当前位置:网站首页>Digital image processing - Chapter 6 color image processing
Digital image processing - Chapter 6 color image processing
2022-07-27 07:08:00 【Hai Ou Wan Ramen】
Catalog
6.2.2 CMY and CMYK Color models
6.3 Pseudo color image processing
6.3.2 Gray to color transformation
6.4 Fundamentals of full-color image processing
6.5.4 Hue and color correction
6.7 Image segmentation based on color
6.7.1 HSI Segmentation of color space
6.7.2 RGB Segmentation in vector space
In image processing , The use of color is mainly driven by two factors .
- Color is a powerful descriptor , It often simplifies the extraction and recognition of targets from the scene ;
- People can distinguish thousands of color tones and brightness , But in contrast, it can only distinguish dozens of gray tones .
The second factor is particularly important in artificial image analysis .
Color image processing can be divided into two main neighborhoods : Full color processing and pseudo color processing .
6.1 Color foundation
Human perception of object color is determined by the nature of the light reflected by the object . Visible light is composed of relatively narrow frequency bands in the electromagnetic spectrum . If the light reflected by the object is balanced in all visible wavelength ranges , Then it appears white to the observer . However , When an object reflects a finite visible spectrum , It shows a certain color .
Describe the quality of color light source 3 The first basic quantity is radiation 、 Light intensity and brightness .
- radiation : The total amount of energy flowing from the light source , Usually in watts (W) To measure .
- The light intensity : Measured in lumens , It gives a measure of the total energy perceived by the observer from the light source .
- brightness : It is a subjective depiction . It's actually immeasurable . Embodies the concept of colorless intensity , And it is a key factor to describe the feeling of color .
Three primary colors : red (R) green (G) blue (B). Humans are most sensitive to red light , Least sensitive to blue light . The primary and secondary colors of photosynthetic pigments are shown in the figure below :

Brightness is usually used to distinguish different color characteristics 、 Hue and saturation . Brightness expresses the concept of colorless intensity ; Hue is an attribute related to the main wavelength in light wave mixing , Represents the main color perceived by the observer ; Saturation refers to relative purity , Or a white light mixed with tones . Hue and saturation are called chromaticity .
Form any special color of red 、 green 、 The amount of blue is called trichromatic value , And expressed as X,Y and Z. such , A color can be defined as



Available :x+y+z=1


6.2 Color models
The purpose of the color model is , Under certain standards, colors are conveniently described in a generally acceptable way .
6.2.1 RGB Color models
stay RGB In the model , Each color appears in red 、 green 、 In the primary color spectrum of blue . The model is based on Cartesian coordinate system .

import cv2
import matplotlib.pyplot as plt
import numpy as np
plt.figure()
image = cv2.imread(r'G:\4.png')
plt.subplot(2,2,1)
plt.imshow(image)
plt.axis('off')
R, G, B = cv2.split(image)
# Create a picture size full of 0 Matrix
z = np.zeros(image.shape[:2], dtype=np.uint8)
red = cv2.merge([R, z, z]) # The first channel is red , All other channels are 0
green = cv2.merge([z, G, z])
blue = cv2.merge([z, z, B])
plt.subplot(2,2,2)
plt.title('red')
plt.imshow(red)
plt.axis('off')
plt.subplot(2,2,3)
plt.title('green')
plt.imshow(green)
plt.axis('off')
plt.subplot(2,2,4)
plt.title('blue')
plt.imshow(blue)
plt.axis('off')
plt.show()The image can be observed RGB Channel image

6.2.2 CMY and CMYK Color models
Most of the devices that deposit color pigments on paper , Such as color printers and photocopiers , Request input CMY Data or internally RGB To CMY Transformation . The transformation is performed using the following simple operation :

Suppose that all color values are normalized to the interval [0,1] Inside . The above formula shows that the light reflected by the surface coated with cyan pigment does not contain red ( In the formula C=1-R). Similarly , Pure crimson does not reflect green , Pure yellow does not reflect blue .
actually , The black produced by the combined colors for printing purposes is impure . therefore , In order to produce true black , Added a fourth color —— black , Put forward CMYK Model .
take RGB The image is transformed into CMY:
'''-----------------RGB → CMY------------------------'''
import cv2
import imutils
def rgb_cmy(img):
r, g, b = cv2.split(img) # split the channels
# normalization [0,1]
r = r / 255.0
g = g / 255.0
b = b / 255.0
c = 1 - r
m = 1 - g
y = 1 - b
result = cv2.merge((c, m, y)) # merge the channels
return result
if __name__ == '__main__':
img = cv2.imread("G:/7.jpg")
img_CMY = rgb_cmy(img)
img_NEW = img_CMY * 255
#cv2.imwrite('F:/img_CMY.PNG', img_NEW)
cv2.imshow("CMY image", imutils.resize(img_CMY, 666))
cv2.imshow("original image", imutils.resize(img, 666))
cv2.waitKey(0)
cv2.destroyAllWindows()

6.2.3 HSI Color models
When observing colored objects , We use its hue 、 saturation 、 Brightness to describe this object . The definitions of these three have been discussed before .

HSI The important component of color space is the vertical intensity axis 、 The length of the vector to a color point and the angle between the vector and the red axis . It doesn't matter in what shape the chromaticity plane appears , Because any of these shapes can be transformed into other shapes through geometric transformation .


Give a picture of RGB Images in color format , Every RGB Pixel H The components can be obtained by the following formula :


The saturation component is given by :

The intensity component is given by the following formula :

RGB→HSI Image conversion :
'''-----------------RGB → HSI------------------------'''
import cv2
import math
import imutils
import numpy as np
def rgb_hsi(rgb_Img):
img_rows = int(rgb_Img.shape[0])
img_cols = int(rgb_Img.shape[1])
b, g, r = cv2.split(rgb_Img)
# normalization[0,1]
r = r / 255.0
g = g / 255.0
b = b / 255.0
hsi_Img = rgb_Img.copy()
H, S, I = cv2.split(hsi_Img)
for i in range(img_rows):
for j in range(img_cols):
num = 0.5 * ((r[i, j]-g[i, j])+(r[i, j]-b[i, j]))
den = np.sqrt((r[i, j]-g[i, j])**2+(r[i, j]-b[i, j])*(g[i, j]-b[i, j]))
theta = float(np.arccos(num/den))
if den == 0:
H = 0
elif b[i, j] <= g[i, j]:
H = theta
else:
H = math.pi - theta
min_RGB = min(min(b[i, j], g[i, j]), r[i, j])
sum = b[i, j]+g[i, j]+r[i, j]
if sum == 0:
S = 0
else:
S = 1 - 3*min_RGB/sum
H = H/(math.pi)
I = sum/3.0
# Output HSI Images , Expand to 255 To facilitate the display of , commonly H Component in [0,2pi] Between ,S and I stay [0,1] Between
hsi_Img[i, j, 0] = H*255
hsi_Img[i, j, 1] = S*255
hsi_Img[i, j, 2] = I*255
return hsi_Img
if __name__ == '__main__':
rgb_Img = cv2.imread("G:/6.jpg")
hsi_Img = rgb_hsi(rgb_Img)
cv2.imshow('original image', imutils.resize(rgb_Img, 600))
cv2.imshow('HSI image', imutils.resize(hsi_Img, 600))
key = cv2.waitKey(0) & 0xFF
if key == ord('q'):
cv2.destroyAllWindows()

HSI→RGB Image conversion
'''-----------------HSI → RGB------------------------'''
import cv2
import math
import imutils
def hsi_rgb(hsi_img):
img_rows = int(hsi_img.shape[0])
img_cols = int(hsi_img.shape[1])
H, S, I = cv2.split(hsi_img)
# normalization[0,1]
H = H / 255.0
S = S / 255.0
I = I / 255.0
bgr_img = hsi_img.copy()
B, G, R = cv2.split(bgr_img)
for i in range(img_rows):
for j in range(img_cols):
if S[i, j] < 1e-6:
R = I[i, j]
G = I[i, j]
B = I[i, j]
else:
H[i, j] *= 360
if H[i, j] > 0 and H[i, j] <= 120:
B = I[i, j] * (1 - S[i, j])
R = I[i, j] * (1 + (S[i, j] * math.cos(H[i, j] * math.pi / 180)) / math.cos((60 - H[i, j]) * math.pi / 180))
G = 3 * I[i, j] - (R + B)
elif H[i, j] > 120 and H[i, j] <= 240:
H[i, j] = H[i, j] - 120
R = I[i, j] * (1 - S[i, j])
G = I[i, j] * (1 + (S[i, j] * math.cos(H[i, j] * math.pi / 180)) / math.cos((60 - H[i, j]) * math.pi / 180))
B = 3 * I[i, j] - (R + G)
elif H[i, j] > 240 and H[i, j] <= 360:
H[i, j] = H[i, j] - 240
G = I[i, j] * (1 - S[i, j])
B = I[i, j] * (1 + (S[i, j] * math.cos(H[i, j] * math.pi / 180)) / math.cos((60 - H[i, j]) * math.pi / 180))
R = 3 * I[i, j] - (G + B)
bgr_img[i, j, 0] = B * 255
bgr_img[i, j, 1] = G * 255
bgr_img[i, j, 2] = R * 255
return bgr_img
if __name__ == '__main__':
hsi_Img = cv2.imread("G:/HSI.jpg")
rgb_Img = hsi_rgb(hsi_Img)
cv2.imshow('original image', imutils.resize(rgb_Img, 600))
cv2.imshow('RGB image', imutils.resize(hsi_Img, 600))
key = cv2.waitKey(0) & 0xFF
if key == ord('q'):
cv2.destroyAllWindows()

You can observe what you finally get RGB The image is different from the original image .
6.3 Pseudo color image processing
Pseudo color ( Also known as false color ) Image processing involves coloring gray values according to specific criteria , The main application is human visualization and interpretation of gray level events in single image or sequence image .
6.3.1 Grayscale layering
If an image is described as a three-dimensional function , Then the layered method can be regarded as placing some planes parallel to the coordinate plane of the image , then , Each plane is in the intersecting area “ cutting ” Image function .

In the figure li Represents a certain gray level of a gray-scale image ,li Divide the grayscale image into two parts , And give different colors to the two parts .

When using more gray levels , The mapping function adopts a ladder form .
6.3.2 Gray to color transformation
Execute on the grayscale of any input pixel 3 An independent transformation , And then 3 The transformation results are respectively sent to the red of the color TV monitor 、 green 、 Blue channel . This method produces a composite image , The color content of the composite image is modulated by the characteristics of the transform function . These are transformations on the brightness value of the image , Not a function of position .
A monochrome image :

Multiple monochrome images :

6.4 Fundamentals of full-color image processing
Full color image processing methods are divided into two categories :
- Process each component image separately , Then a processed synthetic color image is formed from the separately processed component images .
- Directly process color pixels . Because full color images have at least 3 Weight , So color pixels are actually vectors .
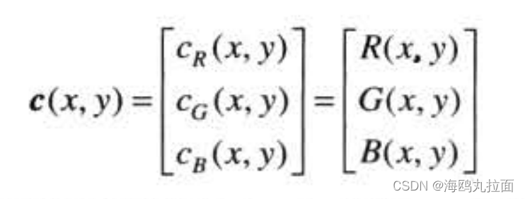
Make c representative RGB An arbitrary vector in color space :

Color components are coordinates (x,y) Function of , Expressed as

The processing of each color component is equivalent to vector based processing , Two conditions must be met :
- Processing must be available for both vector and scalar .
- Operations on each component of a vector must be independent of other components .
6.5 Color transformation
Color transformation mainly involves processing the components of color image in a single color model , Rather than the transformation of these components between different models .
6.5.1 The formula
Similar to gray-scale transformation technology , We use the color transformation expressed by the following formula as the model :

In style f(x,y) It's a color input image ,g(x,y) It is the transformed or processed color output image ,T Is in (x,y) On the spatial neighborhood of f An operator of operation . The pixel value here is selected from the color space 、 Used to represent the color space of an image 3 A tuple or 4 Tuples ( namely 3 Values or 4 Combination of values ).

ri and si yes f(x,y) and g(x,y) The variable of the color component at any point ,n Is the number of color components ,{T1,T2...,Tn} It's right ri Operation produces si A set of transformations or color mapping functions .
6.5.2 Complementary colors
On the colored ring as shown in the figure , The other end directly opposite to the hue is called complementary . Complementary colors are useful for enhancing the details embedded in the dark areas of color images —— Especially when the area is dominant in size .

6.5.3 Color layering
Highlighting a specific color area in the image is very useful for separating the target object from its surroundings .
There are two ways of thinking :
- Show colors of interest to highlight them from the background .
- Use areas defined by colors like templates , In order to deal with
One of the simple ways to layer color images is , Map some colors outside the region of interest to neutral colors that are not prominent . If the color of interest changes from wide to W、 Suck you in the prototype ( On average ) Color points and have components (a1,a2,...,an) The cube ( Or hypercube , here n>3) Surrounded by , Then the necessary set of transformations is

If you use a sphere to specify the color of interest , Then the above formula becomes

6.5.4 Hue and color correction
L*a*b* The color component is given by the following formula :

In style ,

among XW,YW and ZW Is the reference white three excitation value , namely CIE standard D65 A perfect diffuse white under illumination .
Be similar to HSI System ,L*a*b* The system is an excellent brightness and color separator , It is very useful in image manipulation and image compression .
The main significance of calibrating the imaging system is , It allows the imbalance between hue and color to be corrected interactively and independently , That is, operate in two orders .
6.5.5 Histogram Processing
Histogram equalization will automatically determine a transformation , This transformation attempts to produce an image with a histogram of uniform gray values .
Because the color image is composed of multiple components , So we must consider adapting to multiple components and / Or gray level technology of histogram . Histogram equalization of color image components alone is usually unwise , This will produce incorrect colors . A logical approach is , Expand the color gray evenly , And keep the color itself ( Namely hue ) unchanged .
6.6 Smooth and sharpen
6.6.1 Color image smoothing
Gray level image smoothing can be regarded as a spatial filtering operation , In this operation , The coefficients of the filter template have the same value . When the template slides over the image to be smoothed , Each pixel is replaced by the average value of pixels in the neighborhood defined by the template .
In one RGB In color image , Make Sxy Indicates that the center is located in (x,y) A set of coordinates defined by the neighborhood of . In this neighborhood RGB The vector average of the components is


We regard the components of this vector as several scalar images , These scalar images can be processed by traditional gray level neighborhood , Single leveling RGB Each plane of the image is obtained .
such , We can conclude that : Neighborhood average smoothing can be performed on the basis of each color plane , Its results and use RGB The color vector execution average is the same .
import cv2
import numpy as np
import matplotlib.pyplot as plt
# Read the picture
img = cv2.imread(r'G:\8.jpg')
source = cv2.cvtColor(img,cv2.COLOR_BGR2RGB)
# Mean filtering
result = cv2.blur(source, (5,5))
# The graphics
titles = ['Source Image', 'Blur Image']
images = [source, result]
for i in range(2):
plt.subplot(1,2,i+1), plt.imshow(images[i], 'gray')
plt.title(titles[i])
plt.xticks([]),plt.yticks([])
plt.show()
It is observed that when the convolution kernel is set to 5*5 when , Choose image processing effect is not obvious .
The following figure for 10*10, It is obvious that the image becomes more blurred .

6.6.2 Color image sharpening
Use Laplace transform method to image ( tip ) Sharpening .
stay RGB In the color system , vector c Laplace transform of is

It tells us that we can calculate the Laplace transform of full-color images by calculating the Laplace transform of each component image separately .
6.7 Image segmentation based on color
Segmentation is the process of dividing an image into multiple regions .
6.7.1 HSI Segmentation of color space
stay HSI In the space , Different hues can be used for segmentation , Take saturation as a template . Luminance images are not often used in color image segmentation , Because it does not carry color information .
6.7.2 RGB Segmentation in vector space
Although in HSI The work of space is more intuitive , But segmentation is used RGB The neighborhood where the color vector can get better results .
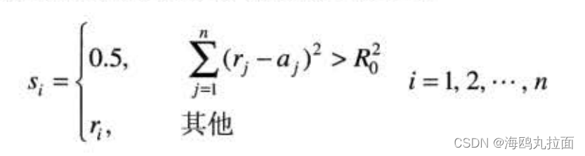
Suppose our aim is to RGB Objects that segment a specific colored area in an image . Given a set of color samples with representative colors of interest , We can get the color we want to divide “ Average ” It is estimated that . use RGB vector a To represent this average color . The purpose of segmentation is to segment each of the given images RGB Pixels are divided according to whether they have a specified range of colors . The simplest similarity measure is Euclidean distance .
Make z Express RGB Any point in space . If the distance between them is less than a certain prediction D0, said z And a Is similar to that of .z and a The Euclidean distance between is given by the following formula .

The following table R,G,B It's a vector a and z Of RGB component . Satisfy D(z,a)≤D0 The trajectory of the point of is with radius D0 A solid sphere .
A useful generalization of the above formula is the distance metric in the form of the following formula :

among C Represents the covariance matrix of the representative color samples we want to segment .
import cv2
import numpy as np
import matplotlib.pyplot as plt
img = 'strawberry_color.bmp'
f_bgr = cv2.imread(r'G:\4.png', cv2.IMREAD_COLOR)
f_rgb = cv2.cvtColor(f_bgr, cv2.COLOR_BGR2RGB)
bndbox = {'xmin': 89,
'ymin': 60,
'xmax': 320,
'ymax': 280}
f_rec = cv2.rectangle(f_rgb.copy(),
(bndbox['xmin'], bndbox['ymin']),
(bndbox['xmax'], bndbox['ymax']),
color=(255, 255, 0), thickness=5)
plt.imshow(f_rec)
plt.show()

def Euclid(f, box, d0):
"""
Calculate Euclid distance and return binarized image
:param f: img
:param box: (xmin, ymin, xmax, ymax) # VOC format
:param d0: condition
:return: binarized image according to condition
"""
H, W, C = f.shape
a = np.zeros(C, dtype='float')
b = np.zeros((H, W), dtype='int')
for c in range(C):
a[c] = np.mean(f[box[0]:box[2], box[1]:box[3] ,c])
a = a.reshape(C, 1)
for w in range(W):
for h in range(H):
z = f[h, w, :].reshape(C, 1)
d = z - a
DE = np.dot(d.T, d)
if DE.sum() <= d0:
b[h, w] = 1
return b
def binary_mix(f, b):
"""
mix input image and binarized image
:param f: input image
:param b: its binarized image with only two values 0 and 1
:return: g
"""
g = f.copy()
H, W, C = g.shape
for c in range(C):
g[:, :, c] = np.multiply(g[:, :, c], b)
return g
# Euclid distance
D0_0 = 5000
g_u_b_0 = Euclid(f_rgb, list(bndbox.values()), d0=D0_0)
D0_1 = 10000
g_u_b_1 = Euclid(f_rgb, list(bndbox.values()), d0=D0_1)
fig, axs = plt.subplots(2, 2, figsize=(10, 10))
axs[0][0].set_title('g_u_b_0: D0={}'.format(D0_0))
axs[0][0].imshow(g_u_b_0, cmap='gray')
axs[0][1].set_title('binary_mix(f_rgb, g_u_b_0): D0={}'.format(D0_0))
axs[0][1].imshow(binary_mix(f_rgb, g_u_b_0))
axs[1][0].set_title('g_u_b_1: D0={}'.format(D0_1))
axs[1][0].imshow(g_u_b_1, cmap='gray')
axs[1][1].set_title('binary_mix(f_rgb, g_u_b_1): D0={}'.format(D0_1))
axs[1][1].imshow(binary_mix(f_rgb, g_u_b_1))
plt.suptitle('Euclid distance')
plt.show()

def single_Manhattan(f, box, eta, channel=0):
"""
Calculate single channel Manhattan distance and return binarized image
:param f: img
:param box: (xmin, ymin, xmax, ymax) # VOC format
:param eta: condition
:param channel: int, channel number
:return: binarized image according to condition
"""
H, W, C = f.shape
b = np.zeros((H, W), dtype='int')
c = f[box[0]:box[2], box[1]:box[3] , channel]
a = np.mean(c)
sigma = np.std(c)
for w in range(W):
for h in range(H):
z = f[h, w, channel]
if np.abs(z - a) <= eta * sigma:
b[h, w] = 1
return b
# single red channel Manhattan distance
eta0 = 1.25
channel0 = 0
g_m_b_0 = single_Manhattan(f_rgb, list(bndbox.values()), eta=eta0, channel=channel0)
fig, axs = plt.subplots(2, 2, figsize=(10, 10))
axs[0][0].set_title('origin')
axs[0][0].imshow(f_rgb)
axs[0][1].set_title('origin with single channel: channel={}'.format(channel0))
axs[0][1].imshow(f_rgb[:, :, channel0], cmap='Reds')
axs[1][0].set_title(r'g_m_b_0: \eta={}'.format(eta0))
axs[1][0].imshow(g_m_b_0, cmap='gray')
axs[1][1].set_title(r'binary_mix(f_rgb, g_m_b_0): \eta={}'.format(eta0))
axs[1][1].imshow(binary_mix(f_rgb, g_m_b_0))
plt.suptitle('single red channel Manhattan distance')
plt.show()

# multi-channel average Manhattan distance
def multi_avg_Manhattan(f, box, eta):
"""
Calculate multi-channel average Manhattan distance and return binarized image
:param f: img
:param box: (xmin, ymin, xmax, ymax) # VOC format
:param eta: condition
:return: binarized image according to condition
"""
H, W, C = f.shape
a = np.zeros(C, dtype='float')
sigma = np.zeros(C, dtype='float')
b = np.zeros((H, W), dtype='int')
for c in range(C):
sam = f[box[0]:box[2], box[1]:box[3] ,c]
a[c] = np.mean(sam)
sigma[c] = np.std(sam)
sigmaL1 = np.sum(sigma)
a = a.reshape(C, 1)
for w in range(W):
for h in range(H):
z = f[h, w, :].reshape(C, 1)
d = z - a
DM = np.sum(np.abs(d))
if DM <= eta * sigmaL1:
b[h, w] = 1
return b
eta1 = 1.1
g_m_b_1 = multi_avg_Manhattan(f_rgb, list(bndbox.values()), eta=eta1)
fig, axs = plt.subplots(1, 2, figsize=(10, 5))
axs[0].set_title(r'g_m_b_1: \eta={}'.format(eta1))
axs[0].imshow(g_m_b_1, cmap='gray')
axs[1].set_title(r'binary_mix(f_rgb, g_m_b_1): \eta={}'.format(eta1))
axs[1].imshow(binary_mix(f_rgb, g_m_b_1))
plt.suptitle('multi-channel average Manhattan distance')
plt.show()

6.7.3 Color edge detection
Edge detection is an important tool for image segmentation . In this section , Our interest is to calculate edges based on a single image , Instead of directly calculating edges in color vector space .
For scalar functions f(x,y), Gradient is coordinate (x,y) Point at f The vector of the greatest change in the direction of ideas .
Make r、g、b Is the edge RGB Color space R,G,B The unit vector of the axis , And define the vector

and

Make gxx,gyy and gxy Represents the dot product of these vectors , As shown below :

R,G,B And from this g Item is x and y Function of . Use this notation , Can prove that c(x,y) The direction of the maximum rate of change can be determined by the angle

give , And at the angle
Point in the direction (x,y) The value of the rate of change at is given by the following formula :

6.8 Noise in color images
Usually , The noise content of color image has the same characteristics in each color channel , However, the influence of noise on different color channels is different . One possibility is the electronic failure of individual channels . However , Different noise levels are more likely to be caused by the difference in the relative illumination intensity of each color channel .
6.9 Color image compression
Because the number of bits required to describe color is larger than that required to describe gray level 3~4 times , So data compression plays a central role in storing and transmitting color images .
边栏推荐
- PNA peptide nucleic acid modified peptide suc Tyr Leu Val PNA | suc ala Pro Phe PNA 11
- DNA(脱氧核糖核酸)供应|碳纳米管载核酸-DNA/RNA材料|DNA/RNA核酸修饰磁性纳米颗粒
- Code random notes_ Hash_ 242 effective letter heterotopic words
- Li Hongyi 2020 deep learning and human language processing dlhlp core resolution-p21
- Image super-resolution evaluation index
- O2O电商线上线下一体化模式分析
- Cass11.0.0.4 for autocad2010-2023 dog free usage
- vscode运行命令报错:标记“&&”不是此版本中的有效语句分隔符。
- Datascience: data generation adds a small amount of noise (customizable noise) to the original data to realize the construction of new data (dataframe format data storage case)
- TS学习(八) :TS中的类
猜你喜欢

齐岳:巯基修饰寡聚DNA|DNA修饰CdTe/CdS核壳量子点|DNA偶联砷化铟InAs量子点InAs-DNA QDs

【11】 Binary code: "holding two roller handcuffs, crying out for hot hot hot"?

Reflection on pytorch back propagation

Music website management system based on SSM

Summary of APP launch in vivo application market

大疆livox定制的格式CustomMsg格式转换pointcloud2

Bert and RESNET can also be trained on mobile phones?!

Auto encoder (AE), denoising auto encoder (DAE), variable auto encoder (VAE) differences

Peptide nucleic acid oligomer containing azobenzene monomer (nh2-tnt4, n-pnas) Qiyue biological customization

VScode连接远程服务器开发
随机推荐
强网杯2021 pwn 赛题解析——babypwn
网易云信亮相 GIAC 全球互联网架构大会,解密新一代音视频架构在元宇宙场景的实践...
regular expression
jest单测样式问题【identity-obj-proxy】npm包
Record of pychart running jupyter notebook in virtual environment
DNA coupled PbSe quantum dots | near infrared lead selenide PbSe quantum dots modified DNA | PbSe DNA QDs
Student status management system based on SSM
Add virtual network card and configure OP route in win10
事件捕获方式和冒泡方式—它们的区别是什么?
Numpy array and image conversion
VScode连接远程服务器开发
Event capture and bubbling - what is the difference between them?
Error in running code: libboost_ filesystem.so.1.58.0: cannot open shared object file: No such file or directory
Auto encoder (AE), denoising auto encoder (DAE), variable auto encoder (VAE) differences
Derivative, partial derivative and gradient
PNA肽核酸修饰多肽Suc-Tyr-Leu-Val-pNA|Suc-Ala-Pro-Phe-pNA 11
DNA modified zinc oxide | DNA modified gold nanoparticles | DNA coupled modified carbon nanomaterials
Shell common commands - memos
Netease Yunxin appeared at the giac global Internet architecture conference to decrypt the practice of the new generation of audio and video architecture in the meta universe scene
EasyCVR平台播放设备录像时,拖动时间轴播放无效是什么原因?