to build level0 and level1
def _make_conv_level(self, inplanes, planes, convs, stride=1, dilation=1):
modules = []
for i in range(convs):
modules.extend([
nn.Conv2d(inplanes, planes, kernel_size=3, stride=stride if i == 0 else 1, padding=dilation, bias=False, dilation=dilation),
nn.BatchNorm2d(planes, momentum=BN_MOMENTUM),
nn.ReLU(inplace=True)])
inplanes = planes
return nn.Sequential(*modules)
# Every level Record the output tensor ,6 individual level It is connected in series
def forward(self, x):
y = []
x = self.base_layer(x)
for i in range(6):
x = getattr(self, 'level{}'.format(i))(x)
y.append(x)
return y
# Restore weight file , The default is online download
def load_pretrained_model(self, data='imagenet', name='dla34', hash='ba72cf86'):
if name.endswith('.pth'):
model_weights = torch.load(data + name)
else:
model_url = get_model_url(data, name, hash)
model_weights = model_zoo.load_url(model_url)
num_classes = len(model_weights[list(model_weights.keys())[-1]])
self.fc = nn.Conv2d(self.channels[-1], num_classes, kernel_size=1, stride=1, padding=0, bias=True)
self.load_state_dict(model_weights) # actual fc Not used , Just to ensure the consistency between the model and the weight file length when recovering the weight
# self.fc = fc
# build dla34 Of backbone
def dla34(pretrained=True, **kwargs):
model = DLA([1, 1, 1, 2, 2, 1],
[16, 32, 64, 128, 256, 512],
block=BasicBlock, **kwargs)
if pretrained:
model.load_pretrained_model(data='imagenet', name='dla34', hash='ba72cf86')
return model3. DLA Segmentation model
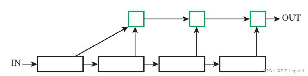
It describes DLA Of backbone Structure , If this backbone As encoder, Add another decoder structure 【4】, You can implement a segmentation model , In the paper decoder The structure is shown in the following figure :

Above picture , The long black rectangular box is stage, So it's building backbone It is necessary to record every stage Output , See the author's code for specific implementation methods , The code implementation method is exactly the same as the above figure , It should be noted that there is a class named IDAUp, It is used to realize the calculation of right triangle from small to large in the figure above , This class needs to calculate 4 You can get the final output once , The first is to calculate the minimum right triangle containing a yellow line , Get the next sample 16 Times the output , The second is to calculate the minor right triangle with two yellow lines , Get the next sample 8 Times the output , And so on , Calculation 4 The lower sample is obtained after times 2 Times the output .
4. be based on DLA34 An improved version of the segmentation model
stay CenterFusion Multisensor fusion model (WACV2021) in , The author improved DLA Segmentation model , Deformable convolution is introduced , Also on decoder The fine-tuning , Set the DLAseg Model 【6】【7】.DLAseg Model backbone or encoder With native DLA The structure is exactly the same ,decoder Compared with the original structure, it has made three fine adjustments . The first fine-tuning is the original IDAUp Class in DLA It is calculated in this paper 4 Get down sampling times 2 Times the output , Here is the calculation 3 Get down sampling times 4 Times the output ; The second fine-tuning is to get down sampling 4 Times the output , Again ***** Class calculation , But this calculation is not to calculate the hypotenuse of the largest right triangle , But along the vertical side of a right triangle , This calculation does not improve the resolution , Instead, it will be down sampled 32、16、8、4 Fold the output again , It is equivalent to adding a fusion layer ; The third is to replace partial convolution with deformable convolution . The final output is down sampling 4 Times the picture .
DLA34seg Code :
# decoder part
#################################################################################################################################
# Split model decoder Partially deformable convolution
class DeformConv(nn.Module):
def __init__(self, chi, cho):
super(DeformConv, self).__init__()
self.actf = nn.Sequential(
nn.BatchNorm2d(cho, momentum=BN_MOMENTUM),
nn.ReLU(inplace=True)
)
self.conv = DCN(chi, cho, kernel_size=(3,3), stride=1, padding=1, dilation=1, deform_groups=1)
def forward(self, x):
x = self.conv(x)
x = self.actf(x)
return x
# Take the schematic diagram in the paper as an example , This class can be calculated clockwise along the hypotenuse of the right triangle in the lower right corner , after 3 The second cycle from small to large , In the schematic diagram, except for the largest right triangle on the first floor , Can complete the calculation
# In fact, this kind of essential function is to list Type input , Sampling separately list type up_f times , And then sum them in sequence ,list Type of channels Is the corresponding input list Number of channels , all list Equal length
class IDAUp(nn.Module):
# no.1: ida_0 -2 (256, [256, 512], [1, 2])
# no.2: ida_1 -3 (128, [128, 256, 256], [1, 2, 2])
# no.3: ida_2 -4 (64, [64, 128, 128, 128], [1, 2, 2, 2])
def __init__(self, o, channels, up_f): # o Is the initial calculation channel ,channels Is all the channels used in the calculation ,up_f Is the loading sample multiple of the channel used in the calculation
super(IDAUp, self).__init__() # no.1 no.2 no.3
for i in range(1, len(channels)): # 1 1 -- 2 1 -- 2 -- 3
c = channels[i] # 512 256 -- 256 128 -- 128 -- 128
f = int(up_f[i]) # 2 2 -- 2 2 -- 2 -- 2
proj = DeformConv(c, o) # (512,256) (256,128) -- (256,128) (128,64) -- (128,64) -- (128,64)
node = DeformConv(o, o) # (256,256) (128,128) -- (128,128) (64, 64) -- (64, 64) -- (64, 64)
# Deformable convolution is not used in the original paper , Instead, use ordinary convolution or nothing
up = nn.ConvTranspose2d(o, o, f * 2, stride=f, padding=f // 2, output_padding=0, groups=o, bias=False)
fill_up_weights(up)
# no.1 no.2 no.3
setattr(self, 'proj_' + str(i), proj) # 1 1 -- 2 1 -- 2 -- 3
setattr(self, 'up_' + str(i), up) # 1 1 -- 2 1 -- 2 -- 3
setattr(self, 'node_' + str(i), node) # 1 1 -- 2 1 -- 2 -- 3
# The running results are updated in List Of layers in , amount to layers Synchronized with the position of the right angle bevel # no.1 no.2 no.3
def forward(self, layers, startp, endp): # (,4,6) (,3,6) (,2,6)
for i in range(startp + 1, endp): # 5 4 -- 5 3 -- 4 -- 5
upsample = getattr(self, 'up_' + str(i - startp)) # 1 1 -- 2 1 -- 2 -- 3
project = getattr(self, 'proj_' + str(i - startp)) # 1 1 -- 2 1 -- 2 -- 3
layers[i] = upsample(project(layers[i])) # l5=2*l5 l4=2*l4 -- l5=2*l5 l3=2*l3 -- l4=2*l4 -- l5=2*l5
node = getattr(self, 'node_' + str(i - startp)) # 1 1 -- 2 1 -- 2 -- 3
layers[i] = node(layers[i] + layers[i - 1]) # l5=l5+l4 l4=l4+l3 -- l5=l5+l4 l3+=l2 -- l4+=l3 -- l5+=l4
# Take the right triangle at the lower right corner as the unit for calculation , after 3 Secondary cycle , Except for the largest layer of right triangle , All calculations are completed
# Take the schematic diagram in the paper as an example , This class can complete the calculation of all values in a right triangle , The calculation order is from small triangle to large triangle , Calculate clockwise along the beveled edge
class DLAUp(nn.Module):
# dla34: (2, [64, 128, 256, 512], [2, 4, 8, 16])
def __init__(self, startp, channels, scales, in_channels=None):
super(DLAUp, self).__init__()
self.startp = startp # 2
if in_channels is None:
in_channels = channels # [64, 128, 256, 512]
self.channels = channels # [64, 128, 256, 512]
channels = list(channels) # [64, 128, 256, 512]
scales = np.array(scales, dtype=int) # [2, 4, 8, 16]
for i in range(len(channels) - 1): # [0, 1, 2]
j = -i - 2 # [-2, -3, -4]
setattr(self, 'ida_{}'.format(i), # ida_0 -2 (256, [256, 512], [1, 2])
IDAUp(channels[j], in_channels[j:], # ida_1 -3 (128, [128, 256, 256], [1, 2, 2])
scales[j:] // scales[j])) # ida_2 -4 (64, [64, 128, 128, 128], [1, 2, 2, 2])
scales[j + 1:] = scales[j] # -2 [2, 4, 8, 8] || -3 [2, 4, 4, 4] || -4 [2, 2, 2, 2]
# -2 [64, 128, 256, 256] || -3 [64, 128, 128, 128] || -4 [64, 64, 64, 64]
in_channels[j + 1:] = [channels[j] for _ in channels[j + 1:]]
def forward(self, layers): # layers yes dla34 in backbone in 6 individual stage The output in , Only the first one stage No subsampling
out = [layers[-1]] # dla34 Middle and lower sampling 32 Times the output
for i in range(len(layers) - self.startp - 1): # 0 1 2
ida = getattr(self, 'ida_{}'.format(i)) # ida_0 ida_1 ida_2
ida(layers, len(layers) -i - 2, len(layers)) # (,4,6) (,3,6) (,2,6)
out.insert(0, layers[-1]) # Insert forward layers The last value in
return out # out What is recorded is the value from top to bottom of the vertical right angle side of the largest right triangle in the schematic diagram in the paper len(out)=4
## Build a complete model
#################################################################################################################################
def fill_fc_weights(layers):
for m in layers.modules():
if isinstance(m, nn.Conv2d):
if m.bias is not None:
nn.init.constant_(m.bias, 0)
def fill_up_weights(up):
w = up.weight.data
f = math.ceil(w.size(2) / 2)
c = (2 * f - 1 - f % 2) / (2. * f)
for i in range(w.size(2)):
for j in range(w.size(3)):
w[0, 0, i, j] = \
(1 - math.fabs(i / f - c)) * (1 - math.fabs(j / f - c))
for c in range(1, w.size(0)):
w[c, 0, :, :] = w[0, 0, :, :]
# build dla Segmentation model , The parameters in the current annotation section are based on dla34 Parameters for building the segmentation model
# Compared with the schematic diagram of the paper , Missing the outer right triangle hypotenuse , It is equivalent to that the resolution is only increased 3 Time , The final output resolution is the resolution of the input image 1/4,encoder The medium resolution is reduced in total 5 Time , The resolution is reduced 32 times
# Compared with the schematic diagram of the paper , There is an extra layer on the far right IDAUp structure , The purpose is to fuse the tensors of the three nodes from top to bottom of the vertical right angle edge of a right triangle , The final output resolution is still the resolution of the input image 1/4
class DLASeg(nn.Module):
def __init__(self, base_name, heads, pretrained, down_ratio, final_kernel, last_level, head_conv, out_channel=0):
super(DLASeg, self).__init__()
assert down_ratio in [2, 4, 8, 16] # down_ratio Is the down sampling multiple of the split output graph , Current output 1/4 times
self.first_level = int(np.log2(down_ratio)) # down_ratio=4 ==> first_level=2
self.last_level = last_level # last_level=5 (0~5)
self.base = globals()[base_name](pretrained=pretrained) # dla_34 len(out)=6
channels = self.base.channels # [16, 32, 64, 128, 256, 512]
scales = [2 ** i for i in range(len(channels[self.first_level:]))] # [2, 4, 8, 16]
# dla34: (2, [64, 128, 256, 512], [2, 4, 8, 16])
self.dla_up = DLAUp(self.first_level, channels[self.first_level:], scales) # This object can complete the calculation of all values in the right triangle in the schematic diagram of the paper
if out_channel == 0: out_channel = channels[self.first_level] # 64
# dla34: (64, [64, 128, 256], [1, 2, 4])
self.ida_up = IDAUp(out_channel, channels[self.first_level:self.last_level],
[2 ** i for i in range(self.last_level - self.first_level)])
# It's all head All share the same network part , contain encoder Of base part 、decoder Feature fusion part of 1 Of dla_up( From small to large in the schematic diagram of the thesis 3 Layer right triangle part ) and
# decoder Feature fusion part of 2 Of ida_up( There is no such layer in the original paper , In the paper dla_up And then there is fc Adjust the channel and then a deconvolution to improve the resolution )
#################################################################################################################
# The following are for different purposes head Build , It belongs to the parallel part connected to the front public network
self.heads = heads
for head in self.heads:
classes = self.heads[head]
if head_conv > 0:
fc = nn.Sequential(
nn.Conv2d(channels[self.first_level], head_conv, kernel_size=3, padding=1, bias=True),
nn.ReLU(inplace=True),
nn.Conv2d(head_conv, classes, kernel_size=final_kernel, stride=1, padding=final_kernel // 2, bias=True))
if 'hm' in head: # Need to follow their own head Make changes
fc[-1].bias.data.fill_(-2.19)
else:
fill_fc_weights(fc)
else:
fc = nn.Conv2d(channels[self.first_level], classes, kernel_size=final_kernel, stride=1,
padding=final_kernel // 2, bias=True)
if 'hm' in head:
fc.bias.data.fill_(-2.19)
else:
fill_fc_weights(fc)
self.__setattr__(head, fc)
# for name, param in self.base.named_parameters(): # frozen dla34 The backbone of
# param.requires_grad = False
def forward(self, x):
# encoder Of base part ,len(x)=6 Corresponding 6 individual level perhaps stage Output
x = self.base(x)
# decoder Feature fusion part of 1 Of dla_up( From small to large in the schematic diagram of the thesis 3 Layer right triangle part , Complete resolution from 1/32 --> 1/16 --> 1/8 --> 1/4 Feature decoding or fusion
x = self.dla_up(x)
# decoder Feature fusion part of 2 Of ida_up( There is no such layer in the original paper , In the paper dla_up And then there is fc Adjust the channel and then a deconvolution to improve the resolution )
y = []
for i in range(self.last_level - self.first_level):
y.append(x[i].clone())
self.ida_up(y, 0, len(y))
# For different purposes head part
z = {}
for head in self.heads:
z[head] = self.__getattr__(head)(y[-1])
return [z]
# Set up based on dla34 Segmentation model ,head_conv Is the number of intermediate channels in the output layer ,down_ratio Is the down sampling multiple of the output layer compared with the input graph
def DLASeg34(heads, num_layers=34, head_conv=256, down_ratio=4):
model = DLASeg('dla{}'.format(num_layers), heads,
pretrained=True,
down_ratio=down_ratio,
final_kernel=1,
last_level=5,
head_conv=head_conv)
return model
if __name__ == "__main__":
heads = {'hm': 1, 'vaf': 2, 'haf': 1}
dla34net = DLASeg34(heads).cuda()
input = torch.randn(2, 3, 480, 800).cuda()
output = dla34net(input)
print(output[0]["hm"].shape, output[0]["vaf"].shape, output[0]["haf"].shape)3、 ... and 、 Reference resources
【0】 Fully analytic deformable convolution family (DCN v1+ v2)
【1】 Deformation convolution :Deformable ConvNets
【2】MSRA DCN( Deformable convolution ) Algorithm notes
【3】 Deformable convolution series ( 3、 ... and ) Creative deformable convolution kernel | ICLR 2020
【4】DLA: A deep network feature fusion method
【5】DLA Interpretation of the thesis
边栏推荐
- numpy中mgrid的用法
- leetcode:710. Random numbers in the blacklist [mapping thinking]
- The latest 2022 research review of "continuous learning, CL"
- 股票炒股注册开户有没有什么风险?安全吗?
- Leetcode(122)——买卖股票的最佳时机 II
- leetcode:141. 环形链表【哈希表 + 快慢指针】
- VB.net类库,获取屏幕内鼠标下的颜色(进阶——3)
- Which securities company is the most convenient, safe and reliable for opening an account
- 【BUG反馈】WebIM在线聊天系统发消息时间问题
- Hands on deep learning pytorch version 3 - Data Preprocessing
猜你喜欢

QT环境下配置Assimp库(MinGW编译器)
![[LeetCode]-链表-2](/img/f7/9d4b01285fd6f7fa9f3431985111b0.png)
[LeetCode]-链表-2

宝藏又小众的覆盖物PBR多通道贴图素材网站分享

茂莱光学科创板上市:拟募资4亿 范一与范浩兄弟为实控人
![[leetcode]- linked list-2](/img/f7/9d4b01285fd6f7fa9f3431985111b0.png)
[leetcode]- linked list-2

Implementation of collaborative filtering evolution version neuralcf and tensorflow2

leetcode:6107. 不同骰子序列的数目【dp六个状态 + dfs记忆化】

API管理之利剑 -- Eolink

龙芯中科科创板上市:市值357亿 成国产CPU第一股

Background search, how to find the website background
随机推荐
Leetcode(452)——用最少数量的箭引爆气球
Implementation of collaborative filtering evolution version neuralcf and tensorflow2
【数学建模】基于matlab GUI随机节点的生成树【含Matlab源码 1919期】
会计要素包括哪些内容
Simple Lianliankan games based on QT
Android IO, a first-line Internet manufacturer, is a collection of real questions for senior Android interviews
MacOS環境下使用HomeBrew安裝[email protected]
Usage of MGrid in numpy
协同过滤进化版本NeuralCF及tensorflow2实现
y48.第三章 Kubernetes从入门到精通 -- Pod的状态和探针(二一)
SAP commerce cloud project Spartacus getting started
AI智能抠图工具--头发丝都可见
宝藏又小众的覆盖物PBR多通道贴图素材网站分享
curl: (35) LibreSSL SSL_connect: SSL_ERROR_SYSCALL in connection
在Flutter中解析复杂的JSON
Is there any risk in opening a new bond registration account? Is it safe?
Yolov6: the fast and accurate target detection framework is open source
leetcode:6107. 不同骰子序列的数目【dp六个状态 + dfs记忆化】
[leetcode]- linked list-2
leetcode:152. Product maximum subarray [consider DP of two dimensions]