当前位置:网站首页>Recurrent neural network (RNN)
Recurrent neural network (RNN)
2022-07-28 23:03:00 【X also total】
One 、 The difference between recurrent neural network and traditional neural network :
Mainly introduced successively 、 Time series and other factors that affect the relationship between before and after
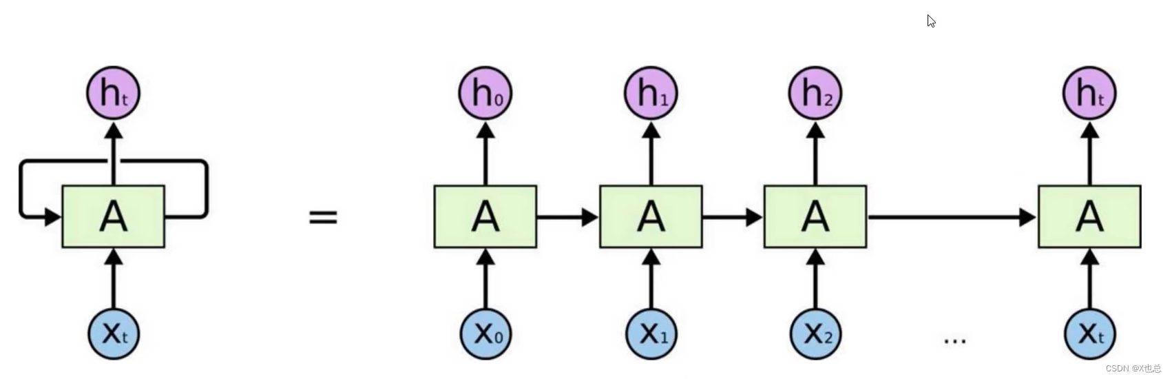
Two 、 Network structure :

among h0···ht For the results of the intermediate processes , and h0 Act on h1,h1 Act on h2······ It circulates from here , Produce a feedback effect
The general result is ht
3、 ... and 、 improvement :
LSTM The Internet : because RNN The final result is related to all the previous results , Therefore, there may be errors , Therefore, some factors are selectively eliminated , That is, some hn
Network structure comparison :

The specific structure is as follows
Control parameter : It needs continuous maintenance in the whole process

Door unit : Consistent with traditional neural networks


Decide to discard information components :

Identify updated information components :

边栏推荐
- 【三维目标检测】3DSSD(一)
- can‘t convert cuda:0 device type tensor to numpy. Use Tensor. cpu() to copy the tensor to host memory
- Simple es highlight practice
- Common library code snippet pytorch_ based【tips】
- Invest 50billion yuan! SMIC capital was officially registered!
- Lenovo r9000p installation matlab2018a+cuda10.0 compilation
- Seagate released a new risc-v architecture processor: the performance of mechanical hard disk soared 3 times
- Submission records of frontiers Publishing House (with status changes)
- 【雷达】基于核聚类实现雷达信号在线分选附matlab代码
- A new paradigm of distributed deep learning programming: Global tensor
猜你喜欢
![UNET [basic network]](/img/b0/d1f6b7bb1a35c82204b6ff2eb225a7.jpg)
UNET [basic network]

【图像分割】基于方向谷形检测实现静脉纹路分割附MATLAB代码

npm run dev,运行项目后自动打开浏览器

Torch.fft.fft 2. () error reporting problem solution

LTE小区搜索过程及SCH/BCH设计

frontiers出版社投稿记录(附状态变化)

No code development platform management background tutorial

Yolov5 improvement 15: network lightweight method deep separable convolution

【三维目标检测】3DSSD(二)

A new MPLS note from quigo, which must be read when taking the IE exam ---- quigo of Shangwen network
随机推荐
LTE小区搜索过程及SCH/BCH设计
No code development platform management background tutorial
Target detection notes -yolo
MySQL常用的日期时间函数
Lenovo r9000p installation matlab2018a+cuda10.0 compilation
Es learning directory
(important) first knowledge of C language -- function
WebApplicationType#deduceFromClasspath
Empowering Chinese core entrepreneurs! See how Moore elite solves the development problems of small and medium-sized chip Enterprises
投资500亿元!中芯京城正式注册成立!
希捷发布全新RISC-V架构处理器:机械硬盘相关性能暴涨3倍
(重要)初识C语言 -- 函数
【三维目标检测】3DSSD(二)
Yolov5 improvement 7: loss function improvement
Invest 145billion euros! EU 17 countries announce joint development of semiconductor technology
Nacos配置热更新的4种方式、读取项目配置文件的多种方式,@value,@RefreshScope,@NacosConfigurationProperties
leetcode101. 对称二叉树
Record a question about the order of trigonometric function exchange integrals
无代码开发平台通讯录导出入门教程
【复制】互联网术语、简称、缩写