当前位置:网站首页>Remote sensing image /uda:curriculum style local to global adaptation for cross domain remote sensing image segmentation
Remote sensing image /uda:curriculum style local to global adaptation for cross domain remote sensing image segmentation
2022-06-30 05:20:00 【HheeFish】
Curriculum-Style Local-to-Global Adaptation for Cross-Domain Remote Sensing Image Segmentation Course based local to global adaptation for cross domain remote sensing image segmentation
Official code
Address of thesis
0. Abstract
Although domain adaptation has been widely studied in natural image segmentation , However, the research on cross domain segmentation of high-resolution remote sensing images is still in the exploratory stage . be based on VHR rsi There are two key challenges in the cross domain segmentation of :1) The surface covers a large area , Many types of features , The distribution deviation of local patch level data is serious , It is difficult to adapt to different local plaques ;2) Different VHR Sensor type or dynamic change mode causes VHR Images will experience dense data distribution differences even in the same geographical location , Thus, different global feature level domain gaps are generated . To meet these challenges , We propose a curriculum based framework for local to global cross domain adaptation , For segmentation VHR rsi. The course based adaptive algorithm proposed in this paper is based on each patch The degree of adaptive difficulty obtained by entropy scoring , In an easy way - Difficult way to carry out the adaptive process , It aligns the parts in the domain image very well patch. The local to global adaptive algorithm proposed in this paper realizes the feature alignment process from local semantic feature difference to global structural feature difference , It consists of a semantic level domain classifier and an entropy level domain classifier , It can reduce the difference of cross domain characteristics . A large number of experiments have been carried out in a variety of cross domain scenarios, such as changes in geographical location and imaging mode , Experimental results show that , This method can significantly improve the performance of the segmented network VHR rsi Domain adaptability .
1. summary
With the rapid development of Earth Observation Technology , A lot of very high resolution (VHR) Remote sensing images (RSIs) It is widely used to monitor large areas of land surface [1]、[2] The state of change .VHR rsi The purpose of semantic segmentation is to VHR rsi Each pixel in the is assigned a category label , This is a key step in understanding ground information , In traffic management 、 Land survey 、 city planning 、 Environmental monitoring plays an important role in urban applications .
lately , Thanks to convolutional neural networks (CNN)[9],[10] Continuous progress of , Under the condition that training samples and test samples are strictly extracted from the same data distribution , The ability of pixel level image segmentation from a given input image is greatly improved [11]-[15]. However , about VHR rsi Semantic segmentation , This assumption is difficult to guarantee , This is mainly due to the acquisition of different imaging sensors and geographical locations VHR rsi The data distribution is often different . Besides ,VHR rsi Semantic segmentation needs to be reliable in different sensors and other urban scenes 、 Work accurately . Unfortunately , Data driven segmentation network [11]-[16] After good training on its original source domain , When deployed to have data distribution differences ( Field shift ) New target domain for , Its generalization ability will eventually deteriorate .
The segmented network is retrained on a new target domain with different data distribution , It can improve the segmentation accuracy , And obtain satisfactory segmentation results on the new target domain . however , The data collected from the target domain still needs to be annotated manually [17]. Especially for VHR rsi, This pixel level manual annotation process is highly dependent on the knowledge of professionals in the field of remote sensing , It makes the manual annotation process more time-consuming [18]. therefore , It is necessary to base on VHR rsi The partition network of is transferred from the well marked source domain to the unlabeled target domain .
A common method to mitigate data differences is unsupervised domain adaptation (unsupervised domain adaptation, UDA)[19] -[26], The purpose of this method is to reduce the feature differences between domains in an unsupervised way by using only labeled source samples and unlabeled target samples . Most of the existing studies can be roughly divided into two categories : The method based on measuring differences and the method based on confrontational learning . Based on the method of measuring difference, the maximum average difference (MMD)[19]、[20]、 Depth dependent alignment (CORAL)[21] And multicore MMD (pk -MMD)[22]、[23] And other metrics to minimize the difference of feature distribution between domains , The method based on antagonism learning is based on domain discriminator [24]~[30] To learn domain invariant features . But here's the thing , The above method [19]-[26] The task of image classification focuses on cross domain adaptation , There is only one object of interest in the entire input image . therefore , These work based on classification can not reduce the difference between local detail feature domains , It ignores the importance of spatial structure among multiple semantic categories .
stay UDA Methods driven by the success of image classification task , Some researchers began to use pixel level image to image conversion [40]-[44] Or an adaptive method based on feature level confrontational learning [31]-[37], The research of cross domain adaptation is extended from basic image classification tasks to high-level downstream tasks , Such as target detection [31]、[32] And semantic segmentation [33]-[39]. for example , In order to obtain high cross domain segmentation accuracy , Start with a simple task , That is, predict the global label distribution , Furthermore, the network training of the segmentation model is regularized effectively [33],[34].AdaptSegNet[35] Focus on aligning structured output spaces in the adaptation process ,ProDA[37] From the perspective of self-training UDA The problem of , Using feature centroid to learn compact target structure . However , These methods are difficult to solve VHR rsi Regional differences . This is mainly due to the differences between different domains VHR rsi Usually have their own distinct characteristics , Such as imaging mode ( sensor ) The difference of 、 Change in color saturation 、 Changes in spatial layout, etc .
For the above reasons , stay RSI Semantic segmentation domain , There are some attempts [45]-[50], A cross domain adaptation framework under dynamic change imaging mode or land cover category is designed . for example ,BSANet[45] Through the lightweight UNet And discrete / The cross domain features in the dual branch structure composed of inverse wavelet network are matched to adapt to the segmentation model , It can alleviate the domain difference of feature distribution , Further improve VHR rsi Segmentation accuracy . Besides , A full space domain adaptation framework is also developed , Using confrontational learning from image space 、 Feature space and output space [48] Match inter domain differences . lately ,DualGAN[49] A training domain adaptive segmentation network is proposed by applying multiple weak supervision constraints during the final image to image style conversion , So as to generate some category fields rsi. Although these works [45]-[50] Very inspiring , And has achieved performance improvement in the target areas , But they still face two important challenges .
First , Due to the acquisition from the same imaging sensor VHR rsi It often contains extensive land cover , So from these rsi The patches sampled in the image usually have obvious intra domain distribution differences in one domain, and the cross domain adaptation of local patches is difficult . for example , chart 1(a) It shows such a large difference in the segmentation domain on the target image , In the same VHR RSI Two samples from different geographical locations patch With significant characteristic differences . therefore , The process of cross domain adaptation needs to consider a domain ( or VHR RSI) Internal inherent characteristic differences .
Second, the data collected by different imaging sensors in different geospatial regions VHR rsi It often shows local details ( Such as surface morphology 、 Changes in texture and surface semantic categories ), It also shows the characteristics of global structure ( For example, the spatial layout differences of surface semantic categories ) Domain differences . The difference between the above two domains is shown in Figure 1(b) It has been well reflected in ,“Tree” The appearance of the / The texture is obviously different across domains ,“Building” Geometric layout of ( Or the structural distribution of land cover types ) Dynamic changes between domains . therefore , Learning a domain invariant feature extractor that can guarantee both the local detail consistency of the source and target feature representation and the global structure consistency VHR rsi Semantic segmentation is essential
In order to overcome the above problems , This paper puts forward a kind of curriculum VHR rsi Local to global cross domain semantic segmentation framework . To be specific , Taking into account the patch There are often different data changes within the domain , We propose for all goals patch The cross domain adaptation of should follow the rules that are easy to adapt in the process of adaptation patch Need to precede the hard to adapt patch Ideas for adaptation , And develop a curriculum style cross domain adaptation (CCDA) Strategy . By calculating the entropy based fraction , Sort the target patches according to their difficulty , Select some easy to adapt target patches for initial source - The target domain adapts to . Next , Easy to adapt targets based on pseudo tags patch And the source of the tag patch, The initial aligned segmentation model is further adapted to the difficult patch. Besides , In the feature learning process of segmentation model , In order to reduce the VHR rsi Cross domain feature differences in local details and spatial layout , Local to global feature alignment is designed (LGFA) modular . We believe that the feature difference alignment should also follow a similar easy to adapt way , That is, the global spatial layout of all semantic categories is often better than the semantic objects that describe relatively local patterns [35]、[36] The local semantic information of is more complex . therefore , First, we should use adversarial learning to align the domain differences that represent the characteristics of the local semantic details of the object between the segmentation trunk and the developed domain discriminator . Next , Based on well aligned features in local semantic information , We further align the sources that represent class specific predictions - Target entropy graph , It can describe the global structure information of land cover semantic categories .
We compare several common benchmarks in two typical cross domain scenarios [51] Extensive experiments have been carried out :1) Domain adaptation and... In different geographical locations 2) Domain adaptation in different geographic locations and imaging modes . All the experimental results show that the proposed curriculum - based adaptation strategy can alleviate VHR rsi Effectiveness in terms of domain differences , And significantly improve the rsi Domain adaptability of segmentation tasks . And another baseline model is used for the experiment , The generalization ability of this method under different baseline segmentation models is verified .
The main contributions of this paper can be summarized as follows :
- We have revealed that success will be based on rsi A key aspect of partition network adaptation from source domain to target domain , That is, the adaptation strategy of the program , It aims to gradually adapt to the source network according to the uncertainty of the target patch to be adapted . This should be a pioneering work , Considering the domain adaptation, it is divided from the perspective of course learning VHR rsi.
- In order to alleviate the regional differences between local semantics and global spatial layout information , We design a region classifier at semantic level and entropy level , Quantify these two differences separately , The difference of local semantic and global structural features between regions is fully reduced .
2. Method

The purpose of this work is in some typical cross domain scenarios , Including different imaging modes and geographical locations , Will be based on rsi The pre training partition network on the source domain is transferred to the network based on rsi Unmarked target domain for . The overall framework of this method is shown in Figure 2 Shown , By CCDA Policy source - Target domain adaptation . First , Adjust the given source domain model from the source domain to the target domain, and select the patch that is easy to adjust . then , Initialize the model through the first stage training , Get these easy to adapt goals patch Fake tags for , Then proceed to the second stage , To further adapt the model to difficult objectives patch. At each of the above stages , take LGFA modular ( It consists of a semantic level domain classifier and an entropy level domain classifier ) Insert baseline split network , Realize the matching of local semantics and global structural features
In order to better illustrate the course style rsi Split domain adaptation process , We first define the problem of cross domain adaptation and semantic segmentation . Next , We describe in detail the proposed curriculum for local to global adaptation . then , The detailed network structure of the semantic level and entropy level domain classifiers is given . Finally, the overall optimization objective and adaptive strategy of the method are given .
2.1. Preliminary knowledge
Unsupervised fields adapt to :
hypothesis x Is an input image ,I It means , among I = B(x), B It is the backbone of a partitioned network , for example Deeplab-v3[14] Medium ResNet-101, Y Respectively represent the pixel level annotation in the semantic segmentation task .UDA The aim is to learn the broad sense between domains B, send B Can safely adapt to a new target domain t, Where the marked image of the source domain is given , The image of the target domain is an unavailable annotation Yt.
Semantic segmentation of source domain
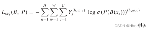
Typically based on cnn The semantic segmentation model is usually composed of backbone network B And pixel level classification module P form , backbone network B Convert the input image from pixel space to advanced representation , Pixel level classification module P The purpose is to convert the above representation into a class specific output space . Given from the source domain s Marked image xs And its pixel level annotation y, The goal of semantic segmentation is to optimize B and P, Minimize segmentation losses on source domain data . This process can be expressed as follows :
among P(B(xs))∈RH×W×C Express C The output of a specific class on a class ,H and W Indicates the height and width of the output respectively ,σ Express Softmax Activation function [12],[13], This is a function commonly used in semantic segmentation .
2.2. Course style local to global cross domain adaptation
In order to better illustrate the course style local-to-global Cross domain adaptation , We first introduce an entropy based ranking method , Divide all target patches into easy patches and difficult patches . then , The first and second stages of cross domain adaptation are described in detail .
Entropy-Based Patchwise ranking
The purpose of this method is to determine the difficulty of the patch , Gradually adapt all patches from the target domain image . However, it is not allowed to obtain the annotation of the target domain in the whole adaptation process . therefore , We must use the entropy mapping of segmentation prediction to represent the information from the target domain t Each patch uncertainty , This can be seen as an unsupervised way . hypothesis B and P In the source domain s On the basis of good training cnn Segmentation model , Every goal patch Entropy map of M It can be calculated as follows :
among σ Express softmax Activation function [12],[13], High level semantic features can be transformed into C Prediction probability on class .
By calculating the entropy graph M The average of m, Can be assigned to each goal patch Cross domain uncertainty score , As shown below 
According to the calculation patch - wise Uncertainty score m, We can select some easy to adapt target patches for the first stage of the adaptation process , Given the proportion of easy to adapt patches in the total target patches γ.
The first stage of cross domain adaptation
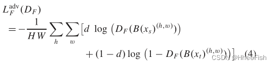
Because they are from the same target domain RSI Of patch There are some differences in data distribution , Cross domain adaptation needs to consider this difference . So , We use a two-stage cross domain adaptive algorithm , Gradually improve the segmentation accuracy on the target domain . In the first stage of cross domain adaptation , We try to divide the source domain into networks from the original source patch Adapt to some easy to adapt goals patch.rsi There are two main differences in the domain of : Changes in local semantic features , Such as local texture / Cross domain differences in appearance ; Changes in global spatial layout , Such as the cross domain difference of global spatial structure . therefore , In order to successfully adapt to this regional difference based on rsi Divided networks , We need to consider the local and global changes of semantic features and spatial information respectively . So , We first design a semantic domain classifier based on antagonism , Measure the cross domain feature difference of local region semantics , And optimize it to narrow the domain gap , As follows :
DF Represents a semantic level domain classifier , The domain labels of the source patch and the target patch are respectively d = 1 and d = 0, B(xs)(h,w) It's a feature map B(xs) Located in (h,w) Characteristics of . The function of domain classifier is to distinguish features from source or target domains . It should be noted that , Because the semantic level domain classifier DF Is designed to align with the input patch The semantic features of local regions , So we use a spatial dense domain classifier to adapt the features , The spatial resolution of features can be preserved . Essentially , It can encourage DF Focus on learning a given feature mapping B(x) Semantic differences in local areas of , It is not the domain difference caused by the change of local semantic features .DF The structure of the visual network is shown in the figure 3(a) Shown .
On the other hand , The cross domain difference caused by the change of global layout information related to multiple semantic categories will also reduce the segmentation accuracy on the target domain . therefore , be based on rsi Our cross domain adaptation framework should be able to handle these changes . Because the entropy map calculated by high-level semantic representation is similar to the result of edge detection , And it encodes the cross domain spatial information corresponding to the semantic category [36], We further develop an entropy level domain classifier to measure the cross domain data difference of global spatial layout , As shown below :
among DE The domain label of the source patch and the target patch is d = 1, d = 0 Entropy level domain classifier ,M(·) Represents the operation of calculating entropy graph . Through confrontational learning , When learning about the backbone network B And pixel level classification module P Successfully cheat the entropy level domain classifier DE when , It can further reduce the global spatial layout changes between different domains . chart 3 (b) Express DE Detailed network structure .
The second stage of cross domain adaptation 
chart 3 Shown .(a) Semantic level domain classifier and (b) The network structure of entropy level domain classifier . Using gradient inversion layer (GRL)[24] The confrontational training process between the backbone and the domain classifier is simply realized .
At this stage , We further adapt the initially aligned segmentation model obtained in the first stage to the difficult target patch.
As mentioned earlier , In the adaptation phase , It is also necessary to consider local and global cross domain feature changes of patches that are difficult to adapt , Full alignment is required . therefore , What this article puts forward LGFA Modules are also inserted into the initially aligned split model , To ease the maladjustment patch Local to global feature differences in . in fact , Since the first phase is from the source patch xs To easy to adapt target patches xeasyt Adaptation of , The segmentation model trained in the first stage can be used to predict these easy to adapt target patches Y easyt Fake tags for . Besides , because pseudo-labeled Using target data {xeasyt,Yeasyt} Represents the approximate data distribution domain and source data marker of the target {x, Y} Represents the actual data distribution source domain , The remaining transferability , Apply to various target patches xhardt RSIs Can further improve , By learning the antagonistic learning network between partitions P {B} And domain identifier {DF, DE}.
2.3. Visual network structure of multi domain classifier
Semantic level domain classifier DF And entropy level domain classifier DE All use a four layer network , By the convolution operation and the LeakyReLU (LReLU) Activation function [14] form . Be careful , We are DF and DE Insert a at the end of sigmoid Activation function , Because the purpose of domain classifier is to distinguish features from source domain or target domain .DF The adopted core size is 3 × 3, In steps of 1 Convolution of , To maintain the spatial resolution of the input feature , and DE The step size of convolution in is set to 2, To extract the representation of the global specific domain . The visual network structure of the domain classifier we designed is shown in Figure 3 Shown .
2.4. The whole loss function and the curriculum adaptation strategy
about VHR rsi Cross domain semantic segmentation , Patch level is required ( That is, the adaptation from easy patch to difficult patch ) And feature level ( That is, the adaptation from local feature change to global feature change ) Carry out course style source target adaptation . First , In the first stage of cross domain adaptation , By aligning the differences between the source patch and the transportable patch , Can safely mitigate inter domain differences , When the source domain segmentation model can not solve the complex cross domain data differences , Cross domain alignment that is difficult to transfer patches will be ignored . This can actually avoid the so-called negative transfer phenomenon , That is, some non transferable target plaques are over adapted . secondly ,LGFA The feature matching implemented by the module also aligns the local semantic feature differences between domains . A good alignment model based on the change of local semantic features , Global feature differences are relatively easier to align
Optimization objectives
The global loss function of this method is :

among λ Represents a super parameter to weigh the source patch xs Model resolvability and target patch xt The importance of model transferability
The adaptation strategy of the curriculum model
First , In order to encourage the segmentation model to learn segmentation related knowledge for subsequent migration , Only images marked with the source domain xs And its pixel level annotations Ys To train the baseline segmentation model . Next , According to the following stages, carry out the adaptation in the form of curriculum .
- Use DF and DE Easy to adapt to target patches : The marked source data {xs, Ys} And unmarked easy to adapt target patches xeasyt Blend together for cross domain alignment . First , Joint optimization (6) and (7) It can ensure that the difference of local semantic features between regions can be alleviated . Next , Through joint optimization (6) Sum formula (8) Make further adjustments to the model , To ensure the consistency of the long-term characteristics of the global structure .
- Use DF and DE Adapt to difficult goals patch: Use (6) and (7) By marking source data {xs, Ys}、 Pseudo tags are easy to adapt to target data {xeasyt, Y’easyt} And unmarked hard to adapt targets patch xhardt Composed of a mixed set of hard targets patch Local semantic feature alignment . secondly , The difference of global structural characteristics is also through (6) and (8) Further reduce .
边栏推荐
- Force buckle 27 Removing Elements
- Revit Secondary Development - - Project use Panel features not opened
- Passing values between classes using delegates and events
- The difference between SVG and canvas
- How to use js to control the scroll bar of moving div
- [notes] unity webgl input Chinese
- Chapter 8 primitive processing of OpenGL super classic (version 7)
- E: Topic focus
- Unity3d packaging and publishing APK process
- Read and save txt files
猜你喜欢

Xctf--Web--Challenge--area Wp

Some problems encountered in unity steamvr

Intellj idea generates jar packages for projects containing external lib to other projects. The method refers to the jar package written by itself
Sourcetree usage

Unity shader flat shadow

Assembly learning tutorial: accessing memory (3)

Summary of common loss functions in pytorch
![[notes] unity Scrollview button page turning](/img/c7/47c4056871d0212ac61524539f0d0e.jpg)
[notes] unity Scrollview button page turning

9. naive Bayes

Unity + hololens2 performance test
随机推荐
[typescript] defines the return value type of promise
Passing values between classes using delegates and events
PWN入门(2)栈溢出基础
Unity determines whether the UI is clicked
mmdet之Loss模块详解
C # three ways to obtain web page content
Assembly learning tutorial: accessing memory (3)
Leetcode 180 Consecutive numbers (2022.06.29)
东塔攻防世界—xss绕过安全狗
Unity ugui text value suspended enlarged display add text background
2021-10-31
炒美原油的国际交易平台如何能保障资金安全呢?
Introduction to Redux: initial experience of Redux
Does the tester need to analyze the cause of the bug?
Unity3d position the model, rotate, drag and zoom around the model to obtain the center point of the model
The minecraft server address cannot be refreshed.
[typescript] cannot redeclare block range variables
Fifty years ago, the go code first submitted by the inventor of Hello world was as long as this
Pit of smoothstep node in shadergraph
Force buckle 209 Minimum length subarray