当前位置:网站首页>Toward fast, flexible, and robust low light image enhancement cvpr2022
Toward fast, flexible, and robust low light image enhancement cvpr2022
2022-07-27 14:34:00 【Y Lantian sea】
The first is thesis translation , In the middle is the background + problem + Methods and steps + Experimental process , Finally, some professional terms in the article are introduced ( Horizontal line separation , Limited ability , Some translations may not be accurate )
Abstract :
Most of the existing low illumination image enhancement technologies are not only difficult to deal with visual quality and computational efficiency , And it is generally invalid in unknown complex scenes . In this paper , We have developed a new self calibrating illumination (SCI) Learning framework , Used to quickly 、 Improve image brightness flexibly and steadily . say concretely , We establish a cascaded illumination learning process with weight sharing to deal with this task . Considering the computational burden of cascade mode , We build a self calibration module , The convergence between the results of each stage is realized , It produces the benefit of reasoning using only a single basic block ( But it was not used in previous work ), This greatly reduces the computational cost . then , We define unsupervised training loss , To improve the ability of the model , So that it can adapt to general scenes . Besides , We have made a comprehensive exploration , To excavate SCI Inherent characteristics of ( Lacking in existing work ), Include Adaptability insensitive to operation ( Get stable performance under different simple operation settings ) And model independent generality ( It can be applied to existing works based on lighting to improve performance ). Last , A large number of experiments and ablation studies have fully shown our advantages in quality and efficiency . The application in low light face detection and night semantic segmentation fully reveals SCI The potential practical value of .
1. introduction
The purpose of low illumination image enhancement is to make the information hidden in the dark visible , To improve image quality , It has recently attracted extensive attention in many emerging areas of computer vision . In the following , We combed the development process of two related topics . Besides . We described our main contributions .
A model-based approach . Generally speaking ,Retinex The basic physical law of weak light image enhancement is described theoretically , That is, weak light observation can be decomposed into illumination and reflectivity ( Clear image ). Benefit from the L2-norm Convenient solution of ,Fu They first used L2-norm To achieve image enhancement . Besides ,Guo wait forsomeone [8] Adopt relative total change [28] As a constraint of illumination . However , Its fatal defect is the appearance of overexposure .Li wait forsomeone [13] A model of noise removal and low light enhancement is established in a unified optimization objective .10] A semi decoupled decomposition model is proposed to simultaneously improve brightness and suppress noise . Some work ( for example LEACRM[17]) The response characteristics of the camera are also used for enhancement . Limited by the defined regularization , Most of them have produced unsatisfactory results , And a large number of parameters need to be manually adjusted for the real world .
A web-based approach . By adjusting the exposure time ,[3] The work in establishes a new data set , be called LOL Data sets . This work also designed RetinexNet, It tends to produce unnatural enhancement results .KinD By introducing some training losses and adjusting the network structure , To improve the RetinexNet The problems in the process .DeepUPE An illumination estimation network for enhancing low light input is defined .30] A recursive banded network is proposed , And train them through semi supervised strategy .EnGAN[11] A generator with attention is designed , For unsupervised enhancements .SSIENet[33] Established a decomposition architecture , To estimate illumination and reflectivity at the same time .ZeroDCE[7] A quadratic curve with learning parameters is established heuristic . lately ,Liu wait forsomeone [14] Established a subject Retinex Inspired deconvolution framework with architecture search . There is no denying that , These deep networks are well designed . However , They are not stable , It is also difficult to achieve continuous excellent performance , Especially in unknown real-world scenes , Unclear details and inappropriate exposures are everywhere .
Our contribution . In order to solve the above problems , We have developed a new self calibrating illumination (SCI) Learning framework , For fast 、 Flexible and robust low illumination image enhancement . By redeveloping the intermediate output of the illumination learning process . We built a self calibrating module , To give a single basic block more representativeness , And converge between the results of each stage , To achieve acceleration . More specifically , Our main contributions can be summarized as :
We have developed a self calibration module for illumination learning , Through weight sharing, the results of each stage tend to be consistent , Improve the stability of exposure , And greatly reduce the computational burden . As far as we know , This is the first work to accelerate the low illumination image enhancement algorithm by using the learning process .
We defined unsupervised training loss , The output of each stage is constrained by the self calibration module , It gives adaptability to different scenes . Attribute analysis shows ,SCI It has operation insensitive adaptability and model independent versatility , This is not available in the existing work .
We have conducted extensive experiments to illustrate our advantages over other most advanced methods . Applications in dark face detection and night semantic segmentation have further revealed our practical value . To make a long story short ,SCI In the field of low light image enhancement based on network, the visual quality is redefined 、 Computing efficiency and performance of downstream tasks .
2. Proposed method
In this part , We first introduce lighting learning with weight sharing , Then the self calibration module is constructed . Next, we introduce the unsupervised training loss . Last , We are interested in what we build SCI Had a comprehensive discussion .
2.1 Lighting learning with weight sharing
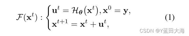
according to Retinex theory , Observe the value at low illumination y And the desired clear image z There is a connection between :y = z ⊗ x, among x Represents the lighting component . Generally speaking , Illumination is regarded as the core part of low illumination image enhancement that needs major optimization . according to Retinex theory , By removing the estimated illumination , Enhanced output can be further obtained . Here it is , Affected works [8,14] Inspired by the illumination phased optimization process proposed in , By introducing parameters θ Mapping Hθ To learn illumination , We provide a progressive perspective to simulate this task , The basic unit is written as

among u t and x t Each represents the t Stage (t = 0,...,T - 1) The remaining items and illuminance . It should be noted that , We didn't Hθ Mark the phase number in , Because we use the weight sharing mechanism , That is, use the same architecture at each stage H And weight θ.
in fact , Parameterization operator H θ 1 Learned a simple residual representation between illumination and low light observation u t. The inspiration for this process comes from a consensus , That is, illumination and low light observation are similar or existing linear connections in most areas . Direct mapping between low light observation and illumination ( Common patterns in existing work , Such as [14,22]) comparison , Learning residual representation greatly reduces the difficulty of calculation , Both guarantee the performance , It also improves the stability , Especially for exposure control 2. Especially for exposure control 2.
in fact , We can directly use the above established process and given training losses and data to obtain an enhanced model . But here's the thing , The cascade mechanism with multiple weight sharing blocks will inevitably produce predictable reasoning costs . Review the sharing process , Each shared block wants to output a result as close to the expected goal as possible . Go further , Ideally, the first block can output the desired result , Meet task requirements . meanwhile , The following blocks output similar results . Even the same result as the first block . thus , In the test phase , We only need one block to speed up the reasoning . Next , We will explore how to achieve it .
2.2 Self calibration module
ad locum , Our goal is to define a module , Make the results of each stage converge to the same state . We know , The input of each stage comes from the previous stage , The input of the first stage must be defined as weak light observation . An intuitive idea is , Can we put the input of each stage ( Except for the first stage ) And low light observation ( That is, the input of the first stage ) Connect , Indirectly explore the convergence behavior between each stage . So , We introduced a self calibrating map s, And add it to the weak light observation , To show the difference between the input of each stage and the first stage . say concretely , The self calibration module can be presented as :

among t≥1,v t Input for the conversion of each stage ,Kϑ3 Is the parametric operator introduced , Parameters are learnable parameters ϑ. that , The first t Stage (t≥1) The transformation of basic units can be written as Stage (t≥1) The basic unit transformation of can be written as

actually , The self calibration module we built gradually corrects the input of each stage by integrating physical principles , Thus indirectly affecting the output of each stage . In order to evaluate the influence of self calibration module on convergence , We plotted the relationship between the following results tSNE Distribution : We can easily observe , The results of each stage do converge to the same value . But without self calibration module , This phenomenon cannot be found . Besides , The above conclusion also reflects , We have indeed achieved the 2.1 The intention stated in the last paragraph of section , That is, use the weight sharing mode to train multiple cascaded blocks , But only a single block is used for testing .

(a) Without self calibration module

(b) With self calibration module
chart 3. Compare the results of each stage according to whether the self calibration module is used t-SNE Distribution . This explains why we can use a single phase for testing , namely SCI The results of each stage in can quickly converge to the same value , But it cannot always be achieved without self calibration module .
We also provide a diagram 2 The overall flow chart in , To understand what we have established SCI frame .

Self calibration lighting learning Testing phase
chart 2.SCI The whole framework of . In the training phase , our SCI It consists of illumination estimation and self calibration modules . The self calibration module map will be added to the original low light input , As the input of lighting estimation in the next stage . Be careful , These two modules are the shared parameters in the whole training process . In the test phase , We only use a single lighting estimation module .
2.3 Unsupervised training loss
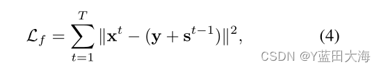
Considering the imprecision of the existing paired data , We use unsupervised learning to expand network capacity . We define the total loss as L total=αL f+βL s, among L f and L s Represents fidelity and smoothing loss respectively .α and β Are two positive equilibrium parameters 4. Fidelity loss is to ensure pixel level consistency between estimated illumination and input at each stage , Formula for :

among T Is the total number of stages . actually , This function takes advantage of the redefined input y+s t−1 Limit output lighting x t, Instead of hand-made ground realism or ordinary low light input .
The smoothness of illumination is a broad consensus in this task . ad locum , We adopt a spatial variation '1 Smoothing term of norm , As shown below :

among N Is the total number of pixels .i It's No i Pixel .N(i) Express i In its 5×5 Adjacent pixels in the window .w i,j Said the weight , Its formula is :

among c Express YUV Image channels in color space .σ = 0.1 Is the standard deviation of Gaussian kernel .
2.4 Discuss
Essentially , The self calibration module is learning better basic blocks ( The lighting estimation block in this work ) It plays an auxiliary role , The basic blocks are cascaded to generate an overall illumination learning process with a weight sharing mechanism . what's more , The self calibration module gives convergence between the results of each stage , However, it has not been explored in the existing work . Besides ,SCI The core idea of is actually to introduce additional network modules for training , But not for testing . It improves model representation , To achieve testing with only a single block . in other words , Can be “ Weight sharing + Task related self calibration module ” The mechanism shifts to deal with other accelerated tasks .
3. Explore algorithm features
In this section , What we put forward about SCI We explored , To analyze its characteristics in depth .
3.1 Operation insensitive adaptability
Generally speaking , The operations used in the network-based approach should be fixed , And cannot be changed at will , Because these operations are obtained with the support of a large number of experiments . Fortunately, , Our proposed algorithm is in Hθ The difference is extremely simple, and even the original settings show surprising adaptability . As shown in the table 1 Shown , We can easily observe , Our method is in different settings ( block 3×3 Volume number +ReLU) Achieved stable performance . Besides , We are in the picture 4 Visual comparison is provided in , It is easy to observe , Our have different settings SCI Make weak light observation brighten , Shows very similar enhancement results . Review the framework we designed , You can get this attribute , because SCI It not only converts the lighting consensus ( That is, residual learning ), And it integrates physical principles ( That is, element segmentation ). The experiment also verifies our design SCI The validity and correctness of .

surface 1.MIT On the test data set Hθ Quantitative comparison between different settings . among , The basic block contains a size of 3×3 The convolution layer of and a ReLU layer .“ block ” and “ passageway ” Respectively represent the number of basic blocks and the change of channels in basic blocks .

chart 4. surface 1 Visual comparison between different cases in .
3.2 Model independent generality
If the task related self calibration module is not limited , our SCI In fact, it is a generalized learning paradigm , So ideally , It can be directly applied to existing work . ad locum , We take the representative works proposed recently RUAS As an example . surface 2 Sum graph 5 Show the use of SCI Training RUA Quantitative and qualitative comparison before and after . obviously , Although we only use RUAS A single block used in the expansion process ( namely RUAS(1)) To evaluate our training process , But the performance has still been significantly improved . what's more , Our method can significantly inhibit primitive RUA Overexposure in . This experiment shows that our learning framework is indeed flexible , And it has strong universality . Besides , It shows that , Our method may be transferred to the low light level image enhancement based on arbitrary illumination , We will try this in the future .

surface 2.SCI It can be used to improve the performance of existing projects , for example RUA. among RUAS(d) Said the d Iteration blocks RUAS Unfolding process in . Here we use LSRW Data set for testing .

chart 5. surface 2 Visual comparison between different cases in .
4. experimental result
In this section , We first provide all the implementation details . Then we made an experimental evaluation . Next , We apply the enhancement method to dark face detection and night semantic segmentation . Last , We are right. SCI The algorithm is analyzed . All experiments are carried out with a single TITAN X GPU Of PC On .
4.1 Implementation details
Parameter setting . In the process of training , We used parameters β1=0.9、β2=0.999 and ∈ by 10 The octave of . The small batch size is set to 8. The learning rate is initialized to 10−4. The number of training epochs is set to 1000. According to the first 3.1 The conclusion of this section , We used 3 A convolution +ReLU and 3 A channel for Hθ Default Settings . The self calibration module contains four convolution layers , Among them, it ensures the lightweight of the training process . in fact , The form of the network may not be fixed , We have done experiments in the supplementary materials to verify it .
Comparison method . For weak light image enhancement , We will SCI And the four model-based methods proposed recently ( Include LECARM、SDD、STAR)、 Four advanced supervised learning methods ( Include RetinexNet、KinD、FIDE、DRBN) And four unsupervised learning methods ( Include EnGAN、SSIENet、ZeroDCE and RUAS) Made a comparison . For dark face detection , In addition to performing the above network-based enhancement before the detector , We also compare the recently proposed dark face detection methods HLA.
Benchmark description and indicators . For weak light image enhancement , We from MIT Random sampling in data set 100 Images , from LSRW Random sampling in data set 50 Test with four test images . We used two complete reference indicators , Including peak signal-to-noise ratio and SSIM, And five non reference indicators , Include DE、EME、LOE and NIQE. For dark face detection , We used by 1000 A dark face data set composed of challenging test images , These images are from 2021 CVPR Held UG2+PRIZE Randomly sampled from the sub challenges of the challenge . We take the detection accuracy and recall rate as the evaluation indicators . For nocturnal semantic segmentation , We use ACDC Medium 400 Train with one image , remainder 106 Images as evaluation data set . The evaluation index is defined as IoU and mIoU.
4.2 Benchmark evaluation
Performance evaluation . As shown in the table 3 Shown , our SCI Achieved competitive performance , Especially in the absence of reference indicators . Pictured 6-7 Shown , Advanced depth network generates unknown veil , Cause inconspicuous details and unnatural colors . By comparison , our SCI With vivid colors and prominent textures, we get the best visual quality . More visual comparisons can be found in the supplementary materials .

chart 6.MIT Visual comparison of the most advanced low light level image enhancement methods on the dataset .

chart 7.LSRW Visual comparison of the most advanced low light level image enhancement methods on the dataset .

surface 3.MIT and LSRW Two full reference indicators on the data set ( Including peak signal-to-noise ratio and SSIM) And four non reference indicators ( Include DE、EME、LOE and NIQE) The quantitative results of .
Computational efficiency . Besides , We are on the table 4 Some recent proposals based on CNN Model size of the method 、 Floating point operation and running time (GPU second ). obviously , Compared with other networks , What we proposed SCI It's the lightest , And significantly better than other networks .

surface 4 be based on CNN And our SCI.
4.3 Field experiment evaluation
In a field scene , Weak light image enhancement is a very challenging work . Control partial overexposure information of the image 、 Correcting the overall color and saving image details are urgent problems to be solved . ad locum , We from DARK FACE and ExDark Many challenging contents have been tested in the field examples of data sets . Pictured 8 Shown , Through a lot of experiments , It can be seen that our method has achieved more satisfactory visualization results than other methods , Especially at the exposure level 、 Structure description and color representation . Due to limited space , We provide more comparisons in the supplementary materials .

chart 8. Visual comparison of some challenging examples in the field . See supplementary materials for more results .
4.4 Dark face detection
We use S3FD( A famous face detection algorithm ) To evaluate the performance of dark face detection . Be careful , As original S3FD As shown in ,S3FD Use a wider face data set for training , We use S3FD Pre training model to fine tune the image enhanced by various methods .
meanwhile , We implemented a program called SCI+ New method of , This method will our SCI As a basic module, it is embedded in S3FD The front end of the , In order to carry out joint training on the combination of task loss and enhancement . Pictured 9 Shown , Our approach (SCI and SCI+) Got the best score of all comparison methods , And the enhanced version achieves better performance than the fine-tuning version . chart 10 Visual comparison is further demonstrated . It is easy to observe , By applying our SCI, You can also detect smaller objects , Other methods cannot do this , As shown in the enlarged area .

chart 9.DARK FACE Precision recall curve on dataset . All comparison methods and SCI Fine tune the detector according to the enhancement results .SCI+ It is a loss combination for detection and enhancement , For detectors and SCI Conduct joint training .

chart 10.DarkFace Visual comparison of face detection on data sets . See supplementary materials for more results .
4.5 Nocturnal semantic segmentation
ad locum , We use PSPNet As a baseline , Evaluate all methods in mode “ Preliminary training + fine-tuning ”( Be similar to SCI Version in dark face detection ) Segmentation performance on . surface 5 Sum graph 11 The results of quantitative and qualitative comparison between different methods are shown . Our performance is significantly better than other most advanced methods . Pictured 11 The enlarged area in , All comparison methods will produce some unknown artifacts , Thus damaging the quality of the generated segmentation graph .

surface 5.ACDC Quantitative results of nocturnal semantic segmentation on data sets . A set of symbols {RO,SI,BU,WA,FE,PO,TL,TS、VE、TE、SK、PE、RI、CA、TR、MO、BI} Express { road 、 Sidewalk 、 building 、 The wall 、 fence 、 Pole 、 traffic lights 、 traffic sign 、 Vegetation 、 terrain 、 sky 、 people 、 Rider 、 automobile 、 train 、 The motorcycle 、 Bicycle }. Be careful , We retrained the segmentation model according to the enhancement results generated by all comparison methods . The best result is red , The second is blue .

chart 11.ACDC Visual results of semantic segmentation on data sets . See supplementary materials for more results .
4.6 Algorithm analysis
Compare the decomposed components . actually , our SCI It belongs to the light based learning method , The improvement of visual quality depends largely on the estimated illumination . ad locum , We will SCI It is compared with three representative lighting based learning methods , Include RetinexNet、KinD and SSIENet. Pictured 12 Shown , We can easily see , Our estimated illumination maintains good smoothness . It ensures that the reflections we generate are more visually friendly .

chart 12. Compare the decomposition components between different lighting based networks . Zoom in for the best view .
Melting research . We compared the graph 13 Performance of different modes in . Direct learning illumination will lead to overexposure of the image . The process of learning the residual between illumination and input does suppress overexposure , But the overall image quality is still not high , Especially the grasp of details . By comparison , The enhancement result using our method not only suppresses overexposure , And enrich the image structure .

chart 13. Analyze different patterns in lighting learning .
5. Conclusion
In this paper , We have successfully built a lightweight but effective framework , That is, self calibration lighting (SCI), Used for low light level image enhancement for different realistic scenes . We're not just right SCI The excellent characteristics of , Extensive experiments have also been carried out , To show that we are in low light level image enhancement 、 The effectiveness and superiority of dark face detection and night semantic segmentation .
Wider impact . From a mission perspective ,SCI It provides an efficient learning framework , It has achieved extremely excellent performance in image quality and reasoning speed . Maybe this will be a support , Enter a new era of high speed and high quality , Low light image enhancement . In terms of method design ,SCI Opened up a new perspective ( namely , In the training phase, an auxiliary process is introduced to enhance the model ability of the basic unit ), To improve the practicality of realistic scenes for other low-level visual problems .
边栏推荐
- 汉字风格迁移篇---对抗性区分域适应(L1)Adversarial Discriminative Domain Adaptation
- Shell编程规范与变量
- Jing Xiandong and other senior executives of ant group no longer serve as Alibaba partners to ensure independent decision-making
- poj3461 Oulipo【KMP】
- Airport cloud business sign analysis
- Spark job uses log4j appender to append logs to local files or mysql
- Lesson 3: reverse word order
- Group division and characteristic analysis of depression patients based on online consultation records
- 网上券商APP开户安全有保障吗?
- Getting started for beginners: build your own blog with WordPress
猜你喜欢

SLAM综述阅读笔记七:Visual and Visual-Inertial SLAM: State of the Art, Classification,and Experimental 2021

Cultural tourism and data collection | travel to Yunnan in an artistic way

Electronic bidding procurement mall system: optimize traditional procurement business and speed up enterprise digital upgrading

Flexible and easy to use WYSIWYG visual report

Shell编程规范与变量

uniapp的request数据请求简单封装步骤

【STM32】EXTI

How to make computers have public IP

文献翻译__基于自适应全变差L1正则化的椒盐图像去噪

文旅数藏 | 用艺术的方式游云南
随机推荐
poj3461 Oulipo【KMP】
连接ResourceManager 失败
Negative ring
How to solve cache avalanche, breakdown and penetration problems
Golang excellent open source project summary
基于预训练模型的多标签专利分类研究
正向代理与反向代理
HDU1422 重温世界杯【DP】
Flat die cutting machine
Schematic diagram of C measuring tool
初学者入门:使用WordPress搭建一个专属自己的博客
Redis
RTL8762DK 环境搭建(一)
Secondary spanning tree [template]
Interview eight part essay · TCP protocol
解气!哈工大被禁用MATLAB后,国产工业软件霸气回击
Airport cloud business sign analysis
第3章业务功能开发(查看线索明细)
Lesson 3: reverse word order
面向流行性疾病科普的用户问题理解与答案内容组织