当前位置:网站首页>Detailed explanation of Yolo v1
Detailed explanation of Yolo v1
2022-07-26 19:44:00 【Romance of cherry blossoms】
1. Network Overview
The most direct method to deal with the detection problem is to use candidate boxes with different scales and shapes to sample intensively on the image , This determines whether the candidate box contains the target , This method is extremely time-consuming . Another method is the strategy adopted in the two-stage algorithm , Through the first Selective Search And other methods to generate a series of candidate boxes , Then use the classifier to determine whether the candidate box contains the target , Then make a fine correction to the position of the target . The advantage of this method is that it can get a more accurate target location , The disadvantage is still that it consumes more computing time . So how to further reduce the time-consuming Algorithm ? A convenient method is to directly return the position coordinates and classification probability of the target box , Transform the detection problem into a regression problem , This is also YOLO The basic idea of the algorithm .YOLO Another notable feature is that a whole picture is used as input , Each regression goal is based on the information of the whole image , therefore YOLO Be able to take advantage of more comprehensive contextual information .
YOLO There are also some obvious limitations , It has a default assumption , Think that the targets in the image are relatively large , There are no dense small targets , Therefore, it is necessary to judge whether it is suitable for use according to the actual application scenario YOLO Algorithm .
2. Algorithm principle
YOLO The algorithm uses a S That's ok ×S Uniform grid of columns , Divide an input image evenly S×S Sub image block , If the center point of the target falls within a sub image block , It is considered that this target belongs to this sub image block , It can also be said that this sub image block contains this target ( It's actually the center of the goal ). In each sub image block , Can predict B The coordinates of the target box and this B The confidence of the goal in the goal box , This confidence reflects the probability of the target in the current prediction frame and the accuracy of the position of the prediction frame . The details can be described by the following formula :
![]()
If there is no target in the current prediction box , be Pr(Object)=0; conversely , If the target is in the current prediction frame , be Pr(Object)=1.
Is the intersection ratio of the prediction box and the target truth box , Reflect the coincidence degree of prediction box and truth box . Here is what is the target in the box , If the center point of a target does not fall within the current sub image block , Then this target does not belong to the current sub image block , The prediction frame of the current sub image block will not contain this target ; If the center point of a target falls in the current sub image block , It is necessary to calculate the intersection ratio of each prediction box and the target truth box respectively , Think loU The biggest prediction box contains the target , There are no targets in other prediction boxes , In fact, this agreement is not necessarily reasonable , Is only YOLO A strategy of . in addition , As mentioned earlier , because YOLO The targets in the default image are relatively large , So that there will not be multiple targets in a sub image block , So if there are multiple very small targets whose centers fall within the same sub image block , There will be problems with the algorithm , Finally, only one target will be detected .
For each prediction box , You need the coordinates of the central point of the regression box (x,y) The width of the frame w And high h And the confidence of the prediction box . The confidence level of the prediction box is as described above , It describes the probability of the target in the prediction box and the intersection ratio of the prediction box and the truth box ,(x,y) Is the relative coordinate of the current sub image block , The coordinate origin is located in the upper left corner of the sub image block , And the coordinate value is divided by the width of the sub image block 、 high , It is normalized .w、h It is also the width and height after normalization , Is the width and height of the prediction box , Divided by the width and height of the whole image respectively .
Each sub image block will return C A conditional probability , use Pr(Class,|Object) Express , Indicates that under the premise of the goal in the box , Probability that the target belongs to a certain category . because YOLO By default, each sub image block contains only one target , So no matter how many target boxes you want to predict , We only need to regress a set of conditional probabilities . During the test , The final confidence is obtained by multiplying the confidence of the prediction frame by the conditional probability , It combines the information of location and category , The following formula can be used to describe .![]()
As shown in the figure , Divide the image into S×S Sub image block , Total regression S×Sx(B×5+C) Parameters (5 Express 4 Position parameters and 1 Confidence ), Based on the results of regression , Calculate the Pr(Class,)×IoU Value , When the value is the maximum value in the sub block , And greater than the preset detection country value , Output the corresponding prediction box .
2. Training methods
be based on PASCAL VOC Data sets , take S=7、B=2, The image is divided into 7×7 Sub image block , Each sub image block needs prediction 2 Target boxes , This is because PASCAL VOC The dataset has 20 Categories , Then the final number of parameters to be regressed is 7×7×[2x(4+1)+20]=7×7×30, among 7×7 Is the number of sub image blocks ,2 The number of frames to be predicted for each sub image block ,4+1 Stands for the... Of the box 4 Position parameters x、y、w、h, as well as 1 Confidence level of boxes ,20 Express 20 Classification probability of categories .
YOLO The network structure of the first version is shown in the figure , Learn from it GoogleNet Structure , Through the first 24 Five convolutions to extract features , then 2 Layer uses the coordinates of the full connection layer regression box 、 Confidence and classification probability , The last output parameters are 7×7×30 dimension . Because the network finally 2 The layer is the fully connected layer , Therefore, the whole network is required to have a fixed scale of input .

Training model , Still based on ImageNet The way of pre training classified data sets . Take the top of the above network 20 Convolution layers , Followed by a full connection layer training classification model . In the process , The image scale used for classification model training is 224×224. After the training of classification model , stay 20 A pre trained convolution layer is added after 4 A new convolution layer and 2 All connection layers , structure YOLO The Internet , among 4 A new convolution layer and 2 The parameters of a new full connection layer can be initialized in a random way , In order to use more refined information ,YOLO The first version of the network adapts to the scale of the full connection layer , Make the input image scale 448×448.
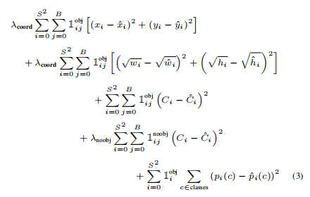
The loss function of training L The definition is as follows .

YOLO There is an unreasonable default assumption in the first edition , That is, a sub image block can contain at most one target , therefore YOLO The first version is not suitable for small target detection scenarios . in addition ,YOLO In the first edition, it is agreed that each sub image block is related to the target box IoU The largest prediction box is the target in the box , The rest of the prediction boxes think that there is no target in the box . type (10-3) in ,
It's an indicator function , When the first i The number of sub image blocks j When the target is in the prediction frame ,
=1, otherwise
=0. Therefore, in the formula 
Represents the position loss and confidence loss of the box containing the target , As mentioned earlier , In style x、y and
Respectively represent the normalized coordinates of the central point of the prediction frame and the target frame relative to the sub image block ,w、h and
Respectively represent the normalized width and height of the prediction frame and the target frame relative to the width and height of the whole image , This part only calculates the loss of the prediction frame of the target in the frame and sends back the gradient ;
Represents the loss of confidence in the prediction frame that does not contain the target , Because there is no goal , The confidence of the target in its box
The value of is 0; In the formula
Indicates the classification loss including the target . Type in the
Denotes the weighting coefficient , The proportion used to balance the losses of each part .
In order to prevent the model from over fitting ( The prediction effect of the model on the training set is very good , The effect is obviously worse on the test set ),YOLO The first edition Used dropout Strategy , At the same time in the image scale and image HSV Perturbation expansion of samples in color space , Make the trained model have better generalization ability .
Actually ,YOLO The specific implementation methods in the first edition may not be very reasonable , For example, there are some problems with the convention that each prediction frame of a sub image block corresponds to the same group of classification probabilities , For different prediction boxes , You can make each box correspond to its own classification probability . in addition , In calculating the loss , You can also count the losses of each prediction box and truth box in the same sub block and add gradient feedback , It looks more reasonable .
be based on YOLO Testing is similar to other testing methods , Yes 7×7×2=98 A prediction box , Calculate the product of the probability of the target in the box and the maximum classification probability respectively , When it is larger than the specified value , Output the prediction box as the target box , Then non maximum suppression is performed on all target boxes , Get the final result .
边栏推荐
- A case study of building an efficient management system for a thousand person food manufacturing enterprise with low code
- UIAutomator2常用类之UiObject2
- What do indicators and labels do
- LeetCode每日一练 —— 189. 轮转数组
- Using MySQL master-slave replication delay to save erroneously deleted data
- 博客维护记录之图片预览嵌入位置问题
- Linear algebra Chapter 3 vector
- 2022 build enterprise level data governance system
- Solidity中call函数详解
- eadiness probe failed: calico/node is not ready: BIRD is not ready: Error querying BIRD: unable to c
猜你喜欢

测试面试题集-UI自动化测试

win11 edge怎么卸载?win11 edge浏览器彻底卸载的方法教程

服务发现原理分析与源码解读

Leetcode-138-copy linked list with random pointer

Ijcai2022 meeting! Brescia et al. Tutorial of evidential reasoning and learning, describing its latest progress, with 96 slides attached

DDL, DQL, DML statements

Turn off win10 automatic update completely

Redis介绍

软件测试——自动化测试框架有哪些?

What do indicators and labels do
随机推荐
2022/07/26 学习笔记 (day16) 抽象与接口
Principle analysis and source code interpretation of service discovery
Several ways to view containers
2022牛客多校联赛第三场 题解
手机app测试用例怎么写?手机app测试点有哪些?
J1: why is redis so fast + basic structure
Difficult performance problems solved in those years -- ext4 defragmentation
Test interview question set UI automated test
视频直播源码,实现上下滚动的广告效果
PADS画2.54mm排针
DDL, DQL, DML statements
Cannot find current proxy: Set ‘exposeProxy‘ property on Advised to ‘true‘ to make it available
“蔚来杯“2022牛客暑期多校训练营1
周末看点回顾|数字人民币产业联盟成立;中国移动宣布:和飞信将停止服务…
MySQL tutorial: MySQL database learning classic (from getting started to mastering)
亲力亲为的思考
How to protect e-commerce websites from network attacks?
微信小程序插件--wxml-to-canvas(生成图片)
Linear algebra Chapter 4 linear equations
[MySQL must know and know] log details