当前位置:网站首页>Using rank to discuss the solution of linear equations / the positional relationship of three planes
Using rank to discuss the solution of linear equations / the positional relationship of three planes
2022-07-25 16:55:00 【Uncertainty!!】
Discuss the positional relationship of three planes with rank / Solutions of linear equations
System of linear equations
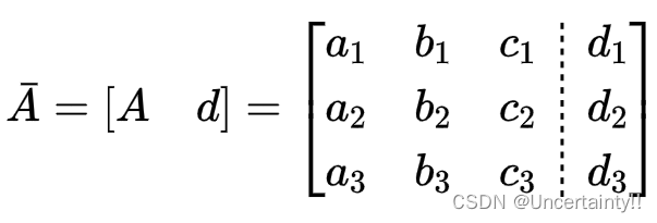
The three equations in the figure below correspond to three planes 
Augmented matrix form of linear equations 
Whether the equations have solutions , Manifested as Whether the three planes have a common intersection , There are several solutions in Three planes have several common intersections 
Situation 1 : r ( A ˉ ) = r ( A ) = 3 r(\bar{A})=r(A)=3 r(Aˉ)=r(A)=3【 Number of equations 3 = = = The number of unknowns 3】, The system of equations has a unique solution , Three planes intersect at a point


Situation two : r ( A ˉ ) = 3 r(\bar{A})=3 r(Aˉ)=3, r ( A ) = 2 r(A)=2 r(A)=2, r ( A ˉ ) ≥ r ( A ) r(\bar{A})\ge r(A) r(Aˉ)≥r(A), The equations have no solution 【 because 0 z 3 = d 3 0z_3=d_3 0z3=d3 unsolvable 】, Three planes have no common intersection , Because of r ( A ) = 2 r(A)=2 r(A)=2 Then there must be two planes intersecting
Augmented matrix No 3 The line may be the same as 1 Yes or no 2 Row proportional , Maybe not 0, Write here as 0 Just to show the rank clearly 
There are two cases when three planes have no common intersection
1. Three planes intersect in pairs , But there is no common intersection , Therefore, the equations have no solution 
2. Two of the three planes intersect , The other plane is parallel to one of them , But there is no common intersection , Therefore, the equations have no solution 
Situation three : r ( A ˉ ) = r ( A ) = 2 < n = 3 r(\bar{A})=r(A)=2\lt n=3 r(Aˉ)=r(A)=2<n=3( Number of equations 2 < \lt < The number of unknowns n=3 ), The equations have infinite solutions 【 because 0 z 3 = 0 0z_3=0 0z3=0】, Three planes have infinite common intersections , Because of r ( A ) = 2 r(A)=2 r(A)=2 Then there must be two planes intersecting , Because of r ( A ˉ ) = 2 r(\bar{A})=2 r(Aˉ)=2 It shows that at least two of the three planes are different from each other
Augmented matrix No 3 The line may be the same as 1 Yes or no 2 Row proportional , Maybe not 0, Write here as 0 Just to show the rank clearly 
There are two cases when two planes have no common intersection
1. Two planes intersect , The other plane passes through the intersection , The three planes are different from each other , Because the three planes meet in a line , There are countless points on the intersection , Therefore, in this case, the equations have infinite solutions 
2. Two planes intersect , The other plane coincides with one of them , The two planes are different from each other , Because three planes ( The two planes coincide ) On the front line , There are countless points on the intersection , Therefore, in this case, the equations have infinite solutions 
Situation four : r ( A ˉ ) = 2 r(\bar{A})=2 r(Aˉ)=2, r ( A ) = 1 r(A)=1 r(A)=1, r ( A ˉ ) < r ( A ) r(\bar{A})\lt r(A) r(Aˉ)<r(A), The equations have no solution 【 because 0 z 2 = d 2 0z_2=d_2 0z2=d2 unsolvable 】, The three planes do not intersect , Because of r ( A ) = 1 r(A)=1 r(A)=1, So no two planes intersect , So the three planes are parallel , Reanalysis r ( A ˉ ) = 2 r(\bar{A})=2 r(Aˉ)=2, Therefore, at least two planes of three planes are different from each other
Augmented matrix No 2、3 The line may be the same as 1 Row proportional , Maybe not 0, Write here as 0 Just to show the rank clearly 
At least two planes of three planes are different from each other in two cases
1. The three planes are parallel , And the three planes are different from each other , Three planes have no common intersection , Therefore, the equations have no solution 
2. The three planes are parallel , Two planes coincide , At the same time, two planes are different from each other , Three planes ( The two planes coincide ) No common intersection , Therefore, the equations have no solution 
Situation five : r ( A ˉ ) = r ( A ) = 1 < n = 3 r(\bar{A})=r(A)=1\lt n=3 r(Aˉ)=r(A)=1<n=3, The equations have infinite solutions , Three planes have infinite common intersections . from r ( A ) = 1 r(A)=1 r(A)=1 know , No two planes intersect . and r ( A ˉ ) = 1 r(\bar{A})=1 r(Aˉ)=1 It shows that at least one of the three planes is different from each other , There are two situations ,2 Planes are exclusive or 3 The two planes are different from each other , Both of these cases contradict the fact that there are infinite intersections in the three planes , Therefore, the three planes coincide
Augmented matrix No 2、3 The line may be the same as 1 Row proportional , Maybe not 0, Write here as 0 Just to show the rank clearly 

边栏推荐
- 基于redis6.2.4的redis cluster部署
- Chain game development ready-made version chain game system development detailed principle chain game source code delivery
- 企业直播风起:目睹聚焦产品,微赞拥抱生态
- Is the online account opening of Founder futures reliable and safe?
- 【目标检测】YOLOv5跑通VOC2007数据集(修复版)
- [OBS] Reprint: what about the serious delay of OBS live broadcast and Caton?
- 3D semantic segmentation - scribed supervised lidar semantic segmentation
- LVGL 7.11 tileview界面循环切换
- 测试框架-unittest-测试套件、结果输出到文件
- 链游开发现成版 链游系统开发详细原理 链游源码交付
猜你喜欢

jenkins的文件参数,可以用来上传文件

Who moved my memory and revealed the secret of 90% reduction in oom crash

Fudan University emba2022 graduation season - graduation does not forget the original intention and glory to embark on the journey again

IaaS基础架构云 —— 云网络

【目标检测】YOLOv5跑通VOC2007数据集(修复版)

免费的低代码开发平台有哪些?

mindoc制作思维导图

微信公众号开发之消息的自动回复

新增批量删除

What is the monthly salary of 10000 in China? The answer reveals the cruel truth of income
随机推荐
复旦大学EMBA同学同行专题:始终将消费者的价值放在最重要的位置
152. 乘积最大子数组
WPF 实现用户头像选择器
中国芯片自给率大幅提升,导致外国芯片库存高企而损失惨重,美国芯片可谓捧起石头砸自己的脚...
How to deploy applications on IPFs using 4everland cli
Rainbow plug-in extension: monitor MySQL based on MySQL exporter
聊聊如何用 Redis 实现分布式锁?
Test framework unittest skip test
[knowledge atlas] practice -- Practice of question answering system based on medical knowledge atlas (Part3): rule-based problem classification
ReBudget:通过运行时重新分配预算的方法,在基于市场的多核资源分配中权衡效率与公平性
微信公众号开发之消息的自动回复
Is the online account opening of Founder futures reliable and safe?
[target detection] tph-yolov5: UAV target detection based on Transformer's improved yolov5
Automatic reply of wechat official account development message
Data analysis and privacy security become the key factors for the success or failure of Web3.0. How do enterprises layout?
Don't believe these "rumors" in the process of preparing for the exam!
第五章:流程控制
Unity is better to use the hot scheme Wolong
Solution for win10 device management not recognizing gtx1080ti display device
动态规划题目记录