当前位置:网站首页>[compilation principle] lexical analysis
[compilation principle] lexical analysis
2022-06-25 17:31:00 【No card, no change】
Chapter two Lexical analysis
Lexical analysis is the first stage of compilation , Its main task is to scan the input character stream , Generate a sequence of lexical markers for parsing .
2.1 Lexical notation
Lexical notation ( t o k e n token token): Is represented by the token name ( Also known as species code ) And attribute values , Attribute value is not required . Token names are input symbols for parsing .
About t o k e n token token See “ Chapter one summary ”.
Pattern : The pattern of a token describes the form of the lexical unit belonging to the token .
In the case of a keyword as a token , Its pattern is the sequence of characters that make up the keyword . For identifiers and other tokens , Their patterns have more complex structures and many strings can match them .
Simply speaking , It's a format , This format specifies one or more character sequences , For example, when a keyword is used as a token , Its pattern specifies only one sequence , Is the character sequence that constitutes the keyword ; Another example is that the pattern of identifiers specifies a variety of more complex character sequences , There are many matching strings ,
abc、A123All legal identifiers , That is, it meets the Schema Specification of the identifier ), stay C Identifiers in languages must be strings that begin with letters or underscores , Such a rule is a pattern .
lexical unit : Also known as word , Is a character sequence matching a token pattern in the source program , It is recognized by the lexical analyzer as an instance of the token .
A string that can be recognized as a token is a lexical unit .
give an example :printf("Tital = %d\n", score); in ,printf and score Is the match id Lexical unit of pattern ,"Total = %d\n" Is the match literal Lexical words of patterns . among id and literal For different token names , The non formal descriptions of the corresponding patterns are “ An alphanumeric string beginning with a letter ” and “ Any string that does not contain itself between quotation marks ”
※ For marks relation \textbf{relation} relation ( > > >、 < < <、 = = =、 > = >= >=、…) for , From the perspective of whether the syntax of the program is correct , Which relation operator is used is the same . But from the perspective of translating into object code , Different relation operators , The translation results are different . So the lexical analyzer needs to attribute the token , Use attributes to remember additional information about tokens , So you can use them when you need them . In a nutshell , Token names influence parsing decisions , Attributes affect the translation of tokens .
2.2 Normal form ( Regular expressions )
A set of strings is described by a rule called a pattern , The normal form is an important way to express these rules .
2.2.1 Explanation of terms
alphabet : Represents a finite set of symbols . Symbols can be letters 、 Numbers 、 Punctuation .
aggregate { 0 , 1 } \{0,1\} { 0,1} It's the binary alphabet .
strand : A finite sequence of characters in the alphabet .
0111 0111 0111 Is a string on a binary letter . An empty string is a string with a length of 0 Special string of , use ε \varepsilon ε Express .
Language : Represents a string set on the alphabet .
{ 0111 , 1000 , 1010 , 0101 } \{0111, 1000, 1010,0101\} { 0111,1000,1010,0101} Is a language on the binary alphabet .
The operation of language :
- and : L ∪ M = { s ∣ s ∈ L or s ∈ M } L∪M=\{s|s∈L\space\space or \space\space s∈M\} L∪M={ s∣s∈L or s∈M}
- Connect : L M = { s t ∣ s ∈ L And t ∈ M } LM=\{st|s∈L\space\space And \space\space t∈M\} LM={ st∣s∈L And t∈M}
- power : L 0 = { ε } , L i = L i − 1 L L^0=\{\varepsilon\},\space\space L^i=L^{i-1}L L0={ ε}, Li=Li−1L
- Closure : L ∗ = ⋃ i = 0 ∞ L i L^*=\bigcup_{i=0}^∞L^i L∗=⋃i=0∞Li, L ∗ L^* L∗ Represents zero or more L L L Union of connections
- Positive closure : L + = ⋃ i = 1 ∞ L i L^+=\bigcup_{i=1}^∞L^i L+=⋃i=1∞Li, L + L^+ L+ Means one or more L L L Union of connections
** The sentence ( word ):** Strings belonging to a language are called sentences or words of that language .
For the above language , 0111 0111 0111 Is the sentence of the language .
Be careful : Different from... In grammar “ The sentence ”. In grammar “ The sentence ” It's a special kind “ Sentence pattern ”,“ Sentence pattern ” Is a character sequence composed of terminators and non terminators , and “ The sentence ” Is a sequence of characters consisting only of terminators .
2.2.2 Normal expression operation
Normal form ( Also called normal expression 、 Regular expressions ) It is a formal expression of language .
Before introducing the normal form , We describe language by enumerating strings in language , But the strings that can be described in this way are very limited . The normal form can be used to describe some languages composed of infinite strings .
A language expressed in a normal form is called a normal language or a normal set .
The operation of normal formula :
- Closure operations ( The operator is ∗ ^* ∗): Operations that have the highest priority and are left associative . Normal form a ∗ a^* a∗ Indicates that only the letters a a a A collection of all the strings that make up , Including empty strings .
- Join operation ( Two normal forms are juxtaposed ): The operation with the second priority and also left combination . Normal form a b ab ab Represents a collection { a b } \{ab\} { ab}.
- Select operation ( The operator is ∣ | ∣): The operation with the lowest priority and still left combination . Normal form a ∣ b a\space|\space b a ∣ b Represents a collection { a , b } \{a,b\} { a,b}.
2.2.3 The normal definition
You can name a regular form , And use these names to refer to the corresponding normal formula , In order to obtain the simplicity of expression . These names can also be like symbols , Appear in the normal form .
If Σ \Sigma Σ Is the alphabet of basic symbols , Then the normal definition is in the form of
d 1 → r 1 d 2 → r 2 . . . d n → r n d_1\rightarrow r_1 \\ d_2\rightarrow r_2 \\ ...\\ d_n\rightarrow r_n \\ d1→r1d2→r2...dn→rn
Definition sequence of , each d i d_i di Their names are different , Every r i r_i ri All are Σ ∪ { d 1 , . . . , d i − 1 } \Sigma\space∪\space\{d_1,...,d_{i-1}\} Σ ∪ { d1,...,di−1} Normal form on .
for example :C The identifier of a language consists of letters 、 A string of numbers and underscores , Here is C Formal definition of language identifiers .
letter_ → A ∣ B ∣ . . . ∣ Z ∣ a ∣ b ∣ . . . ∣ z ∣ _ digit → 0 ∣ 1 ∣ . . . ∣ 9 id → letter _ ( litter _ ∣ digit ) ∗ \textbf{letter\_}\rightarrow A\space|\space B\space|\space ...\space | \space Z \space | \space a \space |\space b\space | \space ...\space | \space z\space | \space \_\\ \textbf{digit}\rightarrow 0\space |\space 1 \space|\space ...\space |\space 9 \\ \textbf{id}\rightarrow \textbf{letter}\_(\textbf{litter}\_\space|\space\textbf{digit})^*\\ letter_→A ∣ B ∣ ... ∣ Z ∣ a ∣ b ∣ ... ∣ z ∣ _digit→0 ∣ 1 ∣ ... ∣ 9id→letter_(litter_ ∣ digit)∗
Pay attention to the difference between formal definitions and grammar :
Formal definition requirements , Last name allows the first name to be used , But the opposite is not allowed ; And the names in regular grammar ( non-terminal ) There is no such requirement .
The regular grammar is essentially the same as the normal form ( Regular expressions ) It is equivalent. , The ability to express words is the same , Both can describe the same language , And can be transformed into each other . The normal form is more intuitive than the regular grammar , Regular expressions are sometimes preferred to represent regular languages .
2.2.4 State transition diagram
The state transition diagram describes when lexical analyzer and parser call , What the lexical analyzer does to return the next token .
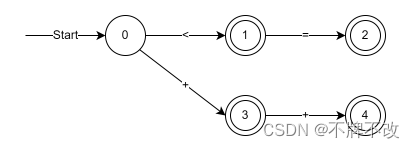
![[ Failed to transfer the external chain picture , The origin station may have anti-theft chain mechanism , It is suggested to save the pictures and upload them directly (img-M50f1wvS-1656145069259)(C:\Users\23343\AppData\Roaming\Typora\typora-user-images\image-20220613185233076.png)]](/img/9e/03e80b1d9166383671e8b18ca762e8.png)
The above picture is a symbol relop \textbf{relop} relop Transformation diagram of , This diagram can be used to explain the concept of transformation diagram . The circle on the transition diagram indicates the state , States are connected by directed edges , There is a mark on the side indicating the input character , The tag is usually one character . If you leave the State s s s There is a mark on one side of the other \textbf{other} other, Then it means to leave s s s Any character other than the character indicated by the other side of the .
In the state transition diagram , There is a status marked as start status , This is the initial state of the transition graph . When starting to identify the mark , Control enters the start state . When the control enters a certain state , Read the next character of the input string , If the mark on the side leaving this state matches the input character , The control enters the state pointed by this edge , Otherwise, the identification process fails . Some states have two circles , Indicates that they are in an accepted state , Control entering such a state indicates that a mark has been recognized . The acceptance state can have actions , Control executes its actions when it reaches the accepted state .
For the above state transition diagram , If the input string is < = … <=… <=…, Then the control starts from the start state 0 Reach the acceptance status 2, Read lexical units < = <= <=, Executive action return(relop, LE).
Add :
Be careful , If the acceptance status is reached 4, signify < < < And another character has been read , Since this second character is not a relation operator < < < Part of , Therefore, the pointer indicating the next character on the input string must be returned by one character . use ∗ * ∗ Indicates the state that the input pointer must fall back .
The finite automata mentioned later will not involve other \textbf{other} other、“ Add ” The contents of the part and the execution of the statement when the acceptance state is reached .
2.3 Finite automaton
Be careful : The transformation diagram mentioned below may be different from the above transformation diagram , The above conversion diagram is introduced to play the role of content transition , It is convenient to understand the following finite automata .
Linguistic Recognizer It's a Program , It takes a string x x x As input , When x x x Is a sentence of language , It answers “ yes ”, Otherwise answer “ No ”. It can be called by construction Finite automaton More general Conversion chart , Translate the normal form into a recognizer .
so :
- Recognizer is essentially a program ;
- The essence of finite automata is transformation graph / surface ( Describe state transitions ).
Finite automata can be divided into two cases: deterministic and uncertain .“ Not sure ” The meaning is , There is a state , For an input symbol , It has more than one transformation .
Both deterministic and uncertain finite automata can recognize normal sets , That is, the language they can recognize is just the language that the formal form can express . however , There is a trade-off between them : The recognizer is obtained from the deterministic finite automata , It is much faster than getting the recognizer from the equivalent uncertain finite automata ; however , Deterministic finite automata may occupy more space than equivalent uncertain finite automata .
2.3.1 Uncertain finite automata (NFA)
The transformation diagram represents
NFA It can be represented by a marked directed graph , State transition diagram , Node represents state , The marked edge represents the transformation function . This transformation diagram is slightly different from that in the previous section , ad locum , The same symbol can be marked on multiple edges from the same state . in addition , Edges can be represented by input symbols ( The set of input symbols is the alphabet Σ \Sigma Σ) Mark , It can also be represented by special symbols ε \varepsilon ε Mark .
Can recognize language ( a ∣ b ) ∗ a b (a\space|\space b)^*ab (a ∣ b)∗ab Of NFA The transformation diagram of is shown in the following figure . This NFA The set of states for is { 0 , 1 , 2 } \{0,1,2\} { 0,1,2}, Input symbol table { a , b } \{a,b\} { a,b}, state 0 Is the start state , Acceptance state 2 Use double circles to represent .

The conversion table represents
stay NFA In the corresponding conversion table , One line per status , Every ** Enter symbols and ε \varepsilon ε ( If necessary )** Each column , Table No i i i The line corresponds to a symbol a a a The entry for is a collection of States , Express NFA Enter yes at a a a when , state i i i The set of states that can be reached . The following figure shows the language ( a ∣ b ) ∗ a b (a\space|\space b)^*ab (a ∣ b)∗ab Corresponding conversion table .

The advantage of the transition table is that it can quickly access the state set of a given state and character . Its disadvantages are , When the input alphabet is large , And most transformations are empty sets , It takes up a lot of space .
NFA Accept input string x x x , If and only if there is a path from the start state to an accepted state in the transition graph , The marks on each side of the path can be spelled into x x x.
2.3.2 Deterministic finite automata (DFA)
Deterministic finite automata is a special case of uncertain finite automata . stay NFA On the basis of , Deterministic finite automata also require :
- Not in any state ε \varepsilon ε transformation , That is, any state must match the input symbols before entering the next state ;( What has no null conversion is not necessarily DFA)
- For any state s s s And any input symbols a a a, At most one is marked a a a Leave by the side s s s, namely From any state , For any input symbol , There is only one conversion at most . Reflected in the conversion table , Each entry has at most one state .
For an input string , From the start state , At most one path to a final state can be marked by this string . in other words , If DFA Can identify an input string , Then the path must be unique .
2.3.3 From normal form to NFA
Introduce two methods .
Method 1 :
If you are familiar with this part , You can just look at the pictures , Don't read the text .
Decompose the normal expression into subexpressions , Usage rule (1) and (2) For each basic symbol in the normal formula ( ε \varepsilon ε And alphabetic symbols ) structure NFA. it is to be noted that , If the symbol a a a Appear many times in the normal form , Then construct a for each occurrence of it NFA.
In short , Create one for each subexpression after decomposition NFA, Finally, these NFA Merge by rule .
then , According to the grammatical structure of the normal form , Use the following rules (3) Combine these summarily NFA, Until we get the whole normal form NFA until . In the process of construction NFA There are some important properties : There is only one final state , No edges enter the start state , There is no edge to leaving the final state .
(1) about ε \varepsilon ε , Construct the NFA, among i i i Is the start state , f f f Is accepted . Obviously this NFA distinguish { ε } \{\varepsilon\} { ε}.

(2) Yes Σ \Sigma Σ Each symbol in a a a , Construct the NFA. Again , i i i Is the start state , f f f Is accepted . This NFA distinguish { a } \{a\} { a}.

(3) If N ( s ) N(s) N(s) and N ( t ) N(t) N(t) They are normal forms s s s and t t t Of NFA, be :
① For the normal form s ∣ t s | t s∣t, Constructed of NFA N ( s ∣ t ) N ( s | t) N(s∣t) , The results are shown in the following figure . here i i i It's a new start , f f f Is the new acceptance state . from i i i To N ( s ) N(s) N(s) and N ( t ) N(t) N(t) The starting states of are ε \varepsilon ε transformation , from N ( s ) N( s ) N(s) and N ( t ) N(t) N(t) The acceptance status of to f f f Also have ε \varepsilon ε transformation . N ( s ) N(s ) N(s) and N ( t ) N(t) N(t) The start and acceptance status of is not N ( s ∣ t ) N(s | t) N(s∣t) The beginning and acceptance of . such , from i i i To f f f Any path of the must pass exclusively N ( s ) N(s) N(s) or N ( t ) N(t) N(t) . This synthetic NFA distinguish L ( s ) ∪ L ( t ) L(s)∪L( t) L(s)∪L(t).

② For the normal form s t st st, Constructed of NFA N ( s t ) N( st ) N(st) , The results are shown in the following figure . N ( s ) N(s) N(s) The starting state of becomes the composite state NFA Start state of , N ( t ) N(t) N(t) The acceptance state of becomes the synthesized NFA Acceptance status of , N ( s ) N(s) N(s) Acceptance status and N ( t ) N(t) N(t) Start state of merge , That is to say N ( t ) N(t) N(t) All transitions from the start state become N ( s ) N(s ) N(s) The transition of the acceptance state of . The merged state is not treated as the merged state NFA The state of acceptance or beginning . from i i i To f f f The path of must first pass through N ( s ) N(s ) N(s) , And then pass by $N(t) $, So the marks on this path are spelled into L ( s ) L ( t ) L(s)L(t) L(s)L(t) String of . Because there is no way to enter N ( t ) N(t) N(t) The beginning or departure of N ( s ) N(s) N(s) Acceptance status of , So in i i i To f f f The path from... Does not exist in the N ( t ) N(t) N(t) go back to N ( s ) N(s ) N(s) The phenomenon of , So the synthetic NFA distinguish L ( s ) L ( t ) L( s)L( t) L(s)L(t).
![[ Failed to transfer the external chain picture , The origin station may have anti-theft chain mechanism , It is suggested to save the pictures and upload them directly (img-buMR5lRl-1656145069263)(C:\Users\23343\AppData\Roaming\Typora\typora-user-images\image-20220613211446764.png)]](/img/1e/38d2c65b79c46da7f206c561252b7b.png)
③ For the normal form s ∗ s^* s∗, Constructed of NFA N ( s ∗ ) N(s^*) N(s∗), The results are shown in the following figure . Again , i i i and f f f They are the new start state and the acceptance state . In this synthetic NFA in , You can follow ε \varepsilon ε Edge directly from i i i To f f f, This represents ε \varepsilon ε Belong to ( L ( s ) ) ∗ (L(s))^* (L(s))∗, You can also get it from i i i after N ( s ) N(s) N(s) Once or more . obviously , This NFA distinguish ( L ( s ) ) ∗ (L(s))^* (L(s))∗.
![[ Failed to transfer the external chain picture , The origin station may have anti-theft chain mechanism , It is suggested to save the pictures and upload them directly (img-JpyWjNRp-1656145069263)(C:\Users\23343\AppData\Roaming\Typora\typora-user-images\image-20220613211840493.png)]](/img/c5/e71c949f7c92073aaabf35c4cfa840.png)
④ For the normal form with parentheses ( s ) (s) (s), Corresponding s s s Of N ( s ) N(s) N(s) Just as ( s ) (s) (s) Of NFA.
Each new state of the construct is given a different name . such , All States have different names .
Thus produced NFA It has the following properties :
- NFA The number of states of is at most twice the total number of symbols and operators in the normal formula . Because each step of the construction introduces at most two new states .
- NFA There is only one acceptance state , The acceptance state has no outward transition .
- NFA For each state of the Σ \Sigma Σ A transition to another state marked by a symbol of , Or at most two that point to other states ε \varepsilon ε transformation .
Method 2 :
To construct a normal form ( a ∣ b ) ∗ a b (a\space|\space b)^*ab (a ∣ b)∗ab Of NFA For example .
![[ Failed to transfer the external chain picture , The origin station may have anti-theft chain mechanism , It is suggested to save the pictures and upload them directly (img-hEb9E0uX-1656145069264)(C:\Users\23343\AppData\Roaming\Typora\typora-user-images\image-20220613213052607.png)]](/img/71/e8a89b3e8688d945df6923bda4157b.png)
2.3.4 from NFA To DFA
The subset construction method is usually used to start from NFA Construct a that can recognize the same language DFA.
The idea of subset construction : Let the newly constructed DFA Each state of corresponds to the NFA A state set of , That is this. DFA Reading input a 1 a 2 . . . a n a_1a_2...a_n a1a2...an The state of being late , Corresponds to the NFA From the start state along those marked a 1 a 2 . . . a n a_1a_2...a_n a1a2...an A collection of all states that can be reached by the path of .
The figure below shows the identification ( a ∣ b ) ∗ a b (a\space|\space b)^*ab (a ∣ b)∗ab Of NFA.

Find the start status first 0 A state that can be reached by several empty transitions , namely ε − c o l s u r e ( 0 ) \varepsilon-colsure(0) ε−colsure(0), Write it down as A = { 0 , 1 , 2 , 4 , 7 } A = \{0,1,2,4, 7\} A={ 0,1,2,4,7}.
The input alphabet is { a , b } \{a, b\} { a,b}.
Find new status A A A After a a a a Change the state that can be reached , namely ε − c o l s u r e ( m o v e ( A , a ) ) \varepsilon-colsure(move(A, a)) ε−colsure(move(A,a)) , Because in A = { 0 , 1 , 2 , 4 , 7 } A=\{0,1, 2, 4, 7\} A={ 0,1,2,4,7} in , Only state 2 and 7 Can occur a a a transformation , Change into state respectively 3 and 8, therefore m o v e ( A , a ) = { 3 , 8 } move(A, a)=\{3, 8\} move(A,a)={ 3,8}. therefore ε − c o l s u r e ( m o v e ( A , a ) ) = ε − c o l s u r e ( { 3 , 8 } ) = { 1 , 2 , 3 , 4 , 6 , 7 , 8 } \varepsilon-colsure(move(A, a))=\varepsilon-colsure(\{3,8\})=\{1,2, 3,4, 6, 7, 8\} ε−colsure(move(A,a))=ε−colsure({ 3,8})={ 1,2,3,4,6,7,8}. Obviously this state set is new , Name it state B B B.
Find new status A A A After a b b b Change the state that can be reached , In state A A A There is only state in 4 happen b b b Transition to state 5, So state A A A Of b b b Conversion to , so ε − c l o s u r e ( m o v e ( A , b ) ) = ε − c l o s u r e ( { 5 } ) = { 1 , 2 , 4 , 5 , 6 , 7 } \varepsilon-closure( move( A, b)) = \varepsilon-closure( \{5 \})= \{1,2,4,5,6,7\} ε−closure(move(A,b))=ε−closure({ 5})={ 1,2,4,5,6,7}, Obviously this state set is new , Name it state C C C.
Yes B B B and C C C Repeat the process above , A new state will be generated D = { 1 , 2 , 4 , 5 , 6 , 7 , 9 } D=\{1,2,4,5,6,7,9\} D={ 1,2,4,5,6,7,9}, Due to state D D D It contains the State 9, That is, accept the status , So the State D D D Constructed for DFA Acceptance status of .DFA The conversion table and diagram of are as follows :

As long as you learn how to do this part , Remember to do , You can master it completely by doing more . You can see the exercises I did after class , I won't start the lecture here .
2.3.5 DFA Simplification of
Simplified DFA Contains the least number of States , And recognize the same language .
Simplification steps :
The method used for simplification is based on the fact that the transformation function is a full function ( The following describes the full function ). If one DFA Is not a full function , You can introduce a “ Dead state ” s d s_d sd , s d s_d sd Convert all input symbols to s d s_d sd In itself . If the State s s s Pair symbol a a a No conversion , Then add from s s s To s d s_d sd Of a a a Transformation . obviously , After adding the dead state DFA And the original DFA Equivalent .
Full function : adopt DFA To understand , Each state has a corresponding input symbol ( alphabet ) Output ; adopt DFA To understand , Each item of the conversion table is not an empty set .
Construct the initial partition of the state set Π Π Π: Divided into two subsets , Accept a subset of States ( A set of states consisting of all accepted states ) And a subset of unaccepted states ( A set of states consisting of all unaccepted states )
Apply the following procedure to Π Π Π Construct a new partition Π n e w Π_{new} Πnew :
for ( Π in Of Every time individual Son Set G ) { \textbf{for}\space(Π \space Each subset of \space G)\space\space \{ for (Π in Of Every time individual Son Set G) {
hold G draw branch become if dry Son Set , G Of two individual shape state s and t stay Same as One Son Set in , When And only When Yes ren It means transport Enter into operator Number a , s and t Of a turn in yes To Π Of Same as One Son Set in \space\space\space\space\space\space\space\space hold \space G\space Divide into subsets ,G\space Two states of \space s\space and \space t\space In the same subset , If and only if for any input symbol \space a\space ,\space s\space and \space t\space Of \space a\space The conversion is to \space Π\space The same subset of hold G draw branch become if dry Son Set ,G Of two individual shape state s and t stay Same as One Son Set in , When And only When Yes ren It means transport Enter into operator Number a , s and t Of a turn in yes To Π Of Same as One Son Set in
stay Π n e w in , use G Of draw branch generation On behalf of G \space\space\space\space\space\space\space\space stay \spaceΠ_{new}\space in , use \space G\space Instead of \space G\space stay Πnew in , use G Of draw branch generation On behalf of G
} \} }
I wonder if you have considered , In the same cycle , If before the cycle starts Π Π Π There are two subsets, which are recorded as G 1 G_1 G1 and G 2 G_2 G2, Now execute the first statement in the loop , Assume that G 1 G_1 G1 Divided into G 1 − s u b 1 G_{1-sub_1} G1−sub1 and G 1 − s u b 2 G_{1-sub_2} G1−sub2 , So if it's right G 2 G_2 G2 One of the groups of States encountered an input character while partitioning a a a Transferred to G 1 − s u b 1 G_{1-sub_1} G1−sub1 in , The other group also encounters input characters a a a But it moved to G 1 − s u b 2 G_{1-sub_2} G1−sub2 in , So is it right G 2 G_2 G2 division ?
Is the answer , There's no need to divide . Follow the above algorithm process closely , take G 1 G_1 G1 Divide into G 1 − s u b 1 G_{1-sub_1} G1−sub1 and G 1 − s u b 2 G_{1-sub_2} G1−sub2 after “ stay Π n e w Π_{new} Πnew in , use G G G Instead of G G G”, namely G 1 − s u b 1 G_{1-sub_1} G1−sub1 and G 1 − s u b 2 G_{1-sub_2} G1−sub2 Instead of G G G , But mainly for Π n e w Π_{new} Πnew Operations performed , in other words Π Π Π There is no change , Still two subsets G 1 G_1 G1 and G 2 G_2 G2. After reading the following steps, you will know that the following meetings will Π Π Π It is amended as follows Π n e w Π_{new} Πnew.
If Π n e w Π_{new} Πnew And Π Π Π equal , Then let Π f i n a l = Π Π_{final}=Π Πfinal=Π , Next step 5, otherwise , Make Π = Π n e w Π= Π_{new} Π=Πnew , Go to step 3.
stay Π n e w Π_{new} Πnew Select a state in each state subset of to represent it , These representatives are the simplest DFA M ′ M' M′ The state of . If s s s Is such a representative , stay DFA M M M in , if s s s Of a a a The switch to t t t, also t t t The representation of the subset is r r r( r r r It could be t t t ), that , stay M ′ M' M′ in , s s s Of a a a The switch to r r r. contain s 0 s_0 s0 The representation of the state subset of is M ′ M' M′ Start state of , M ′ M' M′ The acceptance states of are those that originally belonged to F F F Representative of the collection . Be careful , Π n e w Π_{new} Πnew Each subset of may contain only F F F The state of , Or not F F F The state of .
If M ′ M' M′ Have a dead state , Then remove it . States that are not reachable from the start state should also be deleted . The transition from any other state to a dead state is changed to undefined .
Yes, I got it from above DFA To simplify . Initial division Π Π Π Including two subsets : Accept a subset of States { D } \{D\} { D} And a subset of unaccepted states { A , B , C } \{A,B,C\} { A,B,C}. In order to construct Π n e w Π_{new} Πnew , First consider { D } \{D\} { D}, Because this subset contains only one state , It can no longer be divided , So in Π n e w Π_{new} Πnew Still in { D } \{D\} { D}. Then consider { A , B , C } \{A,B,C\} { A,B,C} , For input a a a , These states transition to B B B, But for input b b b, A A A and C C C All transition to a subset of States { A , B , C } \{A,B,C\} { A,B,C} A member of , and B B B The switch to D D D , Is a member of another subset . therefore , stay Π n e w Π_{new} Πnew in , State subsets { A , B , C } \{A,B,C\} { A,B,C} Must be divided into two new subsets { A , C } \{A,C\} { A,C} and { B } \{B\} { B}, Π n e w Π_{new} Πnew a { A , C } \{A,C\} { A,C}、 { B } \{B\} { B} and { D } \{D\} { D}.
Scan again , Only { A , C } \{A,C\} { A,C} It is possible to divide . But for input a a a and b b b, They are converted to B B B and C C C, So there is no need to divide . After this scan , Π n e w = Π Π_{new}=Π Πnew=Π. therefore $ Π_{final}$ yes { A , C } \{A,C\} { A,C}、 { B } \{B\} { B} and { D } \{D\} { D}.
If you want to choose A A A As { A , C } \{A,C\} { A,C} The representative of the , choice B B B and D D D As a representative of other single state subsets , We can get the simplest automata . Its conversion table is shown in the following figure , state A A A Is the start state , state D D D Is the only state of acceptance .

Be careful : A normal form corresponds to DFA Is not the only , But the simplest DFA( Or the least number of states DFA) Is the only one. .
such as : about ( a ∣ b ) ∗ a b (a\space|\space b)^*ab (a ∣ b)∗ab
It is we who NFA Obtained by subset construction DFA, That is, what appeared above .
This is another transformation graph representation of the normal form , It's also a DFA, But with the above DFA Obviously not the same , So a normal form corresponds to DFA Is not the only .
We should also note that the second transformation diagram is the simplest DFA Transformation diagram of .
2.4 Lexical analyzer
Lexical analyzer takes a very local view of the source program .
give an example : It's hard to find
fi(a==f(x) ...There are mistakes , Until there is nofiDefinition of function .
2.4.1 A brief introduction to lexical analyzer
** The main task of lexical analyzer :** Translate the character stream that constitutes the source program into the lexical token stream .
The function of lexical analyzer :
- Remove comments and whitespace ;
- Link error messages from various stages of the compiler to the source program ;
- Macro definition replacement .
among , Lexical analyzer has “ Link error messages to source programs ” The role of , It is because there is no line concept in the lexical token stream , So if something goes wrong , You must start from the source program ( Or character stream ) Analyze the wrong location in .
A typical relationship between a lexical analyzer and a parser , That is, the lexical analyzer is used as a subroutine of the parser to realize . When received from the parser “ Take down a mark ” On command , The lexical analyzer scans the remaining input characters , Until it can confirm a lexical mark .
2.4.2 Identifying gaps
Assume that spaces are used between lexical units when necessary ( Or tab 、 A newline ) Separate , The lexical analyzer combines the remaining input prefixes with the following formal definitions ws \textbf{ws} ws Compare to complete ignoring the blank space between lexical units .
delim → blank ∣ tab ∣ newline ws → delim + \textbf{delim}\rightarrow \textbf{blank}\space |\space \textbf{tab}\space |\space \textbf{newline}\\ \textbf{ws}\rightarrow \textbf{delim}^+\\ delim→blank ∣ tab ∣ newlinews→delim+
If the remaining input prefixes can be defined by ws \textbf{ws} ws matching , The lexical analyzer does not return tokens to the parser , It continues to look for the mark behind the blank , Then return to the parser .
The output of lexical analyzer is < remember Number name , Belong to sex value > < Token name , Property value > < remember Number name , Belong to sex value > Binary sequence , Normal form ws \textbf{ws} ws There is no corresponding mark .
2.4.3 Identify keywords and identifiers
The identification of keywords generally uses the same transformation diagram as the identification of identifiers , Instead of creating a transformation diagram for identifying keywords . That means , If the acceptance status is reached , Need to execute a piece of code , To determine whether the lexical unit reaching the acceptance state is a keyword or an identifier .
A simple way to separate keywords from identifiers is to create a keyword table . Before scanning any characters , Put the strings that make up the keywords , Such as while and do And so on , Add their corresponding tag names to the table , In order to return... When these strings are recognized .
※ Complete identification process :
The recognizer identifies the source file , If the recognizer can recognize the currently scanned string , The corresponding statement is executed ( Call function ), To get the token name and property value to be returned . Function first looks at the keyword section of the symbol table , If the current lexical unit constitutes a keyword , Returns the corresponding token ( Keyword has no attribute value ); Otherwise, the lexical unit is an identifier . This function looks up the identifier part in the symbol table , If the lexical unit is found in the table, the corresponding entry pointer is returned , If not found , Then fill the lexical unit in the identifier table , And return the pointer of the new entry ( Many compilers only fill the identifier table in the parsing phase , At this time id \textbf{id} id The attribute of is its spelling ). After identifying the current keyword or identifier , If you encounter a blank , The lexical analyzer does not return tokens to the parser , It continues to look for the mark behind the blank , Then return to the parser .
If the keyword to be recognized changes , There is no need to modify the transformation diagram , Just reset the initial value of the key part of the symbol table . It is possible to construct Transformation Diagrams for keywords alone . For a typical programming language , Doing so will result in hundreds of states for the lexical analyzer . And use the above method , Less than 100 A state may be enough .
* 2.5 Lexical analyzer generator
Lex Compiler is a special tool to construct lexical analyzer based on formal description .
Lex How to use :
Lex It is usually used as depicted in the following figure .

First , The lexical analyzer is described in Lex Language is expressed in the program lex.l in , then lex.l adopt Lex compiler , produce C Language program lex.yy.c. Program lex.yy.c Ranging from lex.l The transformation graph constructed by the normal form of ( In tabular form ) And a standard subroutine that uses this transformation diagram to identify lexical units . stay lex.l in , The action associated with the normal form is C Language code represents , They are copied directly to lex.yy.c in . Last , lex.yy.c Is compiled into an object program a.out, It is a lexical analyzer that recognizes the input string as a token sequence .
Lex Three parts of the program :

The declaration section includes variable declarations 、 Constant definitions and normal definitions .
The form of each translation rule is as follows :
model type { dynamic do } Pattern \space\space\space\space \{ action \} model type { dynamic do }
among , Each pattern is a normal form , Each action describes the pattern matching lexical unit , The program segment that lexical analyzer should execute . stay Lex in , The action is to use C Code snippets written in .
The third part includes the auxiliary functions used in the action .
Lex The established lexical analyzer executes the process :
from Lex The established lexical analyzer is usually used as a subroutine of the parser . Every time the lexical analyzer is called by the parser , Read its remaining inputs character by character , Until it finds a pattern in the rest of the input Р Р Р Up to the longest prefix of the match . Then execute and Р Р Р Corresponding action A A A. Typically , action A Will return control to the parser . If not , for example Р Р Р Describe blanks or notes , Then the lexical analyzer will continue to search for subsequent lexical units , Until an action guides the control back to the parser .
The lexical analyzer returns only one value ( Token name ) To the parser , The attribute values of tokens are shared by integer variables y y l v a l yylval yylval Pass on .
Be careful : The lexical analyzer here only returns the token name , Is aimed at Lex To build a lexical analyzer . Generally, if we only ask what the lexical analyzer provides for the parser , Then answer the token name and attribute value .
Longest prefix matching principle :
When multiple prefixes of the input string match one or more patterns , Always select the longest prefix to match .

Input < = <= <= Although it is recognized that = = = Has reached the acceptance state , But according to the longest prefix matching principle , Still need to continue to identify = = = Enter the acceptance state 2; distinguish + + ++ ++ The process is similar to .
After reaching a certain acceptance state , As long as there are symbols to enter , The finite automaton then moves on , To find a match as long as possible .
边栏推荐
- Mobx learning path - powerful "state management tool"
- Interrupt operation: abortcontroller learning notes
- How Jerry used to output a clock source to the outside world [chapter]
- ES6知识点
- Is Guotai Junan Securities reliable? Is it legal? Is it safe to open a stock account?
- How do components communicate
- 服务器四通道内存性能提升,四通道内存性能怎么样
- Jericho's method of obtaining reset source and wakeup IO port [chapter]
- 【Matlab】数值微积分与方程求解
- Create a new ar fashion experience with cheese and sugar beans
猜你喜欢

Automatic submission for the next education day
![How Jerry used to output a clock source to the outside world [chapter]](/img/ea/161be6416726bcd80bb2823a5f6389.png)
How Jerry used to output a clock source to the outside world [chapter]

单例模式应用

SDN system method | 10 The future of SDN

WARNING: Unsupported upgrade request.

汇编语言(5)寄存器(内存访问)

DDD concept is complex and difficult to understand. How to design code implementation model in practice?

Mathematical modeling - linear programming

Learning Tai Chi makers - mqtt (I) what is mqtt

Super Full Metal PBR Multi - channel Mapping Materials website collation
随机推荐
匯編語言(5)寄存器(內存訪問)
Learning Tai Chi makers - mqtt (I) what is mqtt
ES6知识点
单例模式应用
UART波特率对时钟精度的要求有多高?
mood
WARNING: Unsupported upgrade request.
cgi通过odbc连接数据库
Jerry's system clock setting is reset or invalid [chapter]
Mathematical modeling -- integer programming
Sword finger offer II 014 A sliding window of anagrams in strings
Singleton mode application
心情
JS disable browser default events
2021年5月云南省网络空间安全比赛赛题复盘
【微服务|Sentinel】流控规则概述|针对来源|流控模式详解<直接 关联 链路>
汇编语言(6)使用JCC指令构造分支与循环
Good fat man takes you to learn Flink series -flink source code analysis episode I standalone startup script analysis
Old mobile phones turn waste into treasure and serve as servers
golang sort slice int

