当前位置:网站首页>Nerf: the popularity of using deep learning to complete 3D rendering tasks
Nerf: the popularity of using deep learning to complete 3D rendering tasks
2022-06-10 16:06:00 【3D vision workshop】
1 introduction
NeRF(https://www.matthewtancik.com/nerf) yes 2020 year ECCV The paper . It's not just the past 2 year , About NeRF The number of papers has been considerable . Compared with computer vision , Especially compared with computer vision based on deep learning , Computer graphics is more difficult 、 More obscure . There are numerous computer vision tasks swept by deep learning , But there are still few computer graphics tasks swept by deep learning .
because NeRF And so many follow-up The work has given excellent results on the very important rendering task in graphics , It can be predicted that in the future, the work of using deep learning to complete graphics tasks will grow rapidly . This year's GIRAFFE(https://m-niemeyer.github.io/project-pages/giraffe/index.html) yes NeRF One of the follow-up work , Take it off 2021CVPR The award for the best thesis of has played a positive role in promoting the prosperity of the whole direction .
This article wants to discuss the following issues :
NeRF The proposed basis (2 front NeRF Time );
NeRF What is it? (3 NeRF!);
NeRF Representative of follow-up Work (4 after NeRF Time );
contain NeRF The broader research direction of Neural Rendering An introduction to the (5 It's not just NeRF).
2 front NeRF Time
2.1 Rendering of traditional graphics
Essentially ,NeRF What I have done is to use deep learning to complete the 3D Rendering tasks . So let's ask two questions .
problem 1:3D What is rendering for ?
see 2 A more official definition .
MIT Computer graphics course EECS 6.837(https://ocw.mit.edu/courses/6-837-computer-graphics-fall-2012/pages/lecture-notes/) Pair rendering (Rendering) The definition of :
“Rendering” refers to the entire process that produces color values for pixels, given a 3D representation of the scene.
Excellent review papers State of the Art on Neural Rendering(https://arxiv.org/abs/2004.03805) Pair rendering (Rendering) The definition of :
The process of transforming a scene definition including cameras, lights, surface geometry and material into a simulated camera image is known as rendering.
in other words , Rendering is taking pictures with a computer simulated camera , The result is a photo .
Taking pictures with a camera is a physical process in the real world , Mainly optical process , The subject of the photograph is the real things in the real world , The main mechanism for forming photos is : Light passes through the lens , Reach the sensor , Be recorded .

The physical process of taking pictures
And rendering is Computer simulation of this process , simulation “ Taking pictures ” The object of is an existing 3D scene representation (3D representation of the scene), The mechanism of simulated photo generation is an algorithm carefully designed by graphics researchers .
Key premise : The premise of rendering is that some 3D scene representation already exists . Rendering itself is not responsible for generating 3D scene representation . however , Rendering is indeed closely related to the form of 3D scene representation ; Therefore, the study of rendering usually includes the discussion of 3D scene representation .
problem 2:3D Rendering is a graphics problem , So what traditional graphics method did you use to realize 3D Rendered ?
There are two main algorithms : Rasterize (rasterization), Ray tracing (ray tracing); It is realized by mathematical and physical modeling of the optical process of camera photography .

Rrasterization,Ray Tracing
Please refer to this textbook for the detailed principles of traditional rendering (https://github.com/QianMo/Real-Time-Rendering-3rd-CN-Summary-Ebook).
Rasterization is a feedforward process , The geometry is converted to an image domain , It is an early algorithm in the last century . Ray tracing is to project rays backward from image pixels into a virtual 3D scene , The reflection and refraction are simulated by recursively casting new rays from the intersection with the geometry , It has the advantage of global illumination ( It can simulate the multiple reflection or refraction of light ).
The present , In academia , Most people who are still studying rendering algorithms of traditional graphics should be doing optimization acceleration , How to use it? GPU Rendering more complex scenes in real time . In industry , Many games rely heavily on rendering technology , So there should be many game companies studying more realistic 、 Faster 、 A more computationally efficient rendering algorithm . Last year's new virtual engine “ Virtual engine 5” The effect is shocking , light 、 texture 、 The real-time rendering simulation of fluid has reached an unprecedented new level , You can see the official promotional video of the virtual engine , It's really good .

Virtual engine 5
2.2 Neural network aggression 3D Rendering tasks :NeRF Be vividly portrayed
Implicit scene representation (implicit scene representation)
The pioneer of deep learning based rendering is to use neural networks to implicitly represent 3D scenes . many 3D-aware The image generation method uses voxels 、 grid 、 Point cloud and other forms to represent 3D scene , Usually based on convolution architecture . And in the CVPR 2019 On , Begin to appear Use neural network to fit scalar function To represent the work of a 3D scene .
DeepSDF
2019 year CVPR Of DeepSDF(https://openaccess.thecvf.com/content_CVPR_2019/papers/Park_DeepSDF_Learning_Continuous_Signed_Distance_Functions_for_Shape_Representation_CVPR_2019_paper.pdf) Perhaps the closest NeRF The pioneer work of .
SDF yes Signed Distance Function Abbreviation .DeepSDF By return (regress) A distribution to represent a three-dimensional surface . As shown in the figure below ,SDF>0 The place of , Indicates that the point is outside the 3D surface ;SDF<0 The place of , Indicates that the point is inside the 3D surface . The neural network that regresses this distribution is a multilayer perceptron (Multi-Layer Perceptron,MLP), Very simple primitive neural network structure .

DeepSDF
NeRF Than DeepSDF The progress lies in ,NeRF use RGBσ Instead of SDF, So besides being able to reason about the distance from a point to the surface of an object , Can reason RGB Color and transparency , And the color is view-dependent Of ( Different perspectives , The color of the same object is different ), So as to achieve more powerful rendering .
3 NeRF!
Suggest going to NeRF Project website (https://www.matthewtancik.com/nerf) View video renderings .
3.1 Radiance Fields(RF)
NeRF yes Neural Radiance Fields Abbreviation . Among them Radiance Fields Is a function 、 Or mapping
.


3.2 Neural Radiance Fields(NeRF)

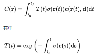
3.3 NeRF Volume rendering of
NeRF(Neural Radiance Fields) It is actually a three-dimensional scene representation (scene representation), And it is an implicit scene representation (implicit scene representation), Because it can't be like point cloud、mesh、voxel See a 3D model directly .

3.4 NeRF Training for
Training NeRF The input data for is : Take pictures of the same scene from different locations , The pose of the camera that took these pictures 、 Inside the camera , And the scope of the scene . If the image data set is missing the camera parameter truth value , The author uses classics SfM Rebuild the solution COLMAP The required parameters are estimated , Use as truth .
Use... In training NeRF In the process of rendering a new picture ,
Enter these positions first MLP To generate volume density and RGB Color value ;
Take different positions , Use volume rendering techniques to synthesize these values into a complete image ;
Because volume rendering functions are differentiable , So you can minimize the 、 Training optimization based on the difference between real images NeRF The scene shows .
Such a one NeRF After training , You get one Represented by the weight of multi-layer perceptron Model . A model only contains the information of the scene , Do not have the ability to generate pictures of other scenes .
besides ,NeRF There are also two optimized trick:
Location code (positional encoding), Similar to Fourier transform , Mapping low dimensional input to high dimensional space , Improve the ability of the network to capture high-frequency information ;
Layered sampling of volume rendering (hierarchical volume sampling), Through more efficient sampling strategy, the computational cost of estimating integral formula is reduced , Speed up your training .
4 after NeRF Time
GIRAFFE:composition Representative works of the direction
2021CVPR The winner of the best Thesis Award of GIRAFFE yes NeRF、GRAF Extension of work .
stay NeRF after , It was proposed GRAF(Generative Radiance Fields), The key point is the introduction of GAN To achieve Neural Radiance Fields; And use conditional GAN Realize the controllability of the rendered content .
stay GRAF after ,GIRAFFE Realized composition. stay NeRF、GRAF in , One Neural Radiance Fields Represents a scene ,one model per scene. And in the GIRAFFE in , One Neural Radiance Fields Only one object ,one object per scene( The background is also an object ). The beauty of this is that you can combine objects in different scenes at will , It can change the relative position of different objects in the same scene , Rendering generates more new images that are not in the training data .

GIRAFFE Realization composition
As shown in the figure ,GIRAFFE It can translate 、 Rotate the objects in the scene , You can also add new objects to the scene that you didn't have .

Other latest related work
2021 year CVPR There are many related wonderful work to be published . for example , Improve the generalization of the network :
pixelNeRF: The feature vector of each pixel is used as input instead of the pixel itself , The network is allowed to train on multi view images of different scenes , Learning scenario a priori , Then, when testing, directly receive one or several views to compose a new view for input .
IBRNet: Learn a general view interpolation function applicable to a variety of scenes , Thus, it is not necessary to learn a new model for each new scene to render ; And another fashionable thing is used in the network structure Transformer.
MVSNeRF: Train a prior network with generalization performance , In reasoning, only 3 A new scene is created by inputting a picture .
For dynamic scenes NeRF:
Nerfies: A multi-layer perceptron is used to fit the deformation SE(3) field, So as to model the scene deformation between frames .
D-NeRF: A multi-layer perceptron is used to fit the scene deformation displacement.
Neural Scene Flow Fields: Put forward one more scene flow fields To describe the scene deformation of time sequence .
Other innovations :
PhySG: Use spherical Gaussian function to simulate BRDF( An ancient artifact with advanced coloring ) And ambient light , For more complex lighting environments , It can deal with the reflection of non Lambert surface .
NeX: use MPI(Multi-Plane Image ) Instead of NeRF Of RGBσ As the output of the network .
5 It's not just NeRF:Neural Rendering
Neural Radiance Fields On the outside is Neural Rendering; let me put it another way ,NeRF(Neural Radiance Fields) yes Neural Rendering A subset of directions .
In an overview of this broader concept State of the Art on Neural Rendering in ,Neural Rendering The main research directions of are divided into 5 class ,NeRF Which shall belong to the 2 class “Novel View Synthesis”( But this review predates NeRF publish , Not in the table NeRF entry ).

Neural Rendering Of 5 The main research direction of class
The meaning of the abbreviations in the table :

In this review ,Neural Rendering Is defined as :
Deep image or video generation approaches that enable explicit or implicit control of scene properties such as illumination, camera parameters, pose, geometry, appearance, and semantic structure.
Neural Rendering Contains all the Using neural network to generate controllable ( And photo-realistic) New picture method .“ controllable ” It means that people can explicitly or implicitly control the properties of generating new pictures , Common attributes include : light , Inside the camera , Camera pose ( External reference ), Geometric relations , appearance , Semantic segmentation structure . In this framework ,NeRF It is a popular method to control the pose of the camera Neural Rendering Algorithm . but Neural Rendering This direction goes beyond this .
In depth video lessons : Deployment of deep learning model in autopilot
At present Neural Rendering Direction , The hottest direction is “Novel View Synthesis”, This is related to NeRF The strength and popularity of ; The sub direction of the second fire is “Semantic Photo Synthesis”, This is mainly due to semantic segmentation and related GAN Maturity of the field .“Semantic Photo Synthesis” The direction is also fruitful , for example 2019 year CVPR Of Semantic Image Synthesis with Spatially-Adaptive Normalization, The renderings are as follows .

Semantic Image Synthesis
Related resources
Github Thesis collection warehouse
Small warehouse ( Is limited to NeRF):
https://github.com/yenchenlin/awesome-NeRF
Big warehouse (neural rendering):
https://github.com/weihaox/awesome-neural-rendering
A review paper
It can be said to be an official summary , The author list is currently in Neural Rendering The most active group in the field . The two articles are 2021、2020 Year of SIGGRAPH、CVPR A summary of the lecture , Very comprehensive and organized , It is worth reading by every practitioner !
SIGGRAPH 2021 Course:Advances in Neural Rendering
CVPR 2020 Tutorial:State of the Art on Neural Rendering
The scope is limited to the overview of differentiable rendering methods :
Differentiable Rendering: A Survey
The owner of the small warehouse above (MIT Doctor Yen-Chen Lin) Write a summary :
Neural Volume Rendering: NeRF And Beyond
The paper
A list of papers is really missing everything , Symbolically put the 2 A very important paper .
NeRF Project home page :
NeRF: Representing Scenes as Neural Radiance Fields for View Synthesis
GIRAFFE Project home page :
GIRAFFE: Representing Scenes as Compositional Generative Neural Feature Fields
The teaching material
Traditional graphics rendering technology :
Real-Time Rendering 3rd
Classic textbook of computer vision , contain image-based rendering chapter :
Computer Vision: Algorithms and Applications
Two articles Georgia Tech The teacher's blog
NeRF at ICCV 2021 - Prof. Frank Dellaert
NeRF Explosion 2020 - Prof. Frank Dellaert
appendix
NeRF Derivation of volume rendering formula
Continuous form

It is necessary to find out the origin of the above integral formula , You should learn the basics of volume rendering . This rendering problem considers the propagation of light in media , It is homologous with the billlambert's law in physics , The application in graphics originated from 1984 Kajiya The classic paper of .
because NeRF A work of Ben Mildenhall stay SIGGRAPH 2021 Course Advances in Neural Rendering The volume rendering formula is derived from the perspective of probability , In addition, this blog post also explains very thoroughly , You can go and see their , So I won't write here .
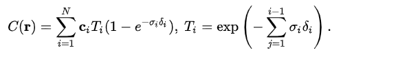
Discrete form
Deduce the operation from continuous form to discrete form .
The method of solving integral equation by computer is generally reduced to Riemann sum . ad locum , If we divide the integral interval into fixed 、 The area of a narrow rectangle with equal spacing and , In fact, I lost NeRF yes continuity Advantages of scenario representation : Because although every point RGBσ All accessible , But in fact, you only use the value of a fixed point to get the integral .



This article is only for academic sharing , If there is any infringement , Please contact to delete .
3D Visual workshop boutique course official website :3dcver.com
1. Multi sensor data fusion technology for automatic driving field
2. For the field of automatic driving 3D Whole stack learning route of point cloud target detection !( Single mode + Multimodal / data + Code )
3. Thoroughly understand the visual three-dimensional reconstruction : Principle analysis 、 Code explanation 、 Optimization and improvement
4. China's first point cloud processing course for industrial practice
5. laser - Vision -IMU-GPS The fusion SLAM Algorithm sorting and code explanation
6. Thoroughly understand the vision - inertia SLAM: be based on VINS-Fusion The class officially started
7. Thoroughly understand based on LOAM Framework of the 3D laser SLAM: Source code analysis to algorithm optimization
8. Thorough analysis of indoor 、 Outdoor laser SLAM Key algorithm principle 、 Code and actual combat (cartographer+LOAM +LIO-SAM)
10. Monocular depth estimation method : Algorithm sorting and code implementation
11. Deployment of deep learning model in autopilot
12. Camera model and calibration ( Monocular + Binocular + fisheye )
13. blockbuster ! Four rotor aircraft : Algorithm and practice
14.ROS2 From entry to mastery : Theory and practice
15. The first one in China 3D Defect detection tutorial : theory 、 Source code and actual combat
blockbuster !3DCVer- Academic paper writing contribution Communication group Established
Scan the code to add a little assistant wechat , can Apply to join 3D Visual workshop - Academic paper writing and contribution WeChat ac group , The purpose is to communicate with each other 、 Top issue 、SCI、EI And so on .
meanwhile You can also apply to join our subdivided direction communication group , At present, there are mainly 3D Vision 、CV& Deep learning 、SLAM、 Three dimensional reconstruction 、 Point cloud post processing 、 Autopilot 、 Multi-sensor fusion 、CV introduction 、 Three dimensional measurement 、VR/AR、3D Face recognition 、 Medical imaging 、 defect detection 、 Pedestrian recognition 、 Target tracking 、 Visual products landing 、 The visual contest 、 License plate recognition 、 Hardware selection 、 Academic exchange 、 Job exchange 、ORB-SLAM Series source code exchange 、 Depth estimation Wait for wechat group .
Be sure to note : Research direction + School / company + nickname , for example :”3D Vision + Shanghai Jiaotong University + quietly “. Please note... According to the format , Can be quickly passed and invited into the group . Original contribution Please also contact .

▲ Long press and add wechat group or contribute

▲ The official account of long click attention
3D Vision goes from entry to mastery of knowledge : in the light of 3D In the field of vision Video Course cheng ( 3D reconstruction series 、 3D point cloud series 、 Structured light series 、 Hand eye calibration 、 Camera calibration 、 laser / Vision SLAM、 Automatically Driving, etc )、 Summary of knowledge points 、 Introduction advanced learning route 、 newest paper Share 、 Question answer Carry out deep cultivation in five aspects , There are also algorithm engineers from various large factories to provide technical guidance . meanwhile , The planet will be jointly released by well-known enterprises 3D Vision related algorithm development positions and project docking information , Create a set of technology and employment as one of the iron fans gathering area , near 4000 Planet members create better AI The world is making progress together , Knowledge planet portal :
Study 3D Visual core technology , Scan to see the introduction ,3 Unconditional refund within days

There are high quality tutorial materials in the circle 、 Answer questions and solve doubts 、 Help you solve problems efficiently
Feel useful , Please give me a compliment ~
边栏推荐
- C # homework - student information management system
- [high code file format API] Shanghai daoning provides you with the file format API set Aspose, which can create, convert and operate more than 100 file formats in just a few lines of code
- Common sense: the number of neurons in the brain of mice is about 70million and that of humans is about 86billion
- ORB_ Slam2 visual inertial tight coupling positioning technology route and code explanation 0 - overall framework and theoretical basic knowledge
- 直播预告 | 解构OLAP!新型多维分析架构范式全公开!Apache Doris 将带来五个重磅议题!
- C # game prototype character map dual movement
- 【第七节 函数的作用】
- Summary of methods for point projection onto a plane
- MapReduce案例之排序
- ORB_ Slam2 visual inertial tight coupling positioning technology route and code explanation 2 - IMU initialization
猜你喜欢

点击解锁广和通5G模组“关键词”

What has guanghetong done in the three years of 5g business from "seeding in the first generation" to "flower on the ground"?

ORB_ Slam2 visual inertial tight coupling positioning technology route and code explanation 3 - tight coupling optimization model

How to improve document management

2D pose estimation for pose estimation - (openpose) realtime multi person 2D pose estimation using part affinity fields

2D human posture estimation for posture estimation - numerical coordinate progression with revolutionary neural networks (dsnt)

使用特定大小、分辨率或背景色保存图窗

2290. Minimum Obstacle Removal to Reach Corner

影刀RPA学习和遇见excel部分问题解决方式

uniapp中常用到的方法(部分) - 時間戳問題及富文本解析圖片問題
随机推荐
我用 MATLAB 复刻了抖音爆火小游戏 苹果蛇
RGB颜色空间、色调、饱和度、亮度、HSV颜色空间详解
[untitled] audio Bluetooth voice chip, wt2605c-32n real-time recording upload technical scheme introduction
torch.utils.data.DataLoader()详解【Pytorch入门手册】
排序与分页
This and object prototypes
Code implementation of partition case of MapReduce
docket命令
Comply with medical reform and actively layout -- insight into the development of high-value medical consumables under the background of centralized purchase 2022
[sans titre]
点击解锁广和通5G模组“关键词”
剑指 Offer 06. 从尾到头打印链表
从“初代播种”到“落地生花”,广和通在5G商用三年间做了什么?
Server operation and maintenance environment security system (Part 2)
uniapp中常用到的方法(部分) - 時間戳問題及富文本解析圖片問題
idea新建项目报错org.codehaus.plexus.component.repository.exception.ComponentLookupException:
2D human pose estimation with residual log likelihood estimation (RLE) [link only]
姿态估计之2D人体姿态估计 - Human Pose Regression with Residual Log-likelihood Estimation(RLE)[仅链接]
Scope and closure
HKU and NVIDIA | factuality enhanced language models for open ended text generation