当前位置:网站首页>【TA-霜狼_may-《百人计划》】2.1 色彩空间
【TA-霜狼_may-《百人计划》】2.1 色彩空间
2022-07-01 03:24:00 【zczplus】
【TA-霜狼_may-《百人计划》】2.1 色彩空间
–
如何描述色彩
设计岗位的悲催
色彩发送器
色彩认知:
光源是出生点,光源发射出光线,光线通过直射、反射、折射等路径最终进入人眼。
但人眼接收到光线后,人眼的细胞差生了一系列的化学反应。
由此把产生的信号传入大脑,最终大脑对颜色产生了认知感知。
2.1.1 光的要素

光源
光源就是产生光的物体。
波长
波长在理论上是无限大的,只是我们人眼可见光是有局限的。
能量分布
光线作为一种真实存在的物质,是具有能量的,其能量单位就是焦耳,我们认知的光就有不同的能量。一束光可以由多个不同波长的光进行合并。
分光光度计
分光光度计用于描述光线的具体能量强度,通过分光光度计我们得知,光线能量主要集中在550nm附近,(对应的颜色为绿色)
由此我们可以知道:
- 混合波长组成光线,拆分光线则形成单一波长光
- 能量的主要集中范围

光的传播
光经过反射,一部分能量被吸收。
通过能量分布图分析可得:物体吸收光的能量大部分在600nm左右,也就是说物体吸收的光是黄色和绿色的光。
2.1.2 相对亮度感知
黑暗环境点亮一盏灯和明亮环境下点亮一千盏灯的效果完全不同,人眼对亮度的认知相当于从0到1再从1到10。
人眼HDR
人眼既可以分辨出高亮度的云彩的不同层次区别,又可以分辨出阴影中不同物体的异同。但是人眼不能保证两种功能同时生效。
人眼感光细胞分布
对人眼感知色彩的细胞进行简单的划分,分为杆状细胞和椎状细胞
杆状下包负责感知亮度,椎状细胞负责感知色彩;前者对亮度特别的敏感,只要有5~14个光子达到杆状细胞就会产生神经信号,这也可以解释为什么闪光弹能致盲,强光直接干涉了人眼最敏感的感光细胞。
椎状细胞
这种细胞专门用于感知颜色,但是他们被进一步细分为L细胞,M细胞,S细胞。三种细胞负责感知的波长不一,如图所示,L感知红色区间,M感知绿色区间,S感知蓝色区间。
LMS 对应 RGB
人眼的本质
人眼的本质就是光源的接收者。他的作用就是接收外部光线输入,输出神经电信号进入大脑。
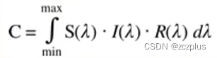
人眼接收光线的微积分公式

- C值是人眼这个函数输出的神经电信号
- S(λ)表示LMS这三个感官细胞的感知分布
- I(λ)表示光源的功率谱分布
- R(λ)表示反射物体的吸收功率分布
2.1.3 色彩空间的历史
在19世纪提出多种猜想,主流包括以下三种:
- 人眼有100多种感受颜色的细胞
- 人眼有三种分别用于感受RGB的感色细胞
- 人眼有三种感色细胞,分别是黑白,红绿,黄蓝感色细胞。
Munsell 色彩系统
Munsell通过色卡来描述色彩,旋转角度代表色相,垂直方向代表亮度,由圆心向外表示Munsell饱和度。
CIE 1931 RGB Color Specification System

一个过渡
XYZ Color Specification System

这里的RGB是上一坐标中的值,由此可得色域马蹄图
在此基础上,再将Y(亮度)引入该坐标系,从而组成Yxy色彩空间。
仍然存在诸多不足,二维的马蹄图色彩分布不均匀,于是期望一个更均匀的色彩空间。
2.1.4自定义色彩空间
- 色域(三个基色的坐标,由此形成三角形)
- Gamma(如何对三角形内进行切分)
- 白点(色域三角形的中间点)
Gamma
对色彩进行采样的一种方式。
当gamma =1时,相当于线性切割,方便计算,计算机效率高,方便理解:

但是当计算机储存和显示器硬件还不发达的年代,采用的gamma大多为2.2,如图:
2.1.5 常用色彩空间
色彩模型:使用一定规则描述或排列颜色的方法
举例:RGB、CMYK、LAB
色彩空间:至少满足三个指标:色域、白点、gamma
举例:CIE XYZ、Adobe RGB、sRGB、Japan Color 2001 Uncoated,US web Coated(后两者是基于CMYK模型建立的)
总结
色彩空间是什么?
色彩空间包含三个基本要素:色域、白点、gamma,定义了颜色的范围。
人眼可见光范围是多少?
看图在400nm-700nm之间,百度后结果为312nm至1050nm之间都为人眼可见光波段。平常可见光波段指的是:380nm至780nm。
边栏推荐
- 排序链表(归并排序)
- Online public network security case nanny level tutorial [reaching out for Party welfare]
- FCN全卷积网络理解及代码实现(来自pytorch官方实现)
- 5、【WebGIS实战】软件操作篇——服务发布及权限管理
- 报错:Plug-ins declaring extensions or extension points must set the singleton directive to true
- 【快捷键】
- Take you through a circuit board, from design to production (dry goods)
- Unexpected token o in JSON at position 1 ,JSON解析问题
- 【EI会议】2022年国际土木与海洋工程联合会议(JCCME 2022)
- Leetcode 1482 guess, how about this question?
猜你喜欢

Jeecgboot output log, how to use @slf4j

深度学习中的随机种子torch.manual_seed(number)、torch.cuda.manual_seed(number)

TEC: Knowledge Graph Embedding with Triple Context

访问阿里云存储的图片URL实现在网页直接预览略缩图而不直接下载

Feign remote call and getaway gateway

实现pow(x,n)函数

Research on target recognition and tracking based on 3D laser point cloud

复习专栏之---消息队列

Download and installation configuration of cygwin

Appium fundamentals of automated testing - basic principles of appium
随机推荐
JS daily development tips (continuous update)
Keil5中如何做到 0 Error(s), 0 Warning(s).
IPv4 and IPv6, LAN and WAN, gateway, public IP and private IP, IP address, subnet mask, network segment, network number, host number, network address, host address, and IP segment / number - what does
Cookie&Session
Pyramid scene parsing network [pspnet] thesis reading
Feign remote call and getaway gateway
Design of serial port receiving data scheme
How to achieve 0 error (s) and 0 warning (s) in keil5
Appium自动化测试基础--补充:C/S架构和B/S架构说明
318. 最大单词长度乘积
Sort linked list (merge sort)
[nine day training] content III of the problem solution of leetcode question brushing Report
bootsrap中的栅格系统
The method to measure the similarity of two vectors: cosine similarity, pytorch calculate cosine similarity: torch nn. CosineSimilarity(dim=1, eps=1e-08)
FCN全卷积网络理解及代码实现(来自pytorch官方实现)
在线公网安备案保姆级教程【伸手党福利】
5. [WebGIS practice] software operation - service release and permission management
快速筛选打卡时间日期等数据:EXCEL筛选查找某一时间点是否在某一时间段内
Error: plug ins declaring extensions or extension points must set the singleton directive to true
Thread data sharing and security -threadlocal