当前位置:网站首页>滤波数据分析
滤波数据分析
2022-06-24 19:28:00 【jk_101】
目录
滤波器差分方程
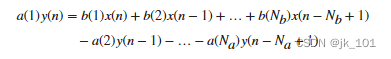
滤波器是一种数据处理技术,可滤掉数据中的高频波动部分使之平滑或从数据中删除特定频率的周期趋势。在 MATLAB 中,filter 函数会根据以下差分方程对数据 x 的向量进行滤波,该差分方程描述一个抽头延迟线滤波器。

在此方程中,a 和 b 是滤波器系数的向量,Na 是反馈滤波器阶数,Nb 是前馈滤波器阶数。n 是 x 的当前元素的索引。输出 y(n) 是 x 和 y 的当前元素和前面元素的线性组合。
filter函数使用指定的系数向量a和b对输入数据 x 进行滤波。
交通流量数据的移动平均值滤波器
filter 函数是实现移动平均值滤波器的一种方式,它是一种常见的数据平滑技术。
以下差分方程描述一个滤波器,它对关于当前小时和前三个小时的数据的时间相关数据求平均值。
![]()
导入描述交通流随时间变化的数据,并将第一列车辆计数赋给向量 x。
load count.dat
x = count(:,1);创建滤波器系数向量。
a = 1;
b = [1/4 1/4 1/4 1/4];计算数据的 4 小时移动平均值,同时绘制原始数据和滤波后的数据。
y = filter(b,a,x);
t = 1:length(x);
plot(t,x,'--',t,y,'-')
legend('Original Data','Filtered Data')如图所示:

修改数据振幅
此示例显示如何通过应用传递函数来修改数据向量的振幅。在数字信号处理中,滤波器通常由传递函数表示。以下差分方程的 Z 变换

是以下传递函数。

使用传递函数

修改 count.dat 中数据的振幅。加载数据并将第一列分配到向量 x。
load count.dat
x = count(:,1); 根据传递函数
创建滤波器系数向量。
a = [1 0.2];
b = [2 3];计算滤波后的数据,同时绘制原始数据和滤波后的数据。此滤波器主要修改原始数据的振幅。
y = filter(b,a,x);
t = 1:length(x);
plot(t,x,'--',t,y,'-')
legend('Original Data','Filtered Data')如图所示:

边栏推荐
- Kernel Debugging Tricks
- Remove the screen recording reminder (seven cattle cloud demo)
- About transform InverseTransformPoint, transform. InverseTransofrmDirection
- 直击“三夏”生产:丰收喜报频传 夏播紧锣密鼓
- 介绍BootLoader、PM、kernel和系统开机的总体流程
- Big factories go out to sea and lose "posture"
- Unity about conversion between local and world coordinates
- 力扣每日一题-第25天-496.下一个更大元素Ⅰ
- Memcached comprehensive analysis – 2 Understand memcached memory storage
- 虚拟机CentOS7中无图形界面安装Oracle(保姆级安装)
猜你喜欢

Alibaba cloud lightweight servers open designated ports

Analysis of BBR congestion control state machine

Failed to open after installing Charles without any prompt

Analyse complète Memcached – 2. Comprendre le stockage de mémoire pour Memcached

Bld3 getting started UI

Transport layer UDP & TCP

EditText 控制软键盘出现 搜索

煮茶论英雄!福建省发改委、市营商办领导一行莅临育润大健康事业部交流指导

Why are life science enterprises on the cloud in succession?

memcached全面剖析–3. memcached的删除机制和发展方向
随机推荐
Analyse complète Memcached – 2. Comprendre le stockage de mémoire pour Memcached
2022国际女性工程师日:戴森设计大奖彰显女性设计实力
架构实战营 第 6 期 毕业设计
socket(2)
WMI and PowerShell get TCP connection list
优雅的自定义 ThreadPoolExecutor 线程池
ping: www.baidu. Com: unknown name or service
About transform InverseTransformPoint, transform. InverseTransofrmDirection
Volcano becomes spark default batch scheduler
Tutorial on obtaining JD cookies by mobile browser
Interpretation of ebpf sockops code
Unity关于本地坐标和世界坐标之间的转换
Datakit 代理实现局域网数据统一汇聚
Blender's landscape
Auto. JS to realize automatic unlocking screen
去掉录屏提醒(七牛云demo)
CondaValueError: The target prefix is the base prefix. Aborting.
EditText 控制软键盘出现 搜索
Remember the frequently forgotten problem of continuously reading pictures -%04d
Wireshark packet capturing skills summarized by myself