当前位置:网站首页>[document translation] camouflaged object detection
[document translation] camouflaged object detection
2022-06-29 13:49:00 【1900_】
List of articles
- Concealed Object Detection
- Abstract
- 1 Introduction
- 2 Related Work
- 3 COD10K Data sets
- 4 COD frame
- 5 COD BENCHMARK
- 6 The downstream application
- 7 Potential research directions
- 8 summary
Concealed Object Detection
Camouflage target detection
Download address of the original paper :https://arxiv.org/pdf/2102.10274.pdf
Abstract
We detect hidden objects for the first time (COD) A systematic study was carried out , It aims to identify the target embedded in the background visually . The high intrinsic similarity between the hidden object and its background makes COD Compared with traditional object detection / Segmentation is more challenging . To better understand the task , We have a collection called COD10K Large scale data sets of , The data set is composed of 10000 Image composition , covers 78 Hidden objects in various real scenes in object categories . Besides , We also provide rich annotations , Include object categories 、 Object boundary 、 Challenging attributes 、 Object level labels and instance level annotations . our COD10K It's the biggest so far COD Data sets , With the richest annotations , Be able to fully understand hidden objects , It can even be used to help with other visual tasks , Such as testing 、 Division 、 Classification, etc. . Based on animals' motivation to hunt in the wild , We also COD Designed a simple but powerful baseline, It's called search identification network (SINet).SINet The performance on all test data sets exceeded 12 The most cutting-edge baselines, This makes it have a powerful common architecture , It can be used as COD The catalyst for future research . Last , We provide some interesting findings , Some potential applications and future directions are emphasized . To stimulate research in this new field , Our code 、 Datasets and online demos can be found on our project page http://mmcheng.net/cod.
1 Introduction
Can you in 10 Seconds in the picture 1 Find hidden objects in each image of the ? Biologists call it background matching camouflage (background matching camouflage, BMC)[2], One or more of the objects is trying to adjust its color , Make it relevant to the surrounding environment “ seamless ” matching , To avoid being discovered [3]. Sensory ecologists found that , such BMC Strategies work by deceiving the observer's visual perception system . Of course , Solve hidden target detection (COD) It takes a lot of visual perception knowledge . understand COD It is not only of scientific value in itself , And it is also very important for applications in many basic fields , For example, computer vision ( for example , Search and rescue work or rare species discovery )、 Medical Science ( for example , Polyp segmentation [7]、 Pulmonary infection segmentation [8])、 Agriculture ( for example , Locust detection to prevent invasion ) And art ( for example , Entertainment art [9]).

In the figure 2 in , We give a general 、 Examples of significant and hidden object detection . The high degree of intrinsic similarity between goals and non goals makes COD Compared with traditional target segmentation / Testing is more challenging 【10】、【11】、【12】. Despite the increasing attention recently , But about COD There is still very little research , This is mainly due to the lack of large enough data sets and standard benchmarks , Such as Pascal VOC【13】、ImageNet【14】、MS-COCO【15】、ADE20K【16】 and DA VIS【17】
In this paper , For the first time, we used deep learning to do a comprehensive study on the task of hidden target detection , It brings a new perspective for target detection from the perspective of hiding .
1.1 Contributions
Our main contributions are as follows :
1)COD10K Data sets . Based on the above objectives , We carefully collected large-scale covert target detection data sets COD10K. Our dataset contains 10000 Images , cover 78 Object categories , Like land 、 amphibians 、 flight 、 Aquatic animals, etc . All hidden images use categories 、 Bounding box (bounding-box)、 Object level (object-level) And instance level (instance-level) Labels are annotated hierarchically ( chart 3), For many related tasks , As proposed by the object 、 location 、 Semantic edge detection 、 Transfer learning [21]、 Domain adaption [22], wait . Every hidden image is endowed with challenging properties ( for example , Shape complexity SC、 Undefined boundary IB、 Occlusion SOC), These attributes are in the real world and matting level Found in the tag ( This needs to be ∼ Each image 60 minute ). These high-quality tags help to gain insight into the performance of the model .
2)COD frame . We propose a simple and effective framework , be known as SINet( Search the identification network ). It is worth noting that ,SINet The total training time is 4 Hours , In all existing COD The data set has reached the latest level (SOTA), This shows that it can provide a potential solution for hidden target detection . Our network has also produced some interesting findings ( for example , The search and identification strategy applies to COD), Make various potential applications more feasible .
3)COD The benchmark (Benchmark). According to the collection of COD10K And previous data sets 【24】、【25】, We are right. 12 strip SOTA The baseline was rigorously evaluated , Make our COD Research becomes the biggest COD Research . We report the baseline in two cases , That is superclass (super-class) And subclasses (sub-class). We also track the progress of the community through online benchmarks (http://dpfan.net/camouflage/).
4) Downstream applications . In order to further support the research in this field , We developed an online demo (http://mc.nankai.edu.cn/cod), Make it easy for other researchers to test their scenarios . Besides , We also showed some potential applications , Such as medicine 、 manufacturing 、 Agriculture 、 Art, etc .
5) Future direction . Based on the proposed COD10K, We also discussed ten promising research directions in the future . We found that , The problem of hidden target detection is far from being solved , There is still a lot of room for improvement .

This article builds on and extends our conference version in several ways [1]. First , We are right. COD10K A more detailed analysis , Including classification 、 Statistics 、 Comments and parsing . secondly , We connect the decoder by introducing a neighbor (neighbor connection decoder,NCD) And group inversion note (group-reversal attention,GRA) To improve SINet The performance of the model . Third , We have conducted a large number of experiments to verify the effectiveness of our model , Some ablation experiments are provided for different modules in our framework (ablation studies ). Fourth , We provide detailed superclass and subclass benchmarks , And on the new COD The task is discussed in more depth . Last , Based on our benchmark results , We have reached some important conclusions , It also points out the hidden object sorting 、 Hide object extraction 、 Hide target instance segmentation (concealed object ranking, concealed object proposal, concealed instance segmentation) And so on .
2 Related Work
In this section , We briefly reviewed the closely related work . stay [10] after , We roughly divide target detection into three categories : commonly 、 Significant and hidden target detection (generic, salient, and concealed).
** Universal target segmentation (Generic Object Segmentation ,GOS)** One of the most popular directions in computer vision is general object segmentation [5]、[26]、[27]、[28]. Please note that , Generic objects can be prominent , It can also be hidden . Hidden objects can be viewed as difficult situations for general objects . Typical GOS Tasks include semantic segmentation and panoramic segmentation ( See the picture 2 b).
** Salient object detection (Salient Object Detection,SOD)** This task aims to identify the most eye-catching objects in the image , Then segment its pixel level contour 【29】、【30】、【31】. utilize SOD Its flagship product is Huawei's smart phone , It USES SOD Technology to make what they call “AI Selfie ”. lately , Qin and others will SOD The algorithm is applied to two ( near ) Business applications :AR COPY&PASTE and OBJECT CUT. These applications have attracted great attention (12K github stars), And has an important practical impact . Although the term “ remarkable ” Essentially with “ hide ”(standout vs. immersion) contrary , But significant objects can still be COD Provide important information , for example , Images containing prominent objects can be used as negative samples . Yes SOD It is beyond the scope of this work to conduct a comprehensive review . We recommend that readers refer to recent surveys and benchmark papers 【11】、【34】、【35】、【36】, Learn more about . Our online benchmark is in http://dpfan.net/socbenchmark/.
** Camouflage object detection (Concealed Object Detection,COD)** Yes COD It has a long and rich history in the field of biology and art , It has a great impact on improving our visual perception knowledge . Abbott · Sayer (AbbottThayer)[37] And Hugh · Kurt (HughCott)[38] Two outstanding studies on hidden animals still have great influence . Readers can refer to Stevens Et al , Learn more about this history . After this submission , Also accepted some concurrent engineering 【39】、【40】、【41】.
COD Data sets . The chameleon (CHAMELEON)[24] Is an unpublished dataset , Only 76 Object level ground truth with manual annotation for images (GTs). These images are retrieved from the Internet via the Google search engine “ Hidden animals ” Collected for keywords . Another contemporary data set is CAMO【25】, It has 2.5K Images (2K Used for training ,0.5K Used for testing ), It covers eight categories . It has two sub datasets ,CAMO and MS-COCO, Each sub dataset contains 1.25K Images . Unlike existing data sets ,COD1K The goal is to provide a more challenging 、 Higher quality 、 Annotate more dense datasets .COD10K It is the largest data set of covert target detection so far , contain 10K Images (6K Used for training ,4K Used for testing ). As shown in the table 1.

The type of camouflage . Hidden images can be roughly divided into two categories : Images with natural camouflage and images with artificial camouflage . animal ( Like insects 、 Seahorses and cephalopods ) Use natural camouflage as a survival skill , To avoid predator identification . contrary , Artificial camouflage is often used in art design / Hidden information in the game , Appear in the product manufacturing process ( So called surface defects [42]、 defect detection [43]、[44]), Or in our daily life ( for example , Transparent objects [45]、[46]、[47])
COD The formula . Different from semantic segmentation and other cognitive tasks , Hidden object detection is a class independent task . therefore ,COD The formula is simple and easy to define . Given an image , The task requires a hidden object detection algorithm for each pixel i Assign a label L a b e l i Label_i Labeli∈ {0,1}, among L a b e l i Label_i Labeli Represents pixels i The binary value of .0 The label of is assigned to pixels that do not belong to the hidden object , and 1 The label of indicates that pixels are fully allocated to hidden objects . We focus on the object level (object-level) Hidden object detection , Instance detection will be hidden (instance detection) For our future work .
3 COD10K Data sets
New tasks and datasets [16]、[48]、[49] The emergence of has led to the rapid development of various fields of computer vision . for example ,ImageNet[50] It has completely changed the use of depth model in visual recognition . For this reason , We do research and development COD The goal of the dataset is :(1) Provide a new and challenging target detection task from the perspective of concealment ,(2) Promote research on several new topics , as well as (3) Inspire new ideas . chart 1 Shows COD10K An example of . We will provide... From three key aspects COD10K Details of , Including image acquisition 、 Professional notes and data set functions and statistics .
( The data set is not written , If you are interested, you can read the original paper )
3.1 Image acquisition
3.2 Professional notes
3.3 Dataset features and statistics
4 COD frame
4.1 Network Overview
chart 13 The proposed SINet( Search and identify the network ) The overall hidden object detection framework . Next , We will explain our motivation and introduce the Network Overview

motivation . Biological research [58] indicate , When predators Hunt , First, we will judge whether there are potential prey , in other words , It will look for prey . then , Can identify the target animal ; Last , It can be caught .
Introduce . There are several ways 【59】、【60】 indicate , Satisfactory performance depends on re optimization strategy ( That is, from thick to thin ), The strategy is considered as a combination of several sub steps . It also shows that , Decoupling complex targets can break the performance bottleneck . our SINet The model includes the first two stages of hunting , Search and identify . To be specific , Previous stage ( The first 4.2 section ) Responsible for searching for hidden objects , The latter stage ( The first 4.3 section ) Is used to accurately detect hidden objects in a cascading manner .
Next , We introduced the details of the three main modules in detail , Include
a) Texture enhancement module (TEM), This module is used to capture fine-grained textures with enlarged context clues ;
b) Neighbor connection decoder (NCD), Can provide location information ; and
c) Cascade group reversal note (GRA) block , They work together , Make a rough prediction from the deep level .
4.2 Search phase
feature extraction For input images (WxHx3, Three channel image ) A set of features { f k , k ∈ { 1 , 2 , 3 , 4 , 5 } yes from R e s 2 N e t − 50 carry take Out Come on Of } \{f_k,k \in \{1,2,3,4,5\} It's from Res2Net-50 extracted \} { fk,k∈{ 1,2,3,4,5} yes from Res2Net−50 carry take Out Come on Of }( The first three layers have been removed , namely “average pool”,“1000-d fc ”,“softmax”). therefore , Each feature f k f_k fk The resolution is H / 2 k × W / 2 k , k ∈ { 1 , 2 , 3 , 4 , 5 } H/2^k \times W/2^k,k \in \{1,2,3,4,5\} H/2k×W/2k,k∈{ 1,2,3,4,5}, Coverage from high resolution 、 Weak semantics to low resolution 、 A pyramid of features with strong semantics
Texture enhancement module (TEM) European scientific experiments have confirmed , In the human visual system , A group of receptive fields of different sizes helps to highlight the area near the fovea of the retina , This region is very sensitive to small spatial displacements [62]. This makes us in the search phase ( Usually in a small / In local space ) Use TEM【63】 To incorporate more distinctive feature representations (discriminative feature representations). Pictured 13 Shown .
Every TEM There are four parallel residual branches (residual branches) form { b i , i = 1 , 2 , 3 , 4 } \{b_i,i=1,2,3,4\} { bi,i=1,2,3,4}, With different expansion rates (dilation rates) d ∈ 1 , 3 , 5 , 7 d∈ {1,3,5,7} d∈1,3,5,7 And a quick branch ( Grey arrow ). In each branch b i b_i bi in , The first convolution layer is used 1×1 Convolution operation (Conv1×1) Reduce the channel size to 32.
Then there are the other two layers : a ( 2 i − 1 ) × ( 2 i − 1 ) a(2i− 1) ×(2i− 1) a(2i−1)×(2i−1) Convolution layer sum of 3×3 Convolution layer ( Has a specific expansion rate ( 2 i − 1 w h e n i > 1 2i-1 \ \ when \ i > 1 2i−1 when i>1 ). then , Take the first four branches b i , 1 , 2 , 3 , 4 {b_i,1,2,3,4} bi,1,2,3,4 In series , And pass 3×3 Convolution reduces the channel size to C. Be careful , We set the default settings on the network C=32( In order to balance trade-off Time cost ). Last , Add a unique shortcut Branch , The entire module is then fed to R e L U ReLU ReLU function , To obtain output characteristics f k ′ f{_k}' fk′.
Besides , There are several jobs (e.g Inception-V3[64]) Indicates that the size is ( 2 i − 1 ) × ( 2 i − 1 ) (2i− 1) ×(2i− 1) (2i−1)×(2i−1) The standard convolution operation can be decomposed into two steps , Convolution kernels are ( 2 i − 1 ) × 1 (2i-1)\times 1 (2i−1)×1 and 1 × ( 2 i − 1 ) 1 \times(2i-1) 1×(2i−1) The two steps to success , Without reducing the presentation ability , Improved reasoning efficiency . All these ideas are based on the fact that , That is, the grade is 1 Of 2 dimension kernel Equivalent to a series of one-dimensional convolutions [65]、[66]. in short , Compared with the standard receptive field block structure ,TEM Added one with a larger expansion rate (dilation rate) The branch of , To expand the receptive field , The standard convolution is further replaced by two asymmetric convolution layers . Please refer to figure for more details 13.
Neighbor connection decoder (NCD).
just as Wu wait forsomeone 【63】 Observed , Low level features consume more computing resources due to their large spatial resolution , But the contribution to performance is small . Based on this observation , We decided to aggregate only the top three features , To gain more effective learning ability , Instead of taking all feature pyramids into account . say concretely , From the first three TEM After obtaining candidate features in , In the search phase , We need to locate hidden objects .
However , When aggregating multiple feature pyramids , Two key issues remain ; namely , How to maintain semantic consistency within a layer , And how to connect context across layers . ad locum , We propose to use neighbor connection decoder (neighbor connection decoder ,NCD) To solve these problems . More specifically , We use the neighbor connection function to modify some decoder components (PDC)[63], Three refined features are obtained f k n c = F N C ( f k ′ ; W N C u ) , k ∈ { 3 , 4 , 5 } a n d u ∈ { 1 , 2 , 3 } f_{k}^{nc}=F_{NC}(f_k';W_{NC}^{u}),k \in \{3,4,5\} \ and \ \ u \in \{1,2,3\} fknc=FNC(fk′;WNCu),k∈{ 3,4,5} and u∈{ 1,2,3}, The formula is as follows :

among g [ ⋅ ; W N C u ] g[·;W_{NC}^{u}] g[⋅;WNCu] It means a 3×3 Convolution layer , Then there is a batch normalization operation . To ensure shape matching between candidate features , We use upper sampling ( for example ,2 Time ) operation δ ↑ 2 \delta_{\uparrow}^{2} δ↑2 Before the elements are multiplied ⨂ \bigotimes ⨂ , Then we will f k n c , k ∈ { 3 , 4 , 5 } f_{k}^{nc},k \in \{3,4,5\} fknc,k∈{ 3,4,5} Feed neighbor connection decoder (NCD) Generate a rough location map C 6 C_6 C6.
4.3 Identification phase
Reverse guidance Reverse Guidance As the first 4.2 Section , Our global location map C 6 C_6 C6 From the three highest levels , This captures only the relatively rough position of the hidden object , Ignore structural and textural details ( See the picture 13). To solve this problem , We introduced a principled strategy , By erasing objects (erasing objects ) To mine different hidden areas [7]、[67]、[68]. Pictured 14(b) Shown , We go through sigmoid And reverse operation to obtain output reverse guidance r 1 k r^k_1 r1k. More precisely , We obtain output reverse attention guidance through reverse operation r 1 k r^k_1 r1k, It can be expressed as

δ ↑ 2 \delta_{\uparrow}^{2} δ↑2 It means a x2 Up sampling of , Empathy ,x4 Under sampling . σ ( x ) = 1 / ( 1 + e − x ) \sigma (x)= 1/ (1+e^{-x}) σ(x)=1/(1+e−x) yes sigmoid function , Used to convert mask to interval [0,1]. A minus sign in the middle of the circle , This symbol represents a slave matrix E The inverse operation of subtracting input from , All of these elements are 1.
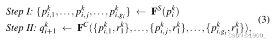
Group boot operation Group Guidance Operation (GGO) Such as [7] Shown , Reverse attention is given by deleting the existing estimated target region from the side output feature , For mining complementary areas and details . suffer [69] Inspired by the , We propose a new grouping operation , To make more effective use of the a priori of the reverse guidance . Pictured 14(a ) Shown , The group boot operation consists of two main steps . First , We will take the candidate features { p i k , i = 1 , 2 , 3 } \ \{p^k_i,i=1,2,3\ \} { pik,i=1,2,3 } Split into... Along the channel dimension g i g_i gi Group , then , In the segmentation feature p i , j k ∈ R H / 2 k × C p^k_{i,j} \in R^{H/2^k\times C} pi,jk∈RH/2k×C Periodically interpolate between leading priors r 1 k r^k_1 r1k, among i ∈ { 1 , 2 , 3 } , j ∈ { 1 , … , g i } , k ∈ { 3 , 4 , 5 } . i∈ \{1,2,3\},j∈ \{1,…,g_i\},k∈ \{3,4,5\}. i∈{ 1,2,3},j∈{ 1,…,gi},k∈{ 3,4,5}. therefore , This operation can be divided into two steps :

among , F S F^S FS and F C F^C FC Split and cascade functions by channel representing candidate channels .

by comparison ,[7] More emphasis is placed on ensuring that candidate features are multiplied directly by a priori value , This may cause two problems :a) Due to the limited distinguishing ability of the network, the features are confused , as well as b) The simple multiplication introduces the true guidance prior value and the false guidance prior value , Therefore, it is easy to accumulate inaccuracies . And [7] comparison , our GGO Guidance priorities and candidate features can be clearly isolated prior to the subsequent refinement process .
Group-Reversal Attention Group reversed attention (GRA). Last , We introduce a method called GRA The residual learning process of the block , This process relies on reverse boot and group boot operations . According to previous research 【59】、【60】, Multi level refinement can improve performance . therefore , We've combined several GRA block
(e.g, G i k 、 i ∈ { 1 , 2 , 3 } , k ∈ { 3 , 4 , 5 } G^k_i、i∈ \{1,2,3\},k∈ \{3,4,5\} Gik、i∈{ 1,2,3},k∈{ 3,4,5}), The rough prediction is gradually refined through different feature pyramids . in general , Every GRA The module has three residual learning processes :
i) We go through group guidance operation The candidate features p i k p^k_i pik and r 1 k r^k_1 r1k Combination , Then use the remaining stages (residual stage) Generate refinement features p i + 1 k p^k_{i+1} pi+1k. The formula is as follows

among , W v W^v Wv Represents a convolution layer , The convolution layer has 3 × 3 3×3 3×3 kernel , Then batch normalization (batch normalization ) layer , Used to change the number of channels from C + g i C+g_i C+gi Reduced to C C C. Please note that , In the default implementation , We are only in the first GRA In block ( namely , When i=1 when ) Reverse the previous guidance. For a detailed discussion , Please refer to the first 5.3 section .
ii) then , We get single channel residual guidance (residual guidance):

By learnable weights W G R A w W^w_{GRA} WGRAw A parameterized .
iii) Last , We only export refined products , As residual prediction . The formula is as follows :

4.4 Implementation details
4.4.1 Learning strategies
our loss The function is defined as : L = L I o U W + L B C E W L = L^W_{IoU}+L^W_{BCE} L=LIoUW+LBCEW, among , L I o U W L^W_{IoU} LIoUW and L B C E W L^W_{BCE} LBCEW Indicates global limits and local ( Pixel level ) Limited Union (IoU) Loss and binary cross entropy (BCE) Weighted intersection of losses . And the widely used criteria in segmentation tasks IoU The loss is different , weighting IoU Loss increases hard pixels (hard pixels) To highlight its importance . Besides , With the standard BCE Loss compared to , L B C E W L^W_{BCE} LBCEW Pay more attention to hard pixels , Instead of giving all pixels equal weight . These losses are defined in relation to 【59】、【70】 The definitions in are the same , Its effectiveness has been verified in the field of salient target detection . ad locum , We export to three parties ( namely C 3 C_3 C3、 C 4 C_4 C4 and C 5 C_5 C5) And global mapping C 6 C_6 C6 Adopt in-depth monitoring . Sample each map ( for example , C 3 u p C^{up}_3 C3up) To and ground-truth map G The same size . therefore , Draw up SINet The total loss of can be expressed as :

4.4.2 Super parameter settings
SINet stay PyTorch To realize , And use Adam optimizer Training 【71】. In the training phase ,batch size Set to 36, The rate of learning is from 1 e − 4 1e-4 1e−4 Start , Every time 50 individual epoch Divide 10. The whole training time is only about 4 Hours , common 100 individual epoch. Running time at Intelr i9-9820X [email protected]×20 Platform and single NVIDIA TITAN RTX GPU Measure up . In the process of reasoning , Each image is resized to 352×352, Then enter it into the suggested pipeline , To get the final prediction , Without any post-processing technology . The reasoning speed is in a single GPU Every second ~45 frame , No input required / Output time .PyTorch and Jittor Source code validation will be publicly available .
5 COD BENCHMARK
5.1 Experimental setup
5.1.1 Evaluation indicators
Mean absolute error (MAE) Widely used in SOD Tasks . Following Perazzi wait forsomeone 【83】 after , We also use MAE(M) Measure to evaluate predicted map and ground-truth Pixel level accuracy between . However , although MAE Indicators help to assess the presence and number of errors , But it is impossible to determine where the error occurred . lately ,Fan Et al. Proposed a method based on human visual perception E-measure( E φ E_φ Eφ)[74], It also evaluates pixel level matching (pixel-level matching ) And image level statistics (image-level statistics). This index is naturally suitable for evaluating the overall and local accuracy of the detection results of hidden targets . Be careful , We report the average in the experiment E φ E_φ Eφ. Because hidden objects usually contain complex shapes ,COD We also need a measure that can judge the structural similarity . therefore , We make use of S-measure( S α S_α Sα)[84] As our structural similarity evaluation index .
Last , Recent research [74]、[84] indicate , weighting F-measure( F β w F^w_β Fβw)[85] Can provide more than traditional F β F_β Fβ More reliable assessment results . therefore , We further consider it as COD Alternative indicators . One of our key evaluation codes can also be found on the project page .
5.1.2 Baseline Models Basic model
We chose according to the following criteria 12 Deep learning baselines【7】、【12】、【25】、【63】、【75】、【76】、【77】、【78】、【79】、【80】、【81】、【82】:
a) Classic architecture ,b) Recently released ,c) Implement... In specific areas SOTA performance
5.1.3 Training/Testing Protocols
To compare with previous versions 【1】 Make a fair comparison , We are right. baselines Using the same training setup 【1】. We are working on the entire chameleon data set and CAMO and COD10K The model is evaluated on the test set .
5.2 Results and data analysis
This section provides the chameleon 、 Camouflage and COD1K Quantitative evaluation results of data sets .
( I'm interested in reading the original paper )
5.3 Ablation Experiment
Now? , We analyzed the chameleon in detail 、 Camouflage and COD10K Proposed on SINet. We decouple the sub components ( Include NCD、TEM and GRA) To verify the effectiveness , As shown in the table 6 Shown . Be careful , During retraining of each ablation variant , We keep the 4.4 The same superparameters mentioned in section .
6 The downstream application
Camouflage target detection system in medicine 、 Art and agriculture have a wide range of downstream applications . ad locum , Because of the common characteristics of these applications , We envision some potential uses , Where the target object has a similar appearance to the background . under these circumstances ,COD The model is well suited as the core component of these applications to mine camouflaged objects . Please note that , These applications are just toy examples that inspire interesting ideas for future research .
6.1 Application 1 : medicine
6.1.1 Polyp segmentation
as everyone knows , Early diagnosis by medical imaging plays a key role in disease treatment . However , Early disease areas / The lesion is usually highly homogenous with the surrounding tissue . therefore , It is difficult for doctors to recognize the lesion area from medical images at an early stage . A typical example is early colonoscopy of polyps , This helps to reduce the cost by approximately 30% The incidence rate of colorectal cancer [7]. Similar to covert target detection , Polyp segmentation ( See the picture 18) There are also some challenges , For example, appearance changes and boundary blurring . The most advanced polyp segmentation model recently PraNet【7】 In polyp segmentation (Top1) And hidden objects (TOP2) Both show good performance . From this point of view , Take us SINet Embedding in this application may result in more robust results .

6.1.2 Pulmonary infection is subdivided
Another example of hidden object detection is the lung infection segmentation task in the medical field . lately ,2019 Coronavirus disease has caused special concern , And led to a global pandemic . Equipped with 2019 Segmentation model of pulmonary infection in coronavirus disease AI The system will help 2019 Early screening for coronavirus disease . More details about this application , See recent subdivision model [8] And research papers [92]. We believe that , Use 2019 The coronavirus disease pulmonary infection segmentation dataset preserves our SINet The model will be another interesting potential application .

6.2 Application 2 : manufacture
6.2.1 Detection of surface defects
In industrial manufacturing , Products of poor quality ( Such as wood 、 Textiles and tiles ) Will inevitably have a negative impact on the economy . From the picture 20 It can be seen that , Surface defects are challenging , Different factors include low contrast 、 Fuzzy boundary, etc . Because the traditional surface defect detection system mainly depends on people , The identification of major problems is very subjective and time-consuming . therefore , Designing an automatic recognition system based on artificial intelligence is very important to improve productivity . We are actively building such a data set , To promote relevant research . Some related papers can be found at the following website : https://github.com/Charmve/Surface-Defect-Detection/tree/master/Papers.
6.3 Application 3 : Agriculture
6.3.1 Pest detection
since 2020 Since the start of the year , From Africa to South Asia , The desert locust plague swept the world . Large numbers of locusts gnaw at the farmland , Completely destroy agricultural products , Cause serious economic losses and famine caused by food shortage . Pictured 21 Shown , The introduction is based on AI Technology to provide scientific monitoring , For achieving sustainable government regulation / Containment is feasible . by COD Model collection of relevant insect data requires a wealth of biological knowledge , This is also a difficult problem in this application .
6.3.2 Fruit maturity test
In the early stages of maturity , Many fruits look like green leaves , This makes it difficult for farmers to monitor production . We are in the picture 22 Two kinds of fruit are shown in , That is, Yingxian flower and bayberry . These fruits have similar characteristics to hidden objects , So you can use COD The algorithm recognizes it , Improve monitoring efficiency

6.4 Application 4 : art
6.4.1 Entertainment art
The background is distorted to hide the salient objects SIGGRAPH A fascinating technology in the community . chart 23 Shows Chu Et al. 【9】 Some examples generated in . We think , This technology will provide more training data for the existing data hungry deep learning model , therefore , Explore Treisman and Wolfe[93]、[94] The underlying mechanisms behind the described feature search and connection search theories are valuable .
6.4.2 From hidden to protruding objects
Covert target detection and salient target detection are two opposite tasks , This makes it easy to design a multi task learning framework , At the same time, the robustness of the network is improved . Pictured 24 Shown , There are two reverse objects (a) and (c). An interesting application is to provide a scroll bar , Allows users to customize the degree to which objects are highlighted in hidden objects .

6.5 Application five : daily life
6.5.1 Transparent material / Object detection
Transparent objects , Such as glass products , Very common in our daily life . Pictured 25 Shown , These objects, including doors and walls / An object inherits the appearance of its background , Make it invisible . As a subtask of covert target detection , Transparent target detection [47] And transparent target tracking [95] Has shown good prospects .
6.5.2 Search engine
chart 26 Shows from Google Examples of search results for . From the results ( chart 26 a), We noticed that search engines can't detect hidden butterflies , Therefore, only images with similar backgrounds are provided . Interestingly , When search engines are equipped with covert detection systems ( here , We just need to change the keyword ), It can recognize hidden objects , Then feedback several butterfly images ( chart 26 b)

7 Potential research directions
(1) weak \ Semi supervised testing :Weakly/Semi-Supervised Detection:
(2) Self monitoring and testing :Self-Supervised Detection:
(3) Other methods of hidden object detection :Concealed Object Detection in Other Modalities:
(4) Classification of concealed objects :Concealed Object Classification:
(5) Concealment advice and tracking :Concealed Object Proposal and Tracking:
(6) Concealment level :Concealed Object Ranking:
(7) Hide instance segments :Concealed Instance Segmentation:
(8) Multitasking universal network :Universal Network for Multiple Tasks:
(9) Neural architecture search :Neural Architecture Search
(10) Convert highlighted objects to hidden objects : Transferring Salient Objects to Concealed Objects:
8 summary
For the first time, we have made a comprehensive study of target detection from the perspective of covert vision . To be specific , We provide new challenging and annotation intensive COD10K Data sets , Large scale benchmarking has been conducted , Developed a simple but efficient end-to-end search and identification framework ( namely SINet), Several potential applications are introduced . Compared with the existing frontier baseline , our SINet Competitive , And produce a more favorable visual effect . The above contributions provide the community with COD The opportunity for the task to design a new model . future , We plan to expand COD1K Data sets , To provide various forms of input , For example, multi view images ( for example RGB-D SOD[107]、[108])、 Text description 、 video ( for example VSOD[103]), wait . We also plan to automatically search for the best receptive field [109], And the improved feature representation is used [110], For better model performance .
边栏推荐
- Package folders as ISO
- DeeCamp2022正式开营!李开复、张亚勤亲授大师课 | 创新事
- 请问老师炒期货怎么设定安全线和安全边际?
- php-fpm 启动参数及重要配置详解
- 二叉树习题总结
- MySQL intercepts the string to remove duplication, and MySQL intercepts the string to remove reassembly
- Server monitoring netdata panel configuring mail service
- 别再重复造轮子了,推荐使用 Google Guava 开源工具类库,真心强大!
- 华为机器学习服务语音识别功能,让应用绘“声”绘色
- Shell judges whether the command is executed successfully
猜你喜欢

二叉树习题总结

sqlite3入门

Ordinary users use vscode to log in to SSH and edit the root file

Autonomous and controllable city! Release of the first domestic artiq architecture quantum computing measurement and control system
![[graduation season] it's worth it all the way over the past four years -- advice from the senior students](/img/26/d6363603ff57730970497789a05265.png)
[graduation season] it's worth it all the way over the past four years -- advice from the senior students

力扣:合并两个有序链表

#yyds干货盘点# 解决剑指offer:在二叉树中找到两个节点的最近公共祖先

Detailed explanation of PDB symbol library files

DeeCamp2022正式开营!李开复、张亚勤亲授大师课 | 创新事

3个最佳实践助力企业改善供应链安全
随机推荐
Introduction to esp8266: three programming methods "suggestions collection"
Design of commodity search engine recommendation system
Why is the integration of storage and computing a new direction of core making Collision school x Zhicun Technology
Want to make a wechat game for answering questions? Reading this article is enough
Weserver Publishing Map Service
Deecamp2022 officially opened! Likaifu and zhangyaqin personally teach master courses 𞓜 innovation
六月集训(第29天) —— 分而治之
揭秘!付费会员制下的那些小心机!
手把手教你在windows上安装mysql8.0最新版本数据库,保姆级教学
Repoptimizer: it's actually repvgg2
【毕业季·进击的技术er】1076万毕业生,史上最难就业季?卷又卷不过,躺又躺不平,敢问路在何方?
Cvpr2022 𞓜 future transformer with long-term action expectation
Uncover the secret! Pay attention to those machines under the membership system!
[cloud resident co creation] break through the performance bottleneck of image recognition through rust language computing acceleration technology
[graduation season · advanced technology Er] 10.76 million graduates, the most difficult employment season in history? I can't roll it up again. I lie down again and again. Where is the road?
Package folders as ISO
leetcode 903. Effective arrangement of Di sequences
C语言模拟实现所有字符函数
揭秘百度智能测试在测试自动执行领域实践
存算一体为何是造芯新方向?|对撞派 x 知存科技