当前位置:网站首页>Working principle analysis of deepsort
Working principle analysis of deepsort
2022-07-27 07:06:00 【Delin enbao】
Deepsort Working principle analysis
The source code parsing
deepsort Source code interpretation one
deepsort Source code interpretation 2
deepsort Source code interpretation 3
deepsort Source code interpretation 4
deepsort Source code interpretation V
deepsort Source code interpretation 6
deepsort Source code interpretation VII
One . Important implementation part
1. Kalman filtering
(1) The function of Kalman filter is to predict the next operation of the system according to the previous data of the system . Such as Kalman filter in deepsort The main function of is based on the detection frame in the previous frame ( There may be a lot of , Suppose one of the check boxes is A), Prediction detection box A Position in the current frame .
(2) When the system starts running , There is no previous frame , In order to realize the function of Kalman filter , The program will take the detection frame that meets the requirements in the first detected frame as a new tracking object (track).
What will happen when you create a new tracking object :
- Input parameters , The position coordinates of the detection box ( Center coordinate of detection frame [x,y], wide / high , high )
- Construct the tracking object 8 dimension mean Mean vector , The vector is composed of position coordinates and velocity , Also known as state vector . In the first frame mean The vector is [312.5,225,0.40277778,72,0,0,0,0].( The initial velocity is 0)
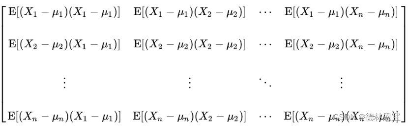
- Construct covariance matrix covariance, The function of this matrix is to coordinate mean The relationship between each parameter in , To represent the uncertain nature of the target location information , The larger the number in the matrix, the greater the uncertainty . from 8x8 The matrix representation of , The covariance matrix is also a diagonal matrix , It can be initialized with any value . It will be used in the calculation of Mahalanobis distance mentioned below , Used to consider uncertainty .
if mean =
be covariance =
Each of them track Of covariance The initial value of is set by the weight and the height of the detection box . - Assign other parameters ( It has nothing to do with Kalman filter ).
The newly established track Put into the tracking chain ( The tracking chain is used to store all predictions track). Pictured 1, The following 9 individual track Boxes are the positions of physical detection boxes in the first frame ( Also for the first frame track Location ).
chart 1
(3) When there is a previous frame in the tracking chain track when , The working mode of Kalman filter is as follows ( All of the previous frame track The following operations are required ).
- Every one of every frame track There are mean,covariance Parameters , These two parameters are introduced into the Kalman filter prediction function .
- In the Kalman filter prediction function , The new prediction can be obtained by implementing two mathematical equations mean and covariance( among F by 8x8 State transition matrix ). For the prediction of covariance matrix , Considering the uncertainty of external factors ( Such as tracking a four axis aircraft , It may be hit by the wind , Or pedestrians slip on ice or mud ), Add some new uncertainties after the prediction step , You can talk to “ The world ” Relevant uncertainties are modeled , For example, uncertain external factors are described as Gaussian noise with variance .
- Get a track And after , Update operation :
(1) Cascade operation and iou operation ;
(2) For matching track Update operation :
① Input track Of mean、covariance、 Check the position of the frame [ Central coordinates (x,y),w/h,h] Update function to Kalman filter ;
② After the output is corrected track Of mean And covariance. That is, the final position information of the detection frame is obtained in this frame .
There is a previous frame track when , Get the prediction based on the previous frame track And target detection box .
Pictured 2- chart 7 Shown , The red one is the target detection box , Other colors are predicted track box ( It is not updated and corrected in combination with the target detection box ).
chart 2 Frame 3
chart 3 The fourth frame
chart 4 Frame five
chart 5 Frame six
chart 6 The seventh frame
chart 7 Frame eight
Pictured 8 Shown , The red one is the target detection box , Other colors are predicted track Box is combined with the target detection box to update the modified box .
chart 8 Frame 3 
chart 9 The fourth frame 
chart 10 Frame five 
chart 11 Frame six 
chart 12 The seventh frame 
chart 13 Frame eight
2. Cascade matching
(1) Compared with ordinary sort Algorithm , stay IOU Match An additional cascade matching was done before , Take advantage of reid Appearance features and Mahalanobis distance track Frame and detection Box match .
① Reid The function of appearance features : By adding appearance features , It can handle tracking under longer occlusion [ After longer occlusion , The motion model may fail completely , Cannot associate detection, But if there is information provided by appearance features , It may also be related ], And reduce ID Switch .
② The role of Mahalanobis distance : Judge track Frame and detection The first four dimensions of the state vector of the box (center_x,center_y,w/h,h) The proximity of . Here's the picture 14, generally speaking , The distance of the object moving between the upper and lower frames will not be too far , So the closer the coordinates are, the more likely they are to be the same target .
chart 14( The figure comes from the network )
(2)Reid Appearance feature matching principle
In implementation , every last track Will put the same target in each frame feature preserved ( The feature extraction network consists of deepsort Medium deep Realization ), In order to calculate the i individual track Prediction box and j individual detection The appearance distance of the box . In calculation , I'm going to take each of them track All of the feature( every last track Saved feature The quantity can be set manually , By the parameter nn_budget Set up ) With all of the current frame detection Box to calculate the cost of matching , And store it in the matrix cost_matrix in ( The number of rows is track number , The number of columns is detection Number of frames ), The so-called cosine distance .
The calculation formula of cosine distance is 
, Is each detection The eigenvector of the box , yes track Eigenvector of . Because each track There are one or more eigenvectors , Then you need to combine each eigenvector with all detection The number of rows is calculated as track Number of eigenvectors , The number of columns is detection Matrix of the number of detection boxes . And then use it axis=0, Select the minimum value by column from the matrix , Then the number of rows returned is 1, The number of columns is detection Matrix of the number of boxes , As shown in the following figure ( Corresponding to the above figure 9、10)
initialization cost_matrix by 8x11 Matrix , Yes 8 individual track,11 individual detection box , Pictured 15 Shown 
chart 15
Put each one track The eigenvectors of are related to detection Calculate , first track Of facture The vector has 3 individual , Pictured 16 Shown 
chart 16
The calculation results are shown in the figure below 17 Shown 
chart 17
Then select the minimum value by column , The following figure is obtained 18 result 
chart 18
This is the first of the cosine distance cost matrix track With all detection The calculated distance of the box , Form the cost matrix cost_matrix The first line of , Then repeat the operation , Get all track And detection Cosine distance of the box , Here's the picture 19 Shown :
chart 19
(3) Mahalanobis distance calculation principle
Track Of mean、covariance, and detection Frame coordinates are used as input parameters for Mahalanobis distance calculation ; After calculation, the cost matrix will be updated according to Mahalanobis distance cost_matrix( If you remove the covariance matrix from the Mahalanobis distance , It degenerates into Euclidean distance ).
The calculation formula of the correlation measure of Mahalanobis distance is 
, It means the first one j individual detection Check box position , It means the first one i individual track The position of the box , Express detection Detection box and track Covariance matrix between frames . If the Mahalanobis distance of is greater than the specified threshold , Then ignore the detection Detection box and track Box Association , Think it doesn't match .
Examples are as follows :
take detection Frame and track Coordinates of the frame ( according to [center_x,center_y,w/h,h] Format ) Subtracting . chart 20 For one in a frame track Of mean value , chart 21 For all in this frame detection Frame coordinates , chart 22 For the sake of track Coordinates and all detection Difference of frame coordinates

chart 20
chart 21
chart 22The interpolation result will be obtained according to the calculation formula track With all detectiond Markov distance matrix of frame , Pictured 23 Shown .

chart 23Map 23 The obtained Mahalanobis distance matrix is threshold processed , Assign the value of Mahalanobis distance higher than the given threshold to infinity .
Based on the cosine distance after processing the track And detection Framed cost_matrix, Pictured 24 Shown .
chart 24
The threshold set in Mahalanobis distance determination is 9.4877, Map 23 The Mahalanobis distance in is in turn related to 9.4877 Compare , Will be greater than the threshold cost_matrix The corresponding position value in is set to infinity ( Here is 10 The fifth power of ), Here's the picture 25 Shown .
chart 25For all remaining track Repeat the above operation , Get the last cost_matrix Here's the picture 26 Shown .

chart 26
(4) obtain cost_matrix after , According to Hungarian algorithm from cost_matrix Find the best match in track Frame and detection box , Return matched track And detection box .
in general , Mahalanobis distance provides the possible location information of the target , Useful for short-term prediction ; Cosine distance is more concerned with the appearance characteristics of prediction information and trajectory information , When the displacement of the tracking object is small , After recovering long-term occlusion id Particularly useful .
3.Iou matching
After cascade matching, the remaining track And detection Box for iou matching ,iou The principle of is to divide the intersection area of two boxes by the Union area , Here's the picture 27:
chart 27
In order to achieve iou matching , Calculate as shown in the above figure , Get every one track Frame and detection Framed iou Value of the cost matrix cost_matrix. Similar to cascade processing , Ignore the cost matrix cost_matrix Is greater than the given threshold track And detection relation . Then the Hungarian matching algorithm , Get a matching track And detection.
Examples are as follows ( Take the third frame as an example ):
Initialize to 8x11 Of cost_matrix Cost matrix ,8 individual track Frame and 11 individual detection box , Pictured

chart 28take track Frame and detection The coordinates of the box are converted to (left_top_x,left_top_y,right_bottom_x,right_bottom_y), Then calculate each of the frames track Box and all in the frame detection Framed iou value , but cost_matrix Is stored in 1-iou value ,cost_matrix Here's the picture 29 Shown :

chart 29obtain cost_matrix After threshold processing ( This is set to 0.7), Set a value greater than the threshold to the threshold +, namely 0.70001, Get as shown 30 Shown cost_matrix:

chart 30Based on step 3 cost_matrix Again, the Hungarian algorithm is used for matching , Find the matching relationship with the minimum cost track And detection, Return matched track And detection Indexes .
Two .Deepsort Overall process
deepsort It is based on the existing detection target tracking algorithm .

The figure comes from the network
Preliminary knowledge
every last track There are two states confirmed And unconfirmed state ,confirmed State of track Can participate in cascade matching and iou matching ;unconfirmed State of track Only participate iou matching .
Initial track( New track) The status of is unconfirmed state .
unconfirmed State of track To confirmed Method of state :
Because every new track At first, we can only iou matching , So the new track There is one hits Variable , Used to store unconfirmed track Success and detection Box for iou The number of matches . If the number is greater than or equal to deepsort In the default 3 Time , Then the track The status of the unconfirmed track To confirmed track.If new track(unconfirmed) In the following three frames, it did not succeed for three consecutive times iou matching , Due to the unconfirmed state , Then the unconfirmed track Will be permanently deleted , Stop thinking about .
If exist confirmed track In a certain frame, it passes through cascade matching and iou No matching detection Frame time , In order to consider shielding and other issues ,deepsort There is a max_age Variable , Used to tolerate this confirmed track Maximum continuous loss max_age Frame without matching , And every one track There is one time_since_update Variable , Record how many frames have not been matched since the last match .
deepsort There are only confirmed track After cascading matching or iou Only after the match is successful will the tracking box be drawn in the picture , Don't think about anything else track, So in deepsort When it was just running , The tracking box will not appear in the first few frames .
Execution steps
- Before executing each frame , Settable deepsort Parameters include
max_distThe maximum threshold of cosine distancemin_confidenceMinimum threshold of confidencenms_max_overlapNon maximum suppressionmax_iou_distanceiou The maximum threshold ofmax_ageThe number of frames allowed to be lost consecutivelyn_initunconfirmed track To confirmed track Need to be continuous iou Number of successful matchesnn_budgetevery last track You are allowed to keep at most feature Number of vectors
( notes : In order to better reflect deepsort The function of , The following situation comes from running deepsort After a period of time .)
After non maximum suppression and removal, the confidence of each frame is lower than the threshold () The detection frame of ( Just the background );
Enter the coordinates of the detection box for each frame , Category , Degree of confidence , Figure to deepsort in ;
Based on the previous frame track To make predictions , Get the possible position of the object in the previous frame in the current frame ;
take confirmed track With the current frame detection Box for cascading matching
(1) Match successful confirmed track utilize detection The coordinates provided by the box , Update data such as eigenvectors mean And covariance, take detection Framed feature Add vectors to this track Of feature list ;
(2) Not matched successfully track And detection box , Enter into iou Match stage , See step 5;take unconfirmed track And steps 4 In the rest of the confirmed track Assemble as iou Matching track Input , Will be track Set and unmatched detection Box for iou matching .
(1) Match successful track( Indistinguishes confirmed And unconfirmed state ) utilize detection The coordinates provided by the box , Update data such as eigenvectors mean And covariance, take detection Framed feature Add vectors to this track Of feature list ;
(2) For unmatched success track, if confirmed The state remains , Not updated mean And covariance, Continue to participate in the prediction of the next frame track in ; if unconfirmed state , Then the track Marked as deleted state ;
(3) For unmatched success detection box , Build a new track, according to detection The data of the box is new track Assign a value , Initialize new track Of mean、covariance、feature Wait for the initial value ;Will have been successfully matched track Of feature And id, Add to according to {id:feature} Stored in the list , And according to the parameters nn_budget Limit each track Of feature Number . If the quantity exceeds nn_budget, Then delete the old , The retention time is approaching feature Carry out each {id:feature} Update .
According to each track Updated mean vector , Output the coordinates of the detection frame and id. Then read a new frame and repeat the above operation .
边栏推荐
- newest! SASAC releases new measures for digital transformation of state-owned enterprises
- Livox Slam (with lio+ closed loop detection optimization)
- Interpretation of deepsort source code (III)
- EasyCVR设备管理列表页面搜索时,分页数据不显示的问题修复
- Some problems about too fast s verification code
- AI:业余时间打比赛—挣它个小小目标—【阿里安全×ICDM 2022】大规模电商图上的风险商品检测比赛
- ZnS-DNA QDs近红外硫化锌ZnS量子点改性脱氧核糖核酸DNA|DNA修饰ZnS量子点
- ES6 new features (getting started)
- Problems related to compilation and training of Darknet yolov3 and Yolo fast using CUDA environment of rtx30 Series graphics card on win10 platform
- Using docker to install and deploy redis on CentOS
猜你喜欢

Redis operation of Linux Installation

DNA偶联PbSe量子点|近红外硒化铅PbSe量子点修饰脱氧核糖核酸DNA|PbSe-DNA QDs

DNA修饰贵金属纳米颗粒|脱氧核糖核酸DNA修饰纳米金(科研级)

强网杯2021 pwn 赛题解析——babypwn

DNA modified zinc oxide | DNA modified gold nanoparticles | DNA coupled modified carbon nanomaterials

PNA修饰多肽ARMS-PNA|PNA-DNA|suc-AAPF-pNA|Suc-(Ala)3-pNA

How to make the minimum API bind the array in the query string

基于SSM实现的校园新闻发布管理系统

EasyCVR设备管理列表页面搜索时,分页数据不显示的问题修复

Keras OCR instance test
随机推荐
deepsort源码解读(七)
Some problems about too fast s verification code
Livox Slam (with lio+ closed loop detection optimization)
ZnS-DNA QDs近红外硫化锌ZnS量子点改性脱氧核糖核酸DNA|DNA修饰ZnS量子点
程序、进程、线程、协程以及单线程、多线程基本概念
关于卡尔曼滤波的协方差如何影响deepsort的跟踪效果的考虑
Analysis of online and offline integration mode of o2o E-commerce
Two ways of multi GPU training of pytorch
Boostrap
PNA modified polypeptide arms PNA PNA DNA suc aapf PNA suc - (ALA) 3 PNA
What is the reason why dragging the timeline is invalid when playing device videos on the easycvr platform?
About the new features of ES6
Keras OCR instance test
ES6 new features (getting started)
CASS11.0.0.4 for AutoCAD2010-2023免狗使用方法
Details of cross entropy loss function in pytorch
PNA polypeptide PNA TPP | GLT ala ala Pro Leu PNA | suc ala Pro PNA | suc AAPL PNA | suc AAPM PNA
ZnS DNA QDs near infrared zinc sulfide ZnS quantum dots modified deoxyribonucleic acid dna|dna modified ZnS quantum dots
Numpy array and image conversion
客户案例 | 聚焦流程体验,助银行企业APP迭代