当前位置:网站首页>[machine translation] scones -- machine translation with multi tag tasks
[machine translation] scones -- machine translation with multi tag tasks
2022-07-25 09:58:00 【Tobi_ Obito】
《Jam or Cream First?Modeling Ambiguity in Neural MachineTranslation with SCONES》
https://arxiv.org/pdf/2205.00704.pdf
Preface
Previously, I was responsible for a multi-level and multi label classification project , So the difference from multi classification to multi label is very clear , Recently, I got interested in this paper , Then the method is very simple , It is basically a standard multi label task mode . Simple as it is , But this is not for flowers “ Flower board ”, It accurately captures the problems caused by current machine translation training methods ——decoding Process model output layer softmax Suppressed “ Not ground truth But reasonable ” The possibility of word formation , And into multiple binary classifications +sigmoid The common form of multi label task avoids this problem , So the focus shifts to how to split and model into multiple binary tasks and effective multi tags loss The design of the .
From multi classification to multi label
Here is a quick introduction Multi label (multi-label) classification A typical mode of .
Put aside the model structure , The common single label multi classification task for model output processing is : Yes logit Conduct softmax Activation completes normalization ( Probabilistic ), And then to Multi category cross entropy Train as a loss .
Then can we use the above mode to do multi label classification tasks directly ? What's the problem ?
1. Multi category cross entropy (CE) Are not compatible
The calculation requirements of multi classification cross entropy ground truth Must be one-hot Of , And multi label tasks ground truth Obviously multi-hot Of . Then can you draw the gourd directly ? Since multi classification cross entropy is a choice one-hot Medium 1 Calculate the probability of location , So many labels to choose multi-hot Medium 1 Is it possible to calculate the cross entropy of position probability and then sum it , But there are 2 A question : First of all , The uncertainty brought by summation guides ; second , The normalization of probability .
For the first question , Imagine the following : For a sample with two correct labels ( Might as well set label=[1,1]), The predicted value is [0.3, 0.7] or [0.7, 0.3] When calculating the cross entropy according to the above summation method, the calculation result is exactly the same , This means that in the case of multiple correct labels, there is no discrimination for each correct label . The reader may think : It's not a problem , Just know which labels are correct , Discrimination is not necessary , But in fact, due to the combination diversity of multiple tags , It will greatly increase the difficulty of learning . The second problem is fatal .
For the second question , Because the prediction vector prob Is calculated by logit adopt softmax After probabilistic , It means that the sum of all elements in the prediction vector is 1, Under the above calculation method ,label=[1,1] It brings “ guide ” Is to make the prediction vector tend to [0.5, 0.5], that label=[1,1,1] be “ guide ” The prediction vector tends to [0.3, 0.3, 0.3], Then the prediction threshold cannot be set ( Multiple tags obviously need to select the prediction results that exceed the threshold , Instead of selecting the maximum directly in the case of single label ), This makes it impossible to predict . This problem can be vividly described as softmax As a result of “ Correct labels inhibit each other ” problem .
A typical way to solve the above problems is to put aside probability , Treat the classification of each label as 2. Classified tasks , The dimension of the prediction vector output from the model remains unchanged , But every position is split 、 Look independently as a label 1/0 Dichotomous problem , In this way, the prediction results of multiple tags can be obtained through a fixed threshold : Label the position where the predicted value exceeds the threshold as 1. such as , The threshold for 0.5, Prediction vector [0.3, 0.9, 0.7] It means that the prediction result is [0, 1, 1]. Then the specific method is : Pass one at each position of the model output sigmoid Limit values to [0, 1] Within the interval , Reuse Two categories cross entropy (BCE) Calculate the loss and train .
In machine translation “ Multi label ”
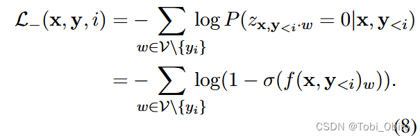
Set the multi label mode as logit->sigmoid->bce loss, So how to model a translation task as a multi label task ? The prediction of each translated word is regarded as multi label classification , correct ( Or reasonable ) Words of are regarded as positive labels ,vocab All other words in are considered negative labels , So it is modeled as ( Thesis formula 5、6、7、8):




To sum up, it is divided into each translation step,ground truth word As a positive label , Not ground truth word(in vocab) As a negative label , from α Adjust two loss.
Conclusion
The method of this paper ends here , At the end of the paper, I specially emphasized the above loss Especially similar to Noise-Contrastive Estimation(NCE) The difference between , But I think the difference lies more in the application of ideas , The only technical difference is that negative labels are no longer noise in translation tasks , It is vocab Medium all Not ground truth word . Looking back, the discovery method is basically a multi label classification method , Through this simple idea, we solved softmax It brings about the mutual inhibition of reasonable word translation . Finally, the experiment proves that this method really achieves the expectation , Effectively alleviated softmax+ce Form brings beam search curse problem , To put it bluntly, the translation inhibition of reasonable words has been alleviated , Thus, it shows a good effect on the translation experiment results of synonymous sentences , And the speed is relatively more advantageous ( Small beam size Can achieve greater than the traditional way beam size Better results ), So that we can achieve the same level performance The translation speed is faster .
边栏推荐
- 概率机器人学习笔记第二章
- Coredata storage to do list
- App lifecycle and appledelegate, scenedelegate
- @5-1 CCF 2019-12-1 reporting
- Binary Cross Entropy真的适合多标签分类吗?
- 数字IC设计SOC入门进阶
- FPGA基础进阶
- Exciting method and voltage of vibrating wire sensor by hand-held vibrating wire acquisition instrument
- Evolution based on packnet -- review of depth estimation articles of Toyota Research Institute (TRI) (Part 1)
- Temperature, humidity and light intensity acquisition based on smart cloud platform
猜你喜欢

ARMV8体系结构简介

【深度学习模型部署】使用TensorFlow Serving + Tornado部署深度学习模型

FPGA basic advanced

Arm preliminaries

Visualization of sensor data based on raspberry pie 4B

Data viewing and parameter modification of multi-channel vibrating wire, temperature and analog sensing signal acquisition instrument

~2 CCF 2022-03-1 uninitialized warning

Camera attitude estimation

Internal structure of SOC chip

Defect detection network -- hybrid supervision (kolektor defect data set reproduction)
随机推荐
CCF 201509-3 模板生成系统
Introduction to Verdi Foundation
Swift simple implementation of to-do list
【近万字干货】别让你的简历配不上你的才华——手把手教你制作最适合你的简历
First knowledge of opencv4.x --- image histogram matching
[Android studio] batch data import to Android local database
Store to-do items locally (improve on to-do items)
Swift creates weather app
testbench简介
Mlx90640 infrared thermal imager temperature measurement module development notes (V)
Verdi 基础介绍
Mlx90640 infrared thermal imager temperature measurement module development notes (I)
工程监测多通道振弦传感器无线采集仪外接数字传感器过程
手持振弦采集仪对振弦传感器激励方法和激励电压
Internal structure of SOC chip
CCF 201512-3 画图
MLOps专栏介绍
OC -- packaging class and processing object
TM1638 LED数码显示模块ARDUINO驱动代码
FPGA basic advanced