当前位置:网站首页>The 4th small class discussion class on fundamentals of information and communication
The 4th small class discussion class on fundamentals of information and communication
2022-06-11 04:36:00 【Clever Hami melon】
mathmatic Solving ordinary differential equations
(1) Use DSolve function ( perhaps DSolveValue, In the same way )
Such as y’[x] = 2xy[x], solve y[x]( general solution )
DSolve[y’[x] == 2xy[x], y[x], x]
Find out the special solution : Above is the general solution and below is the special solution 
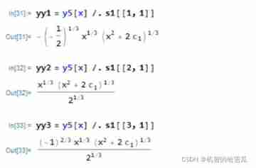
Multiple general solutions can also be solved :
Use /. The assignment statement extracts each general solution :
Draw an image :
Solving differential equations :
Special solution :
have access to D[y[x],x] Instead of y’[x]:
(2) Use NDSolve, Numerical solution , Special solution ( Expressed numerically )
adopt Plot You can see specific images :
Partial differential equations
(1) Use DSolve
(2)
Wave equation :
Heat conduction equation ( There is no solution here ):
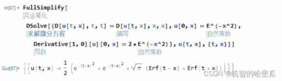
Add initial conditions to solve the wave equation : Use here Derivative Indicates that a term after partial derivation is 0 The initial value of the 
Solve the heat conduction equation after adding the initial conditions :
边栏推荐
- Unity 在不平坦的地形上创建河流
- Exness: Liquidity Series - order Block, Unbalanced (II)
- Guanghetong officially released the annual theme of 2022 5g Huanxin: Five Forces co drive · Jizhi future
- ACTS:高效的测试设计(并赠送一个优秀的测试设计工具)
- Unity MonoSingleton
- Ultra simple cameraX face recognition effect package
- 图的最短路径问题 详细分解版
- Guanghetong successfully won the bidding for China Unicom Yanfei CAT1 customized module with the largest share
- Unity 高級背包系統
- Overview of guanghetong industrial 5g module product line
猜你喜欢

MySQL lock summary

Carbon path first, Huawei digital energy injects new momentum into the green development of Guangxi

Google Code Coverage best practices

Game Mathematics: calculate the points on the plane in the screen points (God's perspective)

Unity 编辑器扩展 保存位置

Unity 地图映射

芯源cw32f030c8t6用keil5编译时出现的问题

一款自适应的聊天网站-匿名在线聊天室PHP源码

Unity 传送机制的实现

MySQL index
随机推荐
JVM (6): slot variable slot, operand stack, code trace, stack top cache technology
How the idea gradle project imports local jar packages
Ultra simple cameraX face recognition effect package
Bas Bound, Upper Bound, deux points
How can smart construction sites achieve digital transformation?
AI helps release legal potential energy! Release of iterms contract intelligent review system
Redis persistence (young people always set sail with a fast horse, with obstacles and long turns)
梅州P2实验室建设方案阐述
mysql存储过程
Statistical knowledge required by data analysts
JVM (7): dynamic link, method call, four method call instructions, distinguishing between non virtual methods and virtual methods, and the use of invokedynamic instructions
PostgreSQL数据库复制——后台一等公民进程WalReceiver 收发逻辑
Introduction to the development and production functions of shop facade transfer and rental applet
Emlog新版导航源码/带用户中心
MySQL lock summary
Talk about data center network again
[cf571e] geometric progressions -- number theory and prime factor decomposition
ACTS:高效的测试设计(并赠送一个优秀的测试设计工具)
2021 5g aiot annual innovation achievements! release!
Redis持久化(少年一贯快马扬帆,道阻且长不转弯)