当前位置:网站首页>Derive the detailed expansion of STO double center kinetic energy integral
Derive the detailed expansion of STO double center kinetic energy integral
2022-07-27 10:58:00 【Black elm】










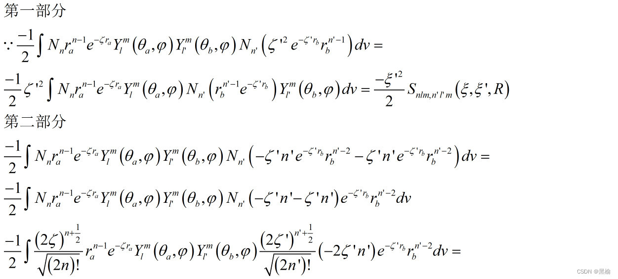
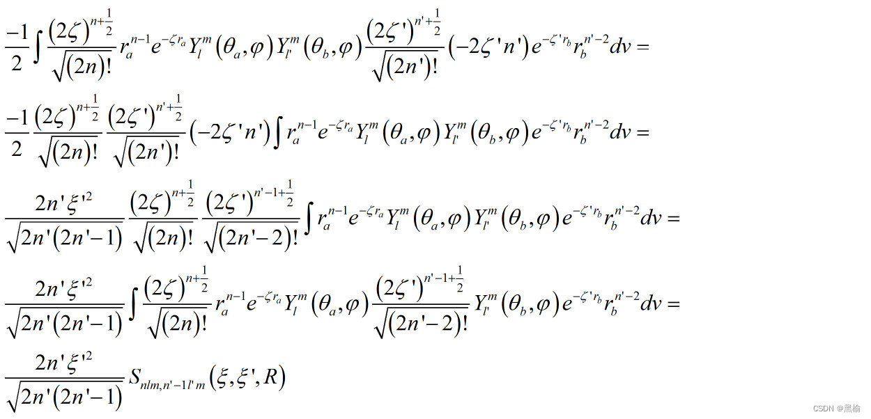
Therefore, the kinetic energy integral can be expressed as

The program is in STO Two center kinetic energy integral kinetic energy integrals
How to get it Tab( double R,double za,double zb, int n1,int L1 ,int m1 ,int n2 ,int L2 ,int m2 ), take R,za,zb All set to 1 take n<=5&&n’<=5 All the non repeating situations of have been calculated .

stay openscad On , Use the same method of starfish chart , Draw all values . The top one is m, Clockwise are L,n,n1,L2. Take the integral value as the center in x Position of the shaft .

In terms of distribution, the values are concentrated , Yes 151 Values are distributed in [-0.1,0.1] The range of

Enlarge the picture scale further , It can be seen that the values are concentrated on 0+ A narrow area nearby , Yes 25 Values are distributed in 0-0.01 Between ,
The maximum value is
0.46847562 | 5 | 4 | 4 | 5 | 4 |
The smallest is
6.50E-05 | 5 | 1 | 0 | 5 | 3 |
Kinetic energy distribution and overlapping integral distribution have similar methods for initial estimation ,|n-n’|=a,|L-L’|=b,b The greater the absolute value of kinetic energy, the smaller , stay b In the case of equality a The bigger it is , The smaller the absolute value of kinetic energy .

There are also different points. The groups of magnetic quantum numbers with the largest kinetic energy are 4,3,2. The three groups of magnetic quantum numbers with the largest overlapping integral are 0,1,0.
Kinetic energy integral
0.3065662 | 1 | 0 | 0 | 1 | 0 |
0.13897668 | 2 | 0 | 0 | 2 | 0 |
0.08653926 | 3 | 0 | 0 | 3 | 0 |
0.06483168 | 4 | 0 | 0 | 4 | 0 |
0.05177581 | 5 | 0 | 0 | 5 | 0 |
Overlapping integral
0.9818691 | 5 | 0 | 0 | 5 | 0 |
0.9768779 | 4 | 0 | 0 | 4 | 0 |
0.9681653 | 3 | 0 | 0 | 3 | 0 |
0.9483114 | 2 | 0 | 0 | 2 | 0 |
0.8583854 | 1 | 0 | 0 | 1 | 0 |
The more characteristic one 5 Group , With n The overlap integral is increased , And kinetic energy is reduced .
Value obtained
a | Tab | n | L | m | n' | L' | a | a | a |
238 | 0.46847562 | 5 | 4 | 4 | 5 | 4 | 0 | 0 | |
98 | 0.45877875 | 4 | 3 | 3 | 4 | 3 | 0 | 0 | |
33 | 0.44145533 | 3 | 2 | 2 | 3 | 2 | 0 | 0 | |
237 | 0.40794096 | 5 | 4 | 3 | 5 | 4 | 0 | 0 | |
8 | 0.40466739 | 2 | 1 | 1 | 2 | 1 | 0 | 0 | |
97 | 0.38092067 | 4 | 3 | 2 | 4 | 3 | 0 | 0 | |
236 | 0.36885772 | 5 | 4 | 2 | 5 | 4 | 0 | 0 | |
235 | 0.34687293 | 5 | 4 | 1 | 5 | 4 | 0 | 0 | |
189 | 0.34672365 | 5 | 3 | 3 | 4 | 3 | 1 | 0 | |
96 | 0.34113519 | 4 | 3 | 1 | 4 | 3 | 0 | 0 | |
234 | 0.33977537 | 5 | 4 | 0 | 5 | 4 | 0 | 0 | |
32 | 0.33459511 | 3 | 2 | 1 | 3 | 2 | 0 | 0 | |
95 | 0.32865194 | 4 | 3 | 0 | 4 | 3 | 0 | 0 | |
31 | 0.31123769 | 3 | 2 | 0 | 3 | 2 | 0 | 0 | |
69 | 0.30923955 | 4 | 2 | 2 | 3 | 2 | 1 | 0 | |
1 | 0.3065662 | 1 | 0 | 0 | 1 | 0 | 0 | 0 | |
199 | 0.30652806 | 5 | 3 | 3 | 5 | 3 | 0 | 0 | |
188 | 0.30386279 | 5 | 3 | 2 | 4 | 3 | 1 | 0 | |
187 | 0.28057553 | 5 | 3 | 1 | 4 | 3 | 1 | 0 | |
198 | 0.2760073 | 5 | 3 | 2 | 5 | 3 | 0 | 0 | |
5 | 0.27590958 | 2 | 1 | 0 | 1 | 0 | 1 | 1 | |
186 | 0.27315644 | 5 | 3 | 0 | 4 | 3 | 1 | 0 | |
75 | 0.26895797 | 4 | 2 | 2 | 4 | 2 | 0 | 0 | |
68 | 0.26148416 | 4 | 2 | 1 | 3 | 2 | 1 | 0 | |
197 | 0.25905303 | 5 | 3 | 1 | 5 | 3 | 0 | 0 | |
196 | 0.25359882 | 5 | 3 | 0 | 5 | 3 | 0 | 0 | |
18 | 0.25075041 | 3 | 1 | 1 | 2 | 1 | 1 | 0 | |
67 | 0.24814074 | 4 | 2 | 0 | 3 | 2 | 1 | 0 | |
7 | 0.24525296 | 2 | 1 | 0 | 2 | 1 | 0 | 0 | |
74 | 0.23657735 | 4 | 2 | 1 | 4 | 2 | 0 | 0 | |
27 | 0.23529164 | 3 | 2 | 1 | 2 | 1 | 1 | 1 | |
86 | 0.23165178 | 4 | 3 | 0 | 3 | 2 | 1 | 1 | |
220 | 0.23101235 | 5 | 4 | 0 | 4 | 3 | 1 | 1 | |
221 | 0.22737849 | 5 | 4 | 1 | 4 | 3 | 1 | 1 | |
73 | 0.22723901 | 4 | 2 | 0 | 4 | 2 | 0 | 0 | |
87 | 0.22602009 | 4 | 3 | 1 | 3 | 2 | 1 | 1 | |
26 | 0.22255571 | 3 | 2 | 0 | 2 | 1 | 1 | 1 | |
21 | 0.21593939 | 3 | 1 | 1 | 3 | 1 | 0 | 0 | |
222 | 0.21372673 | 5 | 4 | 2 | 4 | 3 | 1 | 1 | |
17 | 0.20373471 | 3 | 1 | 0 | 2 | 1 | 1 | 0 | |
88 | 0.20191047 | 4 | 3 | 2 | 3 | 2 | 1 | 1 | |
154 | 0.20186783 | 5 | 2 | 2 | 4 | 2 | 1 | 0 | |
148 | 0.18907134 | 5 | 2 | 2 | 3 | 2 | 2 | 0 | |
153 | 0.18434157 | 5 | 2 | 1 | 4 | 2 | 1 | 0 | |
20 | 0.183239 | 3 | 1 | 0 | 3 | 1 | 0 | 0 | |
163 | 0.1819017 | 5 | 2 | 2 | 5 | 2 | 0 | 0 | |
152 | 0.17898946 | 5 | 2 | 0 | 4 | 2 | 1 | 0 | |
223 | 0.17782436 | 5 | 4 | 3 | 4 | 3 | 1 | 1 | |
147 | 0.17271404 | 5 | 2 | 1 | 3 | 2 | 2 | 0 | |
162 | 0.16822946 | 5 | 2 | 1 | 5 | 2 | 0 | 0 | |
146 | 0.16721591 | 5 | 2 | 0 | 3 | 2 | 2 | 0 | |
161 | 0.16406342 | 5 | 2 | 0 | 5 | 2 | 0 | 0 | |
230 | 0.16089187 | 5 | 4 | 0 | 5 | 3 | 0 | 1 | |
2 | 0.15929647 | 2 | 0 | 0 | 1 | 0 | 1 | 0 | |
231 | 0.15765767 | 5 | 4 | 1 | 5 | 3 | 0 | 1 | |
177 | 0.15556261 | 5 | 3 | 0 | 3 | 2 | 2 | 1 | |
178 | 0.15026983 | 5 | 3 | 1 | 3 | 2 | 2 | 1 | |
50 | 0.14865035 | 4 | 1 | 1 | 3 | 1 | 1 | 0 | |
232 | 0.14619223 | 5 | 4 | 2 | 5 | 3 | 0 | 1 | |
92 | 0.14538698 | 4 | 3 | 0 | 4 | 2 | 0 | 1 | |
93 | 0.14032015 | 4 | 3 | 1 | 4 | 2 | 0 | 1 | |
3 | 0.13897668 | 2 | 0 | 0 | 2 | 0 | 0 | 0 | |
55 | 0.13607924 | 4 | 1 | 1 | 4 | 1 | 0 | 0 | |
62 | 0.13606582 | 4 | 2 | 0 | 2 | 1 | 2 | 1 | |
49 | 0.13465147 | 4 | 1 | 0 | 3 | 1 | 1 | 0 | |
63 | 0.12978257 | 4 | 2 | 1 | 2 | 1 | 2 | 1 | |
179 | 0.12841028 | 5 | 3 | 2 | 3 | 2 | 2 | 1 | |
54 | 0.12317983 | 4 | 1 | 0 | 4 | 1 | 0 | 0 | |
47 | 0.12257749 | 4 | 1 | 1 | 2 | 1 | 2 | 0 | |
15 | 0.12089752 | 3 | 1 | 0 | 1 | 0 | 2 | 1 | |
46 | 0.12078242 | 4 | 1 | 0 | 2 | 1 | 2 | 0 | |
183 | 0.12009769 | 5 | 3 | 0 | 4 | 2 | 1 | 1 | |
94 | 0.11943923 | 4 | 3 | 2 | 4 | 2 | 0 | 1 | |
29 | 0.11910951 | 3 | 2 | 0 | 3 | 1 | 0 | 1 | |
233 | 0.11866987 | 5 | 4 | 3 | 5 | 3 | 0 | 1 | |
184 | 0.1153586 | 5 | 3 | 1 | 4 | 2 | 1 | 1 | |
24 | 0.11272302 | 3 | 2 | 0 | 1 | 0 | 2 | 2 | |
30 | 0.11150847 | 3 | 2 | 1 | 3 | 1 | 0 | 1 | |
125 | 0.1017678 | 5 | 1 | 1 | 4 | 1 | 1 | 0 | |
65 | 0.09767602 | 4 | 2 | 0 | 3 | 1 | 1 | 1 | |
185 | 0.09673013 | 5 | 3 | 2 | 4 | 2 | 1 | 1 | |
132 | 0.09647001 | 5 | 1 | 1 | 5 | 1 | 0 | 0 | |
124 | 0.09471919 | 5 | 1 | 0 | 4 | 1 | 1 | 0 | |
66 | 0.09090624 | 4 | 2 | 1 | 3 | 1 | 1 | 1 | |
131 | 0.089642 | 5 | 1 | 0 | 5 | 1 | 0 | 0 | |
12 | 0.08653926 | 3 | 0 | 0 | 3 | 0 | 0 | 0 | |
81 | 0.08461064 | 4 | 3 | 0 | 2 | 1 | 2 | 2 | |
120 | 0.08363994 | 5 | 1 | 1 | 3 | 1 | 2 | 0 | |
10 | 0.08209091 | 3 | 0 | 0 | 2 | 0 | 1 | 0 | |
119 | 0.08166149 | 5 | 1 | 0 | 3 | 1 | 2 | 0 | |
211 | 0.07990817 | 5 | 4 | 0 | 3 | 2 | 2 | 2 | |
82 | 0.07803967 | 4 | 3 | 1 | 2 | 1 | 2 | 2 | |
193 | 0.07714396 | 5 | 3 | 0 | 5 | 2 | 0 | 1 | |
16 | 0.0749706 | 3 | 1 | 0 | 2 | 0 | 1 | 1 | |
212 | 0.07461362 | 5 | 4 | 1 | 3 | 2 | 2 | 2 | |
6 | 0.07433835 | 2 | 1 | 0 | 2 | 0 | 0 | 1 | |
194 | 0.07367964 | 5 | 3 | 1 | 5 | 2 | 0 | 1 | |
141 | 0.06965407 | 5 | 2 | 0 | 2 | 1 | 3 | 1 | |
144 | 0.06797851 | 5 | 2 | 0 | 3 | 1 | 2 | 1 | |
40 | 0.06483168 | 4 | 0 | 0 | 4 | 0 | 0 | 0 | |
142 | 0.06199445 | 5 | 2 | 1 | 2 | 1 | 3 | 1 | |
145 | 0.0619181 | 5 | 2 | 1 | 3 | 1 | 2 | 1 | |
37 | 0.06073986 | 4 | 0 | 0 | 3 | 0 | 1 | 0 | |
195 | 0.06060151 | 5 | 3 | 2 | 5 | 2 | 0 | 1 | |
213 | 0.05698628 | 5 | 4 | 2 | 3 | 2 | 2 | 2 | |
116 | 0.05274643 | 5 | 1 | 0 | 2 | 1 | 3 | 0 | |
109 | 0.05177581 | 5 | 0 | 0 | 5 | 0 | 0 | 0 | |
71 | 0.0517613 | 4 | 2 | 0 | 4 | 1 | 0 | 1 | |
45 | 0.05038795 | 4 | 1 | 0 | 2 | 0 | 2 | 1 | |
150 | 0.04978771 | 5 | 2 | 0 | 4 | 1 | 1 | 1 | |
105 | 0.04912043 | 5 | 0 | 0 | 4 | 0 | 1 | 0 | |
72 | 0.04635927 | 4 | 2 | 1 | 4 | 1 | 0 | 1 | |
36 | 0.04530474 | 4 | 0 | 0 | 2 | 1 | 2 | -1 | |
151 | 0.04508134 | 5 | 2 | 1 | 4 | 1 | 1 | 1 | |
172 | 0.04430469 | 5 | 3 | 0 | 2 | 1 | 3 | 2 | |
117 | 0.04376314 | 5 | 1 | 1 | 2 | 1 | 3 | 0 | |
60 | 0.04248608 | 4 | 2 | 0 | 1 | 0 | 3 | 2 | |
217 | 0.04197276 | 5 | 4 | 0 | 4 | 2 | 1 | 2 | |
218 | 0.03888111 | 5 | 4 | 1 | 4 | 2 | 1 | 2 | |
173 | 0.03850086 | 5 | 3 | 1 | 2 | 1 | 3 | 2 | |
44 | 0.035303 | 4 | 1 | 0 | 1 | 0 | 3 | 1 | |
9 | 0.03490011 | 3 | 0 | 0 | 1 | 0 | 2 | 0 | |
101 | 0.03441197 | 5 | 0 | 0 | 2 | 1 | 3 | -1 | |
48 | 0.03414011 | 4 | 1 | 0 | 3 | 0 | 1 | 1 | |
84 | 0.03368461 | 4 | 3 | 0 | 3 | 1 | 1 | 2 | |
79 | 0.03107613 | 4 | 3 | 0 | 1 | 0 | 3 | 3 | |
118 | 0.02983738 | 5 | 1 | 0 | 3 | 0 | 2 | 1 | |
219 | 0.02876989 | 5 | 4 | 2 | 4 | 2 | 1 | 2 | |
85 | 0.02861285 | 4 | 3 | 1 | 3 | 1 | 1 | 2 | |
102 | 0.02799696 | 5 | 0 | 0 | 3 | 0 | 2 | 0 | |
35 | 0.02760985 | 4 | 0 | 0 | 2 | 0 | 2 | 0 | |
159 | 0.02733575 | 5 | 2 | 0 | 5 | 1 | 0 | 1 | |
175 | 0.02608515 | 5 | 3 | 0 | 3 | 1 | 2 | 2 | |
11 | 0.02585193 | 3 | 0 | 0 | 2 | 1 | 1 | -1 | |
115 | 0.02467362 | 5 | 1 | 0 | 2 | 0 | 3 | 1 | |
160 | 0.02425207 | 5 | 2 | 1 | 5 | 1 | 0 | 1 | |
103 | 0.02408304 | 5 | 0 | 0 | 3 | 1 | 2 | -1 | |
176 | 0.02226139 | 5 | 3 | 1 | 3 | 1 | 2 | 2 | |
206 | 0.02145871 | 5 | 4 | 0 | 2 | 1 | 3 | 3 | |
123 | 0.0200379 | 5 | 1 | 0 | 4 | 0 | 1 | 1 | |
19 | 0.01894701 | 3 | 1 | 0 | 3 | 0 | 0 | 1 | |
61 | 0.0187315 | 4 | 2 | 0 | 2 | 0 | 2 | 2 | |
207 | 0.01850684 | 5 | 4 | 1 | 2 | 1 | 3 | 3 | |
227 | 0.0164379 | 5 | 4 | 0 | 5 | 2 | 0 | 2 | |
167 | 0.0164379 | 5 | 2 | 0 | 5 | 4 | 0 | -2 | |
168 | 0.0150879 | 5 | 2 | 1 | 5 | 4 | 0 | -2 | |
228 | 0.0150879 | 5 | 4 | 1 | 5 | 2 | 0 | 2 | |
38 | 0.0141372 | 4 | 0 | 0 | 3 | 1 | 1 | -1 | |
25 | 0.01334988 | 3 | 2 | 0 | 2 | 0 | 1 | 2 | |
140 | 0.01333106 | 5 | 2 | 0 | 2 | 0 | 3 | 2 | |
139 | 0.01270245 | 5 | 2 | 0 | 1 | 0 | 4 | 2 | |
169 | 0.0108111 | 5 | 2 | 2 | 5 | 4 | 0 | -2 | |
229 | 0.0108111 | 5 | 4 | 2 | 5 | 2 | 0 | 2 | |
170 | 0.01024004 | 5 | 3 | 0 | 1 | 0 | 4 | 3 | |
53 | 0.00975365 | 4 | 1 | 0 | 4 | 0 | 0 | 1 | |
181 | 0.00964045 | 5 | 3 | 0 | 4 | 1 | 1 | 2 | |
182 | 0.0079456 | 5 | 3 | 1 | 4 | 1 | 1 | 2 | |
106 | 0.00749649 | 5 | 0 | 0 | 4 | 1 | 1 | -1 | |
204 | 0.00655466 | 5 | 4 | 0 | 1 | 0 | 4 | 4 | |
209 | 0.00651543 | 5 | 4 | 0 | 3 | 1 | 2 | 3 | |
130 | 0.00614986 | 5 | 1 | 0 | 5 | 0 | 0 | 1 | |
143 | 0.00554792 | 5 | 2 | 0 | 3 | 0 | 2 | 2 | |
210 | 0.00525602 | 5 | 4 | 1 | 3 | 1 | 2 | 3 | |
58 | 0.004891 | 4 | 1 | 0 | 4 | 3 | 0 | -2 | |
90 | 0.004891 | 4 | 3 | 0 | 4 | 1 | 0 | 2 | |
43 | 0.00463975 | 4 | 0 | 0 | 4 | 3 | 0 | -3 | |
91 | 0.00325652 | 4 | 3 | 1 | 4 | 1 | 0 | 2 | |
59 | 0.00325652 | 4 | 1 | 1 | 4 | 3 | 0 | -2 | |
171 | 0.00316265 | 5 | 3 | 0 | 2 | 0 | 3 | 3 | |
122 | 0.00291088 | 5 | 1 | 1 | 3 | 2 | 2 | -1 | |
137 | 0.00183619 | 5 | 1 | 0 | 5 | 4 | 0 | -3 | |
108 | 0.00182084 | 5 | 0 | 0 | 4 | 3 | 1 | -3 | |
112 | 0.00161768 | 5 | 0 | 0 | 5 | 3 | 0 | -3 | |
138 | 0.00155681 | 5 | 1 | 1 | 5 | 4 | 0 | -3 | |
114 | 0.00102718 | 5 | 1 | 0 | 1 | 0 | 4 | 1 | |
80 | 4.52E-04 | 4 | 3 | 0 | 2 | 0 | 2 | 3 | |
191 | 6.50E-05 | 5 | 3 | 0 | 5 | 1 | 0 | 2 | |
135 | 6.50E-05 | 5 | 1 | 0 | 5 | 3 | 0 | -2 | |
192 | -1.63E-04 | 5 | 3 | 1 | 5 | 1 | 0 | 2 | |
136 | -1.63E-04 | 5 | 1 | 1 | 5 | 3 | 0 | -2 | |
121 | -2.14E-04 | 5 | 1 | 0 | 3 | 2 | 2 | -1 | |
113 | -2.29E-04 | 5 | 0 | 0 | 5 | 4 | 0 | -4 | |
224 | -2.29E-04 | 5 | 4 | 0 | 5 | 0 | 0 | 4 | |
215 | -2.54E-04 | 5 | 4 | 0 | 4 | 1 | 1 | 3 | |
216 | -3.56E-04 | 5 | 4 | 1 | 4 | 1 | 1 | 3 | |
205 | -4.05E-04 | 5 | 4 | 0 | 2 | 0 | 3 | 4 | |
214 | -8.34E-04 | 5 | 4 | 0 | 4 | 0 | 1 | 4 | |
64 | -0.0012912 | 4 | 2 | 0 | 3 | 0 | 1 | 2 | |
174 | -0.0013802 | 5 | 3 | 0 | 3 | 0 | 2 | 3 | |
208 | -0.001508 | 5 | 4 | 0 | 3 | 0 | 2 | 4 | |
149 | -0.0015212 | 5 | 2 | 0 | 4 | 0 | 1 | 2 | |
226 | -0.0015568 | 5 | 4 | 1 | 5 | 1 | 0 | 3 | |
190 | -0.0016177 | 5 | 3 | 0 | 5 | 0 | 0 | 3 | |
225 | -0.0018362 | 5 | 4 | 0 | 5 | 1 | 0 | 3 | |
180 | -0.0023342 | 5 | 3 | 0 | 4 | 0 | 1 | 3 | |
111 | -0.004588 | 5 | 0 | 0 | 5 | 2 | 0 | -2 | |
158 | -0.004588 | 5 | 2 | 0 | 5 | 0 | 0 | 2 | |
89 | -0.0046397 | 4 | 3 | 0 | 4 | 0 | 0 | 3 | |
129 | -0.004979 | 5 | 1 | 1 | 4 | 3 | 1 | -2 | |
128 | -0.0052935 | 5 | 1 | 0 | 4 | 3 | 1 | -2 | |
110 | -0.0061499 | 5 | 0 | 0 | 5 | 1 | 0 | -1 | |
83 | -0.0066891 | 4 | 3 | 0 | 3 | 0 | 1 | 3 | |
100 | -0.0071482 | 5 | 0 | 0 | 2 | 0 | 3 | 0 | |
107 | -0.0082961 | 5 | 0 | 0 | 4 | 2 | 1 | -2 | |
42 | -0.0088426 | 4 | 0 | 0 | 4 | 2 | 0 | -2 | |
70 | -0.0088426 | 4 | 2 | 0 | 4 | 0 | 0 | 2 | |
41 | -0.0097536 | 4 | 0 | 0 | 4 | 1 | 0 | -1 | |
104 | -0.0101811 | 5 | 0 | 0 | 3 | 2 | 2 | -2 | |
127 | -0.0142052 | 5 | 1 | 1 | 4 | 2 | 1 | -1 | |
126 | -0.0171653 | 5 | 1 | 0 | 4 | 2 | 1 | -1 | |
39 | -0.0188792 | 4 | 0 | 0 | 3 | 2 | 1 | -2 | |
13 | -0.018947 | 3 | 0 | 0 | 3 | 1 | 0 | -1 | |
28 | -0.0201081 | 3 | 2 | 0 | 3 | 0 | 0 | 2 | |
14 | -0.0201081 | 3 | 0 | 0 | 3 | 2 | 0 | -2 | |
34 | -0.022455 | 4 | 0 | 0 | 1 | 0 | 3 | 0 | |
134 | -0.0242521 | 5 | 1 | 1 | 5 | 2 | 0 | -1 | |
133 | -0.0273357 | 5 | 1 | 0 | 5 | 2 | 0 | -1 | |
52 | -0.0327681 | 4 | 1 | 1 | 3 | 2 | 1 | -1 | |
99 | -0.0365188 | 5 | 0 | 0 | 1 | 0 | 4 | 0 | |
51 | -0.0402551 | 4 | 1 | 0 | 3 | 2 | 1 | -1 | |
57 | -0.0463593 | 4 | 1 | 1 | 4 | 2 | 0 | -1 | |
56 | -0.0517613 | 4 | 1 | 0 | 4 | 2 | 0 | -1 | |
157 | -0.0579365 | 5 | 2 | 2 | 4 | 3 | 1 | -1 | |
166 | -0.0606015 | 5 | 2 | 2 | 5 | 3 | 0 | -1 | |
156 | -0.0708862 | 5 | 2 | 1 | 4 | 3 | 1 | -1 | |
165 | -0.0736796 | 5 | 2 | 1 | 5 | 3 | 0 | -1 | |
155 | -0.0742688 | 5 | 2 | 0 | 4 | 3 | 1 | -1 | |
4 | -0.0743384 | 2 | 0 | 0 | 2 | 1 | 0 | -1 | |
164 | -0.077144 | 5 | 2 | 0 | 5 | 3 | 0 | -1 | |
23 | -0.1115085 | 3 | 1 | 1 | 3 | 2 | 0 | -1 | |
203 | -0.1186699 | 5 | 3 | 3 | 5 | 4 | 0 | -1 | |
22 | -0.1191095 | 3 | 1 | 0 | 3 | 2 | 0 | -1 | |
78 | -0.1194392 | 4 | 2 | 2 | 4 | 3 | 0 | -1 | |
77 | -0.1403201 | 4 | 2 | 1 | 4 | 3 | 0 | -1 | |
76 | -0.145387 | 4 | 2 | 0 | 4 | 3 | 0 | -1 | |
202 | -0.1461922 | 5 | 3 | 2 | 5 | 4 | 0 | -1 | |
201 | -0.1576577 | 5 | 3 | 1 | 5 | 4 | 0 | -1 | |
200 | -0.1608919 | 5 | 3 | 0 | 5 | 4 | 0 | -1 |
1.Calculation of the One-Electron Two-Center Integrals Over Slater-Type Orbitals by Means of the Ellipsoidal Coordinates Method by SIDI MOHAMED MEKELLECHE, ABDELLATIF BABA-AHMED(1996)
2..Evaluation of Two-center One- and Two-electron Integrals over Slater Type Orbitals by YAKAR, Yusuf , ÖZMEN, Ayhan,ATAV, Ülfet (2006)
边栏推荐
- Chunjun supports DDL conversion and automatic execution of heterogeneous data sources - dtmo 02 review (including course playback + courseware)
- Mysql死锁、悲观锁、乐观锁
- Set up Samba service
- 推导STO双中心动能积分的详细展开式
- 学习笔记-uni-app
- The difference between scalar, vector, matrix and tensor in deep learning
- ECCV 2022 | complete four tracking tasks at the same time! Unicorn: towards the unification of target tracking
- Compete for the key battle of stock users and help enterprises build a perfect labeling system - 01 live review
- Want to speed up the vit model with one click? Try this open source tool!
- Background color style modification on table hover in antd
猜你喜欢

antd table中排序th阻止悬停变色+table悬停行变色+table表头变色

Custom page 01 of JSP custom tag

熵与形态的非递进现象

How to modify the strict mode under MySQL so that adding new users by inserting user table is successful

gyp ERR! configure error. gyp ERR! stack Error: gyp failed with exit code: 1

涌现与形态的局部差异和整体差异

Beijing publicized the spot check of 8 batches of children's shoes, and qierte was listed as unqualified

数据类型与变量

php生成文字图片水印

深度解析:什么是Diffusion Model?
随机推荐
基于Spark封装的二次开发工程edata-base,介绍
Integrated design of communication perception based on CSI: problems, challenges and Prospects
OpenAtom OpenHarmony分论坛,今天14:00见!附大事记精彩发布
PHP generates text and image watermarks
Tdengine helps Siemens' lightweight digital solution simicas simplify data processing process
ASP.NET Core依赖注入之旅:1.理论概念
Edata base, a secondary development project based on spark packaging, is introduced
Set up Samba service
Application scenarios, key technologies and network architecture of communication perception integration
antd中table hover上去的背景色样式修改
Custom page 01 of JSP custom tag
Learning C language together: structure (2)
Antd table+checkbox default value display
推导STO双中心动能积分的详细展开式
Object array de duplication
Problems and Countermeasures of minors' digital security protection
Error: image clipToBoundsAndScale, argument 'input'
招聘顶尖人才!旷视科技“MegEagle创视者计划”正式启动
Ten year structure five year life-07 young and vigorous transformation
JVM -- Analysis of bytecode