当前位置:网站首页>Digital image processing Chapter 5 - image restoration and reconstruction
Digital image processing Chapter 5 - image restoration and reconstruction
2022-07-27 05:57:00 【Hai Ou Wan Ramen】
Catalog
5.1 Image degradation / The model of the recovery process
5.2.1 Spatial and frequency characteristics of noise
5.2.2 Some important noise probability density functions
pulse ( Salt and pepper ) noise
5.2.4 Estimation of noise parameters
5.3 There is only noise recovery —— Spatial filtering
5.3.2 Statistical sorting filter
Adaptive local noise reduction filter
5.4 Using frequency domain filtering to eliminate periodic noise
5.5 linear 、 Position invariant degradation
5.6 Estimate the degenerate function
5.6.1 Image observation estimation
5.8 Minimum mean square error ( Wiener ) wave filtering
5.9 Constrained least squares filtering
The main purpose of image restoration technology is to improve the image with predetermined goals , Most of it is an objective process . Image restoration attempts to use some prior knowledge of degradation phenomenon to restore the degraded image . thus , Restoration technology is oriented to degenerate models , And use the opposite process , In order to restore the original image .
5.1 Image degradation / The model of the recovery process
As shown in the figure below , The degradation process is modeled as a degradation function and an additive noise term , For an input image f(x,y) To deal with , Produce a degraded image g(x,y).

If H It's a linear 、 Location invariant process , Then the degraded image in the spatial domain can be given by the following formula :

Equivalent frequency domain representation :

5.2 Noise model
In digital images , Noise mainly comes from image acquisition and / Or transmission process .
5.2.1 Spatial and frequency characteristics of noise
Frequency characteristics : Frequency content of noise in Fourier domain ( That is, the frequency relative to the electromagnetic spectrum ).
In addition to spatial periodic noise , We assume that noise and spatial coordinates have no crown , And the noise is not related to the image itself ( That is, there is no correlation between the pixel value and the value of the noise component ).
5.2.2 Some important noise probability density functions
Gaussian noise
Gaussian random variables z The probability density function of (PDF) Given by the following formula :


rayleigh noise
Rayleigh noise PDF Given by the following formula :

The mean and variance of probability density are determined by

and

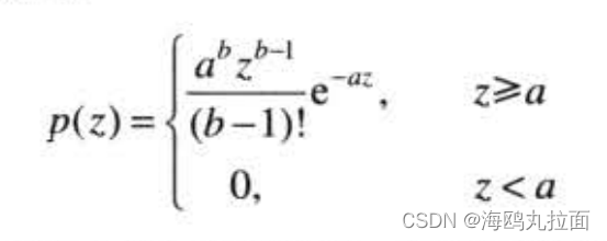
The Irish ( gamma ) noise

The mean and variance of probability density are given by the following formula :


Exponential noise

The mean and variance of the probability density function are


Mean noise

Mean and variance :


pulse ( Salt and pepper ) noise

If b>a, Then gray level b It will be shown as a bright spot in the image ; conversely , Gray scale a It will be displayed as a dark dot in the image . if Pa or Pb zero , Then impulse noise is called single machine impulse . If Pa and Pb Neither can be zero , Especially when they are approximately equal , Then the impulse noise value will be similar to the call and pepper powder particles randomly distributed on the image .
In fact, in the salt and pepper noise , The values of noise are not necessarily the maximum and minimum values in the range of image values . But compared with the intensity of the image signal , Pulse pollution is usually relatively large , So in an image, impulse noise is usually digitized to the maximum ( Pure black or white ).

5.2.3 Periodic noise
Periodic noise in the image is generated by electrical or electromechanical interference during image acquisition . Can be significantly reduced by the frequency filter .
5.2.4 Estimation of noise parameters
The parameters of periodic noise are usually estimated by detecting the Fourier spectrum of the image .
noise PDF The parameters of the sensor can generally be known from the technical description of the sensor , But for special imaging devices, it is usually necessary to estimate these parameters .
When only images generated by sensors are available , Usually, it can be estimated by a small part of a reasonable constant gray value PDF Parameters of .
5.3 There is only noise recovery —— Spatial filtering
When the only degradation in an image is noise ,


The noise term is unknown , So from g(x,y) or G(u,v) Subtract them from... And don't show . In the case of only additive noise , The method of spatial filtering can be selected for image restoration .
5.3.1 Mean filter
Arithmetic mean filter
Is the simplest mean filter . Make Sxy Indicates that the center is at the point (x,y) It's about 、 The size is mxn Rectangular sub image window ( Neighborhood ) A set of coordinates . The arithmetic mean filter is Sxy Calculate the polluted image in the defined area g(x,y) Average value . At point (x,y) Restore image at
Value , Simply use Sxy The arithmetic mean of the pixels in the defined area , namely

This operation can use a size of mxn A spatial filter to achieve , All coefficients of the filter are of their values 1/mn. Mean filtering smoothes local changes in an image , Although the results are blurred , But it reduces the noise .
Geometric mean filter
An image restored using a geometric mean filter is given by the following expression :
![\hat{f}(x,y)=[\prod_{(s,t)\in S_{xy}}g(s,t)^{}]^{\frac{1}{mn}}](http://img.inotgo.com/imagesLocal/202207/27/202207270511339383_28.gif)
Each restored pixel is multiplied by the pixels in the sub image window 1/mn Power gives . The smoothing achieved by geometric mean filter can be compared with arithmetic mean filter , But less image details are lost in this processing .
Harmonic mean filter

Harmonic mean filter has a good effect on salt particle noise , But not for pepper noise . It is good at dealing with other noises like Gaussian noise .
Inverse harmonic mean filter

among Q Called the order of the filter . This filter is suitable for reducing or eliminating the influence of salt and pepper noise in practice . When Q The value is positive , The filter eliminates pepper noise ; When Q The value is negative. , Change the filter to eliminate salt particle noise . But it cannot eliminate these two kinds of noises at the same time . When Q=0 when , Inverse harmonic mean filter is simplified to arithmetic mean filter ; And when Q=-1 when , Harmonic mean filter .
5.3.2 Statistical sorting filter
Statistical sorting filter is a spatial domain filter , The correspondence of the spatial domain filter is based on the order of pixel values in the image region surrounded by the filter ( Sort ). The sorting result determines the corresponding filter .
Median filter
The median filter uses the median of the gray level in the neighborhood of a pixel to replace the value of the pixel ,

Median filtering is widely used , Because for some types of random noise , They can provide good denoising ability , And it causes less blur than the linear smoothing filter of the same size . In the presence of monopole or bipolar impulse noise , Median filter is especially effective .
Maximum and minimum filters
Maximum filter :

This filter is very useful for finding the brightest spots in the image . Again , Because the value of pepper noise is very low , As a sub image area Sxy The result of this maximum selection process , This filter can be used to reduce it .
Minimum filter :

This filter is very useful for finding the darkest points in the image . Again , As a result of the minimum operation , It can reduce salt noise .
Midpoint filter
The midpoint filter simply calculates the midpoint between the maximum and minimum values in the surrounding area of the filter
![\hat{f}(x,y)=\frac{1}{2}[\underset{(s,t)\in S_{xy}}{max}\left \{g(s,t) \right \}+\underset{(s,t)\in S_{xy}}{min}\left \{ g(s,t) \right \}]](http://img.inotgo.com/imagesLocal/202207/27/202207270511339383_11.gif)
This filter combines statistical sorting with averaging , It is most suitable for dealing with randomly distributed noise , Such as Gaussian noise or uniform noise .
Modified alpha mean filter

In style ,d The value range of can be 0 To mn-1. When d=0 when , The modified alpha mean filter degenerates into an arithmetic mean filter . If you choose d=mn-1, Then the modified alpha mean filter will degenerate into a median filter . When d When taking other values , The modified alpha mean filter is very useful in the case of multiple noises , For example, Gaussian noise and salt and pepper noise are mixed .
5.3.3 Adaptive filter
Filter characteristics change with mxn Rectangular window Sxy Based on the statistical characteristics of the image in the defined filter region .
Adaptive local noise reduction filter
The simplest statistical measures of random variables are their mean and variance . As the basis of adaptive filter , They are reasonable parameters , Because they are closely related to the appearance of the image . Mean gives a measure of the average gray level in the area on which the mean is calculated , The variance gives a measure of the contrast of the region .
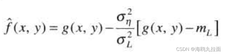
The filter is at any point in the center of the region (x,y) The response on is based on the following four quantities : (a)g(x,y), Noisy image at point (x,y) Value on ; (b)ση2, Pollution f(x,y) To form g(x,y) The variance of the noise ; (c)mL,Sxy Local mean value of pixels in ; (d)σL2,Sxy Local variance of pixels in .
We hope the performance of the filter is as follows : 1. If ση2 zero , Then the filter should simply return g(x,y) Value . It doesn't matter , In the case of zero noise g(x,y) be equal to f(x,y). 2. If the local variance and ση2 It's highly relevant , Then the filter returns g(x,y) An approximation of . High local variance is usually associated with edges , And these edges should be protected . 3. If the two variances are equal , We want the filter to return Sxy Arithmetic mean of pixels in . This happens when the local area has the same characteristics as the whole image , And it will not be reduced by simply averaging in the morning .

The only quantity to know or estimate is the variance of all noises
.
Adaptive median filter
For median filter , As long as the spatial density of impulse noise is small , The performance will be very good . Adaptive median filter can deal with impulse noise with greater probability , Try to preserve details when smoothing non impulse noise , This is beyond the traditional median filter . Adaptive median filter also works in rectangular window area Sxy Inside , But when filtering , Will change according to some of the conditions listed in this section ( Or increase )Sxy The size of the . The output of the filter is a single value , This value is used in place of the point (x,y) The pixel value at , spot (x,y) Is the given time window Sxy Center of .
Consider the following symbols :
- Zmin=Sxy Minimum gray value in
- Zmax=Sxy The maximum gray value in
- Zmed=Sxy The median value of the gray value in
- Zxy= coordinate (x,y) Gray value at
- Smax=Sxy Maximum size allowed
The adaptive median filter algorithm works in two processes , They are represented as processes A And processes B
process A:
- A1=Zmed-Zmin
- A2=Zmed-Zmax
- If A1>0 And A2<0, Then go to process B
- Otherwise, increase the window size
- If the window size ≤Smax, Then repeat the process A
- Otherwise output Zmed
process B:
- B1=Zxy-Zmin
- B2=Zxy-Zmax
- If B1>0 And B2<0, The output Zxy
- Otherwise output Zmed
5.4 Using frequency domain filtering to eliminate periodic noise
5.4.1 Band stop filter



5.4.2 Bandpass filter
The band-pass filter performs the opposite operation to the band stop filter .


5.4.3 Notch filter
Notch filter prevents ( Or through ) The frequency in the neighborhood of the pre-defined central frequency .

Due to the symmetry of Fourier transform , To get effective results , Notch filters must appear symmetrically about the origin . A special case of this principle is , If the notch filter is located at the origin , under these circumstances , Notch filter makes itself . The logarithm of the realizable notch filter is arbitrary , The shape of the notch region can also be arbitrary ( A rectangle, for example ).

The transfer function is given by :

5.4.4 Optimal notch filtering
When there is concentrated interference , The previous method may eliminate too much image information in the filtering process ( When the image is very special or difficult to obtain , I really don't want this phenomenon ). In a sense , The optimal notch filter minimizes the local variance of the restored estimate .
The process consists of two parts :
- First step , Extract the main frequency component of the interference mode . By placing a notch bandpass filter at each peak HNP(u,v) To complete . If the filter is constructed to pass only the components related to the interference mode , Then the Fourier transform of the interference noise mode is given by the following formula :
G(u,v) Fourier transform of the contaminated image .HNP(u,v) It is usually necessary to observe the displayed G(u,v) The spectrum of the filter interactively creates notch bandpass filters , To determine what is peak noise interference . The spatial domain noise is represented as follows : 
- The second step , Subtract a possible variable weight part of the pattern from the contaminated image . Because the knowledge extracted in the first step interferes with the main components of the pattern ( That is, the approximate value of the real interference mode ), Not all the noise , Therefore, what is subtracted from the polluted image is η(x,y) A weighted part of , obtain f(x,y) An estimate of .

5.5 linear 、 Position invariant degradation
![]()
hypothesis η(x,y)=0, be g(x,y) = H[f(x,y)]. If
![]()
System H It's a linear system , among a and b It's scalar ,f1(x,y) and f2(x,y) Are two input images .
Additivity
if a=b=1, be
![]()
namely , if H Is a linear operator , Then the response of the sum of the two inputs is equal to the sum of the two responses .
Homogeneity
if f2(x,y) = 0, be
![]()
Indicates the response of any input multiplied by a constant , Equal to the input response multiplied by the same constant .
All in all , A linear operator has additivity and uniformity .
If an operator satisfies
![]()
Then meet g(x,y) = H[f(x,y)] The operator of is called position ( Or space ) Invariant system . namely , The response at any point in the image depends only on the input value at that point , It has nothing to do with the position of the point .
Linear space invariant degenerate systems with additive noise , It can be modeled as degradation in the spatial domain ( Point spread ) Convolution of function and an image , Plus the noise . The frequency domain is the product of the transformation of image and degenerate function , Plus the transformation of noise .
The filter used for restoration processing is usually called deconvolution filter .
5.6 Estimate the degenerate function
During image restoration , There are mainly 3 A method for estimating degenerate functions :(1) Observation ,(2) Test method ,(3) Mathematical modeling .
5.6.1 Image observation estimation
Suppose there is a degraded image , There is no degenerate function H Any knowledge of . Based on the image is linear 、 The assumption that the process of location invariance degenerates , It is estimated that H One way is to collect data from the image itself ,

The complete degenerate function can be restored based on the assumption of constant position H(u,v). This method is a cumbersome process used only in special circumstances .
5.6.2 Test estimation
Images similar to degraded images can be obtained through various system settings , Until these images degenerate to as close as possible to the image we want to restore . after , Use the same system for an impulse ( Small highlights ) imaging , Get degraded shock response .
An impulse can be simulated by a bright spot , This point should be as bright as possible , In order to reduce the impact of noise to a negligible degree .

5.6.3 Modeling estimation
Because degradation modeling can solve the problem of image restoration , Therefore, it has been used by people for many years .
Atmospheric turbulence model
![]()
k Is a constant related to the nature of turbulence .k The larger the size, the more blurred the image .
Motion blur model
![]()
x0(t) and y0(t) Respectively in x and y The component of motion that changes with time in the direction .T Is the exposure time ,g(x,y) For the blurred image .
import numpy as np
import cv2
def motion_blur(image, degree=12, angle=45):
image = np.array(image)
# Here we generate motion blur at any angle kernel Matrix , degree The bigger it is , The more fuzzy
M = cv2.getRotationMatrix2D((degree / 2, degree / 2), angle, 1)
motion_blur_kernel = np.diag(np.ones(degree))
motion_blur_kernel = cv2.warpAffine(motion_blur_kernel, M, (degree, degree))
motion_blur_kernel = motion_blur_kernel / degree
blurred = cv2.filter2D(image, -1, motion_blur_kernel)
# convert to uint8
cv2.normalize(blurred, blurred, 0, 255, cv2.NORM_MINMAX)
blurred = np.array(blurred, dtype=np.uint8)
return blurred
img = cv2.imread(r'G:\4.jpg')
img_ = motion_blur(img)
cv2.imshow('Source image',img)
cv2.imshow('blur image',img_)
cv2.waitKey()
Before and after treatment :

5.7 Inverse filtering
The degenerate function has been given , The simplest restoration method is to do inverse filtering directly . Here we use the degenerate function to divide the Fourier transform of the degenerate image G(u,v) To calculate the estimation of Fourier transform of the original image
, namely

The expression tells us , Even if you know the degenerate function , Nor can it accurately restore the undeveloped image [F(u,v) Inverse Fourier transform of ], because N(u,v) Unknown . If the degenerate function is zero or a very small value , be N(u,v)/H(u,v) It's easy to control estimates
.
One way to solve the problem of degenerate functions with zero or very small values is , Limit the frequency of filtering , Make it close to the origin . therefore , By limiting the frequency near the origin , It reduces the probability of encountering zero .
5.8 Minimum mean square error ( Wiener ) wave filtering
Wiener filtering is based on the fact that both image and noise are random variables , The goal is to find uncontaminated images f An estimate of
, Minimize the mean square error between them . This error measure is given by the following formula :
![]()
Assume that the noise is not related to the image , One or the other has a zero mean , And the gray levels in ancient books are linear functions of gray levels in degraded images . Based on these conditions , The minimum value of the error function is given by the following expression in the frequency domain :

The meanings of each item in the formula are as follows :
- H(u,v)= Degenerate function
- H*(u,v)=H(u,v) The complex conjugation of
- |H(u,v)|²=H*(u,v)H(u,v)
- Sη(u,v)=|N(u,v)|²= Power spectrum of noise
- Sf(u,v)=|F(u,v)|²= Power spectrum of undegraded image
Many useful measurements are based on the power spectrum of noise and undegraded images , One of the most important is signal-to-noise ratio , It is approximated by the following formula in the frequency domain :

This ratio gives the signal power carrying information ( That is, the original or degraded original image ) Measurement of level and noise power level .
When dealing with white noise , Spectrum |N(u,v)|² It's a constant . However , The power spectrum of undegraded images is rarely known . When these quantities are unknown or cannot be estimated , A frequently used method is the following expression :

In style K Is an addition |H(u,v)|² Specific constants on all terms of .
5.9 Constrained least squares filtering

among γ It's a parameter , It can be done to γ Make interactive adjustments , It can also be calculated iteratively .P(u,y) It's a matrix p(x,y) = [0, -1, 0; -1, 4,-1; 0, -1, 0] The Fourier transform of . Compared with Wiener filter , Every image applied to it can produce the best results .
5.10 Geometric mean filtering
A little generalization of Wiener filter is the so-called geometric mean filter form :

among α and β Is a positive real constant .
Arithmetic mean filtering is given below 、 Geometric mean filter 、 Harmonic filter processing code and results 、
import numpy as np
import cv2
# Arithmetic mean filter :
def a_mean(img, kernel_size):
G_mean_img = np.zeros(img.shape)
# print(G_mean_img[0][0])
# print(img)
k = int((kernel_size - 1) / 2)
# print(k)
for i in range(img.shape[0]):
for j in range(img.shape[1]):
if i < k or i > (img.shape[0] - k - 1) or j < k or j > (img.shape[1] - k - 1):
G_mean_img[i][j] = img[i][j]
else:
for n in range(kernel_size):
for m in range(kernel_size):
G_mean_img[i][j] += np.float(1 / (kernel_size * kernel_size) * img[i - k + n][j - k + m])
# G_mean_img[i][j]=1/9*(img[i-1][j-1]+img[i-1][j]+img[i-1][j+1]+img[i][j-1]+img[i][j]+img[i][j+1]+img[i+1][j-1]+img[i+1][j]+img[i+1][j+1])
G_mean_img = np.uint8(G_mean_img)
return G_mean_img
# Geometric mean filter :
def G_mean(img, kernel_size):
G_mean_img = np.ones(img.shape)
# print(G_mean_img[0][0])
# print(img)
k = int((kernel_size - 1) / 2)
# print(k)
for i in range(img.shape[0]):
for j in range(img.shape[1]):
if i < k or i > (img.shape[0] - k - 1) or j < k or j > (img.shape[1] - k - 1):
G_mean_img[i][j] = img[i][j]
else:
for n in range(kernel_size):
for m in range(kernel_size):
G_mean_img[i][j] *= np.float(img[i - k + n][j - k + m])
G_mean_img[i][j] = pow(G_mean_img[i][j], 1 / (kernel_size * kernel_size))
# G_mean_img[i][j]=1/9*(img[i-1][j-1]+img[i-1][j]+img[i-1][j+1]+img[i][j-1]+img[i][j]+img[i][j+1]+img[i+1][j-1]+img[i+1][j]+img[i+1][j+1])
G_mean_img = np.uint8(G_mean_img)
return G_mean_img
# Harmonic mean filter :
def H_mean(img, kernel_size):
G_mean_img = np.zeros(img.shape)
# print(G_mean_img[0][0])
# print(img)
k = int((kernel_size - 1) / 2)
# print(k)
for i in range(img.shape[0]):
for j in range(img.shape[1]):
if i < k or i > (img.shape[0] - k - 1) or j < k or j > (img.shape[1] - k - 1):
G_mean_img[i][j] = img[i][j]
else:
for n in range(kernel_size):
for m in range(kernel_size):
if img[i - k + n][j - k + m] == 0:
G_mean_img[i][j] = 0
break
else:
G_mean_img[i][j] += 1 / np.float(img[i - k + n][j - k + m])
else:
continue
break
if G_mean_img[i][j] != 0:
G_mean_img[i][j] = (kernel_size * kernel_size) / G_mean_img[i][j]
# G_mean_img[i][j]=1/9*(img[i-1][j-1]+img[i-1][j]+img[i-1][j+1]+img[i][j-1]+img[i][j]+img[i][j+1]+img[i+1][j-1]+img[i+1][j]+img[i+1][j+1])
G_mean_img = np.uint8(G_mean_img)
return G_mean_img
# Inverse harmonic mean filter :
def HT_mean(img, kernel_size, Q):
G_mean_img = np.zeros(img.shape)
# print(G_mean_img[0][0])
# print(img)
k = int((kernel_size - 1) / 2)
# print(k)
for i in range(img.shape[0]):
for j in range(img.shape[1]):
if i < k or i > (img.shape[0] - k - 1) or j < k or j > (img.shape[1] - k - 1):
G_mean_img[i][j] = img[i][j]
else:
result_top = 0
result_down = 0
for n in range(kernel_size):
for m in range(kernel_size):
if Q > 0:
result_top += pow(np.float(img[i - k + n][j - k + m]), Q + 1)
result_down += pow(np.float(img[i - k + n][j - k + m]), Q)
else:
if img[i - k + n][j - k + m] == 0:
G_mean_img[i][j] = 0
break
else:
result_top += pow(np.float(img[i - k + n][j - k + m]), Q + 1)
result_down += pow(np.float(img[i - k + n][j - k + m]), Q)
else:
continue
break
else:
if result_down != 0:
G_mean_img[i][j] = result_top / result_down
# G_mean_img[i][j]=1/9*(img[i-1][j-1]+img[i-1][j]+img[i-1][j+1]+img[i][j-1]+img[i][j]+img[i][j+1]+img[i+1][j-1]+img[i+1][j]+img[i+1][j+1])
G_mean_img = np.uint8(G_mean_img)
return G_mean_img
if __name__ == "__main__":
img = cv2.imread('G:\\5.JPG', 0)
G_mean_img_3 = HT_mean(img, kernel_size=3, Q=-1.5)
G_mean_img_5 = HT_mean(img, kernel_size=5, Q=-1.5)
G_mean_img_9 = HT_mean(img, kernel_size=9, Q=-1.5)
print(G_mean_img_3.max())
cv2.imshow("show1", img)
cv2.imshow("show2_3", G_mean_img_3)
cv2.imshow("show3_5", G_mean_img_5)
cv2.imshow("show3_9", G_mean_img_9)
cv2.waitKey(0)
print("test_end")

They are the original drawings in order 、 Arithmetic mean diagram 、 Geometric mean diagram 、 Harmonic mean diagram
边栏推荐
- Cap principle
- 2021中大厂php+go面试题(1)
- Andorid detects GPU rendering speed and over rendering
- Day 6. Analysis of the energy transmission process of network public opinion in major medical injury events * -- Taking the "Wei Zexi incident" as an example
- Day 3. Suicidal ideation and behavior in institutions of higher learning: A latent class analysis
- GBASE 8C——SQL参考6 sql语法(11)
- 18.卷积神经网络
- Dimitra and ocean protocol interpret the secrets behind agricultural data
- MySQL查询操作索引优化实践
- vim编辑器全部删除文件内容
猜你喜欢

难道Redis真的变慢了吗?

数字图像处理 第一章 绪论

【高并发】面试官

13.逻辑回归

15.GPU加速、minist测试实战和visdom可视化

The NFT market pattern has not changed. Can okaleido set off a new round of waves?

Emoji表情符号用于文本情感分析-Improving sentiment analysis accuracy with emoji embedding

Choose a qualified futures company to open an account

Day 3. Suicidal ideation and behavior in institutions of higher learning: A latent class analysis

How does gamefi break the circle? Aquanee shows its style by real "p2e"
随机推荐
vim编辑器全部删除文件内容
Day 17.The role of news sentiment in oil futures returns and volatility forecasting
Emoji表情符号用于文本情感分析-Improving sentiment analysis accuracy with emoji embedding
Sealem Finance - a new decentralized financial platform based on Web3
dpdk 网络协议栈 vpp OvS DDos SDN NFV 虚拟化 高性能专家之路
MySQL limit分页查询优化实践
GBASE 8C——SQL参考6 sql语法(6)
Day 15. Deep learning radiomics can predict axillary lymphnode status in early-stage breast cancer
Emoji Emoji for text emotion analysis -improving sentimental analysis accuracy with Emoji embedding
Day 6.重大医疗伤害事件网络舆情能量传播过程分析*———以“魏则西事件”为例
常用adb命令汇总 性能优化
MySQL查询操作索引优化实践
12.优化问题实战
Deploy redis with docker for high availability master-slave replication
You should negotiate the handling fee before opening a futures account
Day 15. Deep learning radiomics can predict axillary lymphnode status in early-stage breast cancer
Mysql5.7版本如何实现主从同步
Day10. Work organization and mental health problems in PhD students
2020年PHP中级面试知识点及答案
Gbase 8C - SQL reference 4 character set support
G(u,v) Fourier transform of the contaminated image .HNP(u,v) It is usually necessary to observe the displayed G(u,v) The spectrum of the filter interactively creates notch bandpass filters , To determine what is peak noise interference . The spatial domain noise is represented as follows :