当前位置:网站首页>知识蒸馏1:基础原理讲解及yolov5项目实战介绍
知识蒸馏1:基础原理讲解及yolov5项目实战介绍
2022-07-30 17:21:00 【@BangBang】
1. 网络压缩技术介绍

网络压缩方法主要4种:1.Network pruning (网络剪枝) 2.Sparse representation稀疏表示 3.Bits precision 可以利用低比特的表示,甚至二值化的表示 4. Konwledge distillation 知识蒸馏
2. 知识蒸馏介绍
知识蒸馏最早的一篇论文:Distilling the Knowledge in a Netrual Network, 论文在2015年由深度学习领域的大牛Geffrey Hinton 和Google Jeff Dean等人提出。
知识蒸馏类似于迁移学习,可以看成是一种知识的迁移。
由教师网络模型(Teacher mode)将知识迁移给学生(Student model)模型,通俗的讲就是用教师网络指导学生网络的学习。
知识蒸馏(Knowledge distillation) 是提升网络性能的方法,通过一个教师网络指导学生网络的学习,教师网络是一个较大的模型,学生网络是一个较小的模型,通过教师网络学习到的知识迁移到学生网络上。训练学生网络的时候可以得到教师网络蒸馏到的 soft label知识,同时学生网络也可以从ground truth来进行预测学习。
学生网络通过教师网络的网络训练得到的soft label和ground truth进行联合学习,蒸馏的关键是:教师网络训练得到一个soft label
1. 1 soft label

以手写数字为例,教师网络对数字1的预测标签为"1":0.7,"7":2,"9":0.1,这里1的预测概率最大为0.7是正确的分类,但是标签"7","9"的预测概率也能提供一些信息,就是说7,9和预测标签1还是有某种预测的相似度的。如果把这个信息也教会学生网络,学生网络就可以了解到这种类别之间的相似度,可以看作为学习到了教师网络中隐藏的知识,对于学生网络的分类是有帮助的。
1. 2 Softmax的升温(T)操作
蒸馏的时候一般都需要进行升温操作,以分类网络为例,需要改进softmax,除以T
左边是正常的softmax计算,右边引入一个超参T来计算softmax,即把 y i y_i yi都除以T再进行softmax计算。结果会有什么不同呢?
假设左边的y1,y2,y3的分类结果,分别是100,10,1,没有进行升温操作,带入softmax之后 y 1 ′ y_1^{'} y1′接近1, y 2 ′ y_2^{'} y2′和 y 3 ′ y_3^{'} y3′都接近于0。经过升温操作之后, y 1 ′ = 0.56 , y 2 ′ = 0.23 , y 3 ′ = 0.21 y_1^{'}=0.56 ,y_2^{'}=0.23,y_3^{'}=0.21 y1′=0.56,y2′=0.23,y3′=0.21。此时 y 1 ′ , y 2 ′ , y 3 ′ y_1^{'},y_2^{'},y_3^{'} y1′,y2′,y3′之间的差异就没有那么大了,也就是说能够把类别之间隐藏的关系给暴露出来,所以做蒸馏操作一般都需要除以T来进行升温操作。
如图所示,对首先数1识别进一步说明:
- 手写数字
1和7比较相似,在没有升温T之前,预测标签1和7经过softmax输出的概率分别为0.99和0.01,1和7之间的差异是比较大的,网络没有学习到1与7比较相似这种隐藏信息。 - 假设施加升温
T=5的话,得到的最终概率为0.62和0.28,相当于把预测值进行了软化,这种预测值称为softened predictions
1. 3 知识蒸馏的损失计算

在分类网络中知识蒸馏的Loss计算
- 上部分教师网络,它进行预测的时候,
softmax要进行升温,升温后的预测结果我们称为软标签(soft label) - 学生网络一个分支
softmax的时候也进行升温,在预测的时候得到软预测(soft predictions),然后对soft label和soft predictions计算损失函数,称为distillation loss,让学生网络的预测结果接近教师网络; - 学生网络的另一个分支,在
softmax的时候不进行升温T=1,此时预测的结果叫做hard prediction。然后和hard label也就是ground truth直接计算损失,称为student loss - 总的损失结合了distillation loss 和 student loss,并通过系数 a a a加权,来平衡这两种
Loss,比如与教师网络通过MSE损失,学生网络与ground truth通过cross entropy损失,Loss的公式可表示如下:
1. 4 目标检测中的知识蒸馏的损失

对目标检测知识蒸馏稍微复杂点,目标检测既有物体分类又有物体边界框的预测,学生网络可以从教师网络中进行物体分类的学习,也可以进行边界框的学习,同时也可以从ground truth进行学习。
在论文Object scaled Distllation介绍了知识蒸馏相关的内容。
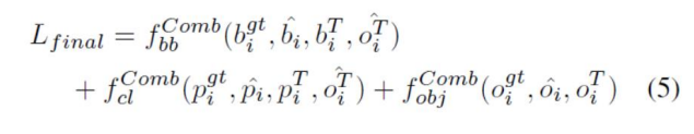
训练的损失函数由3部分构成
三种损失分别为: f b b C o m b f_{bb}^{Comb} fbbComb 边界框的损失, f c l C o m b f_{cl}^{Comb} fclComb 分类的损失, f o b j C o m b f_{obj}^{Comb} fobjComb 目标置信度的损失。在目标检测的知识蒸馏中,每种损失都包括:Detection loss 和Distillation loss,Detection loss是学生网络和ground truth之间的损失;Distillation loss是学生网络和教师网络之间的损失。
- 对于 f o b j C o m b f_{obj}^{Comb} fobjComb 的损失的计算如下,包含两部分:Detection loss 和Distillation loss

- 对于 f c l C o m b f_{cl}^{Comb} fclComb 分类损失,考虑了
object scaled,在蒸馏损失部分引入了 o i T o_i^{T} oiT加权因子, o i T o_i^{T} oiT为0~1之间的值,object scaled越接近1表示越可能是目标,越接近0表示越可能是背景,如果是目标比较低,乘以一个比较小的值,对模型的训练是有帮助的。
- 对于 f c l C o m b f_{cl}^{Comb} fclComb 分类损失,同样也考虑了
object scaled,在蒸馏损失部分引入了 o i T o_i^{T} oiT加权因子
2 项目实战:Yolov5 目标检测之知识蒸馏实战

我们使用Yolov5m较大的网络作为教师网络,指导学生网络YOLOv5s的学习,对
Yolov5知识蒸馏的效果

蒸馏之后,学生网络YOLOv5s的Precision由蒸馏前的0.891变为蒸馏后的0.924,效果提升了3个点。 mAP0.5 由蒸馏前的0.898,变为蒸馏后的0.935将近提升了4个点。
这种知识蒸馏方法,通过训练过程做一些工作,就能达到预测性能提升,几乎不需要任何代价就能提升网络的性能。
后续博客安排
后续博客将会针对Yolov5 目标检测之知识蒸馏实战进行详细讲解,项目内容包括:
- 环境的安装
- Yolov5项目的准备
- 准备自己的训练数据集
- 训练学生网络(YOLOv5s)
- 训练教师网络(YoLOv5m)
- 知识蒸馏训练
边栏推荐
猜你喜欢

FastJson反序列化漏洞(复现)

Mysql进阶优化篇01——四万字详解数据库性能分析工具(深入、全面、详细,收藏备用)

MySQL 8.0.29 解压版安装教程(亲测有效)

基于模糊PID的液压舵机伺服系统

S7-200SMART中定时器的使用方法和常见注意事项汇总

Excel导入和导出

FP6606ACAW4 TQFN-20L (3mmx3mm) USB双端口充电控制器 百盛电子代理

浅谈在线编辑器中增量编译技术的应用

WeChat applet picker scroll selector use detailed explanation

Insert data into MySQL in C language
随机推荐
Dive deep on Netflix‘s recommender system(Netflix推荐系统是如何实现的?)
mysql进制安装与mysql密码破解
Test Management and Specification
Go新项目-编译热加载使用和对比,让开发更自由(3)
图卷积神经网络的数学原理——谱图理论和傅里叶变换初探
Py程序员的七夕情人节
un7.30:Linux——如何在docker容器中显示MySQL的中文字符?
MySQL索引常见面试题(2022版)
.NET 6.0中使用Identity框架实现JWT身份认证与授权
swagger使用教程——快速使用swagger
Promise entry to proficient (1.5w word detailed explanation)
论文阅读之《Underwater scene prior inspired deep underwater image and video Enhancement (UWCNN)》
un7.30:linux——如何在docker容器中安装MySQL?
中文字符集编码Unicode ,gb2312 , cp936 ,GBK,GB18030
Graph Attention Mechanism
[HarekazeCTF2019] Avatar Uploader 1
torch.optim.Adam() function usage
No qualifying bean of type问题解决
(17)[系统调用]追踪系统调用(0环)
crontab报错,但本地执行正常