当前位置:网站首页>In order to grasp the redis data structure, I drew 40 pictures (full version)
In order to grasp the redis data structure, I drew 40 pictures (full version)
2022-07-26 00:24:00 【Post-90s boys' way of chasing dreams】
Redis Why so fast ?
Except it's an in memory database , So that all operations are carried out outside memory , There is another important factor , The data structure it implements , So that when we add, delete, query and modify data ,Redis Efficient handling .
therefore , Let's have a good talk this time Redis data structure , This is too often asked in an interview .
Be careful ,Redis Data structures do not mean String( character string ) object 、List( list ) object 、Hash( Hash ) object 、Set( aggregate ) Objects and Zset( Ordered set ) object , Because these are Redis The data type of the value in the key value pair , That's how the data is stored , The underlying implementation of these objects uses data structures .
I drew a picture of Redis data type ( Also called Redis object ) And the underlying data structure , On the left is Redis 3.0 Version of , That is to say 《Redis Design and implementation 》 The version of this book , It's still a little out of date now , On the right is now Github Abreast of the times Redis Code ( The official version has not been released yet ).

You can see ,Redis The underlying data structure of the data type varies with the version update , such as :
- stay Redis 3.0 In the version List The underlying data structure of the object consists of 「 Double linked list 」 or 「 Compressed table list 」 Realization , But in 3.2 After the version ,List Data type the underlying data structure is composed of quicklist Realized ;
- In the latest Redis Code ( The official version has not been released yet ) in , The compressed list data structure is obsolete , Leave it to listpack Data structure to achieve .
This time, , Kobayashi illustrated the data structure of the old and new versions , share 9 Data structures :SDS、 Double linked list 、 Compressed list 、 Hashtable 、 Jump watch 、 Set of integers 、quicklist、listpack.
Not much BB 了 , Direct departure !

How to implement key value pair database ?
Before we start talking about data structures , Let me introduce you first Redis How to implement key value pairs (key-value) Database .
Redis Of key value pairs key It's a string object , and value It can be a string object , It can also be an object of collection data type , such as List object 、Hash object 、Set Objects and Zset object .
for instance , I'll list several Redis Commands for adding key value pairs :
> SET name "xiaolincoding"
OK
> HSET person name "xiaolincoding" age 18
0
> RPUSH stu "xiaolin" "xiaomei"
(integer) 4
Copy code These commands represent :
- The first order :name It's a String key , Because the key Value is a string object ;
- The second order :person It's a Hash table key , Because the key Value is a hash table object that contains two key value pairs ;
- The third order :stu It's a List key , Because the key Value is a list object that contains two elements ;
How these key value pairs are saved in Redis What about the middle ?
Redis Is using a 「 Hashtable 」 Save all key value pairs , The biggest advantage of hash table is that we can use O(1) Time complexity to quickly find key value pairs . A hash table is actually an array , The elements in the array are called hash buckets .
Redis How does the hash bucket store key value pair data ?
The hash bucket holds a pointer to the key value pair data (dictEntry*), In this way, the key value pair data can be found through the pointer , Then, because the value of the key value pair can save string objects and objects of collection data types , Therefore, the data structure of key value pairs does not directly store the value itself , But saved void * key and void * value The pointer , Points to the actual key object and value object respectively , thus , Even if the value is aggregate data , It can also be done through void * value Pointer found .
I drew a picture here Redis The data structure involved in saving key value pairs .

The internal details of these data structures , I won't talk about , Later, when talking about the hash table data structure , In detail , Because the data structure used is the same . Let's first outline the name and purpose of the data structure involved in the figure below :
- redisDb structure , Express Redis The structure of the database , Stored in the structure points to dict Pointer to structure ;
- dict structure , In the structure 2 Hash table , Under normal circumstances, it is used 「 Hashtable 1」,「 Hashtable 2」 Only in rehash It's only used when it's time , What exactly is rehash, I will talk about the hash table data structure in this article ;
- ditctht structure , Represents the structure of the hash table , Structure stores a hash table array , Each element in the array points to a hash table node structure (dictEntry) The pointer to ;
- dictEntry structure , Represents the structure of the hash table node , In the structure **void * key and void * value The pointer , key Pointing to String object , and value You can point to String object , You can also point to objects of collection type , such as List object 、Hash object 、Set Objects and Zset object .
In particular ,void * key and void * value The pointer points to Redis object ,Redis Each object in the is represented by redisObject Structural representation , Here's the picture :

Member variables contained in the object structure :
- type, Identifies what type of object the object is (String object 、 List object 、Hash object 、Set Objects and Zset object );
- encoding, Identify which underlying data structure is used by the object ;
- ptr, Pointer to the underlying data structure .
I drew a picture of Redis Panorama of key value pair database , You can clearly know Redis The relationship between objects and data structures :

Next in , Just talk about the underlying data structure !
SDS
The string is in Redis Is very commonly used in , The key in a key value pair is of type string , Values are sometimes string types .
Redis Yes, it is C The realization of language , But it doesn't directly use C Linguistic char* Character array to implement string , Instead, it encapsulates a simple dynamic string (simple dynamic string,SDS) Data structure to represent a string , That is to say Redis Of String The underlying data structure of the data type is SDS.
since Redis Designed SDS Structure to represent a string , Must be C Linguistic char* There are some defects in character arrays .
To understand this , We have to take a look first char* Structure of character array .
C Defects in language strings
C The string of language is actually an array of characters , That is, each element in the array is a character in the string .
such as , The following figure shows the string “xiaolin” Of char* Structure of character array :

Never learned. C Language students , You may wonder why the last character is “\0”?
stay C In language , When operating on a string ,char * The pointer just points to the beginning of the character array , and The end position of the character array is “\0” Express , It means the end of the string .
therefore ,C The string operation function in the language standard library determines whether the character is “\0” To decide whether to stop the operation , If the current character is not “\0” , The description string is not over yet , You can continue to operate , If the current character is “\0” If yes, the string ends , Stop the operation .
for instance ,C Language get string length function strlen, Is through each character in the character array , And count , The characters encountered are “\0” after , Will stop traversing , Then return the number of characters that have been counted , Is the length of the string . The image below shows strlen Function execution flow :

Obviously ,C The time complexity for language to obtain string length is O(N)( This is a place that can be improved )
C Language string “\0” There is a flaw in using characters as end markers . Let's say there's a... In a string “\0” character , When you manipulate this string, you will End early , such as “xiao\0lin” character string , When calculating the string length, it will be 4, Here's the picture :

therefore , Except at the end of the string , String cannot contain “\0” character , Otherwise, it will be read by the program first “\0” The character will be mistaken for the end of the string , This limitation makes C Language strings can only hold text data , Can't save images like 、 Audio 、 Binary data such as video culture ( This is also a place that can be improved )
in addition , C The string manipulation function in the language standard library is very unsafe , Very unfriendly to programmers , A little inattention , Will cause a buffer overflow .
for instance ,strcat The function is to splice two strings together .
// take src String concatenation to dest After the string
char *strcat(char *dest, const char* src);
Copy code C Language strings do not record their own buffer size , therefore strcat Function assumes that when the programmer executes this function , Have been to dest Enough memory allocated , It can hold src Everything in the string , and Once this assumption does not hold , A buffer overflow will occur, which may cause the program to terminate ,( This is a place that can be improved ).
and ,strcat Functions and strlen Function similar to , Time complexity is also very high , You also need to traverse the string to get the end of the target string . And then to strcat In terms of functions , You have to traverse the source string again to complete the append , The operation efficiency of string is not high .
Okay , Through the above analysis , We can see C Language string deficiencies and areas for improvement :
- The time complexity of getting the string length is O(N);
- The string ends with “\0” Character identification , The string cannot contain “\0” character , Therefore, binary data cannot be saved ;
- String manipulation functions are inefficient and unsafe , For example, there is a risk of buffer overflow , It may cause the program to terminate ;
Redis Realized SDS The structure solves the above problems , Let's take a look at Redis How to solve it .
SDS The structure design
The picture below is Redis 5.0 Of SDS Data structure of :

Each member variable in the structure is introduced separately :
- len, The string length is recorded . In this way, when getting the length of the string , Just return the value of the member variable , Time complexity only needs to be O(1).
- alloc, The length of space allocated to the character array . In this way, when modifying the string , Can pass
alloc - lenCalculate the size of the remaining space , It can be used to judge whether the space meets the modification requirements , If not satisfied , Will automatically send SDS The space of is extended to the size required to perform the modification , The actual modification is then performed , So use SDS There is no need to manually modify SDS Space size of , There will be no buffer overflow problem mentioned earlier . - flags, Used to represent different types of SDS. A total of 5 Types , Namely sdshdr5、sdshdr8、sdshdr16、sdshdr32 and sdshdr64, The differences will be explained later .
- buf[], A character array , Used to save actual data . Not only can you save strings , You can also save binary data .
in general ,Redis Of SDS Structure is above the original character array , Added three metadata :len、alloc、flags, Used to solve C Defects in language strings .
O(1) Complexity gets the length of the string
C Get the string length of the language strlen function , You need to count the string length through traversal , The time complexity is O(N).
and Redis Of SDS Structure because of the addition of len Member variables , that When getting the length of a string , Just return the value of the member variable directly , So the complexity is only O(1).
Binary security
because SDS Don't need to use “\0” Character to identify the end of the string , It is There's a special one len Member variable to record the length , Therefore, it can store “\0” The data of . however SDS For compatibility C Functions of language standard library , SDS The end of the string will still be added “\0” character .
therefore , SDS Of API It's all done in a binary way SDS Store in buf[] The data in , The program doesn't make any restrictions on the data , What happens when data is written , What it looks like when it's read .
By using binary secure SDS, instead of C character string , bring Redis Not only can text data be saved , You can also save binary data in any format .
There is no buffer overflow
C The string operation function provided by the string standard library of language , majority ( such as strcat Append string function ) It's not safe , Because these functions leave it to the developer to ensure whether the buffer size meets the operation requirements , The program does not determine whether the buffer size is sufficient , When a buffer overflow occurs, it may cause the program to end abnormally .
therefore ,Redis Of SDS The structure introduces alloc and len Member variables , such SDS API adopt alloc - len Calculation , You can calculate the size of the remaining available space , In this way, when modifying the string , You can judge whether the buffer size is enough by the program .
and , When it is determined that the buffer size is insufficient ,Redis Will automatically expand SDS Space size of ( Less than 1MB Double the capacity , Greater than 1MB Press 1MB Capacity expansion ), To meet the size required for modification .
Expanding SDS Before space ,SDS API Priority will be given to checking whether there is enough unused space , If not enough ,API Not only for SDS Allocate the necessary space for modification , I will also give SDS Assign extra 「 Unused space 」.
The advantage of this is , Next time in operation SDS when , If SDS If there's enough space ,API You can use it directly 「 Unused space 」, Without performing memory allocation , Effectively reduce the number of memory allocations .
therefore , Use SDS That is, it does not need to be modified manually SDS Space size of , There will be no buffer overflow problem .
Save memory space
SDS There's a... In the structure flags Member variables , It means SDS type .
Redos A total of 5 Types , Namely sdshdr5、sdshdr8、sdshdr16、sdshdr32 and sdshdr64.
this 5 There are two types of main The difference is that , They are in the data structure len and alloc The data types of member variables are different .
such as sdshdr16 and sdshdr32 These two types , They are defined as follows :
struct __attribute__ ((__packed__)) sdshdr16 {
uint16_t len;
uint16_t alloc;
unsigned char flags;
char buf[];
};
struct __attribute__ ((__packed__)) sdshdr32 {
uint32_t len;
uint32_t alloc;
unsigned char flags;
char buf[];
};
Copy code You can see :
- sdshdr16 Type of len and alloc All data types are uint16_t, Indicates that the length of the character array and the size of the allocated space cannot exceed 2 Of 16 Power .
- sdshdr32 All are uint32_t, Indicates that the length of the character array and the size of the allocated space cannot exceed 2 Of 32 Power .
The reason SDS Design different types of structures , Is to flexibly save strings of different sizes , So as to effectively save memory space . such as , When saving small strings , The structure head also occupies less space .
In addition to designing different types of structures ,Redis Programming is still Special compilation optimization is used to save memory space , That is to say struct The statement __attribute__ ((packed)) , Its function is : Tell the compiler to cancel the optimized alignment of structures during compilation , Align according to the actual number of bytes occupied .
such as ,sdshdr16 Type of SDS, By default , The compiler will follow 16 Allocate memory to variables in byte alignment , It means , Even if the size of a variable is less than 16 Bytes , The compiler will also assign it 16 Bytes .
for instance , Suppose the following structure , It has two member variables , The types are char and int, As shown below :
#include <stdio.h>
struct test1 {
char a;
int b;
} test1;
int main() {
printf("%lu\n", sizeof(test1));
return 0;
}
Copy code Let's guess what the size of this structure is ? Let me just say the answer , The calculated size of this structure is 8.

This is because by default , The compiler uses 「 Byte alignment 」 Allocate memory in the same way , although char Type takes only one byte , But because there is... In the member variable int type , It takes up 4 Bytes , So the member variable is char Type when allocating memory , Will be allocated 4 Bytes , This is superfluous 3 Bytes are allocated for byte alignment , Equivalent to 3 Bytes are wasted .
If you do not want the compiler to allocate memory in byte alignment , You can use __attribute__ ((packed)) Property defines the structure , thus , How much memory space does the structure actually occupy , The compiler allocates just how much space .
such as , I use __attribute__ ((packed)) Attribute defines the following structure , Also contains char and int Two types of member variables , The code is as follows :
#include <stdio.h>
struct __attribute__((packed)) test2 {
char a;
int b;
} test2;
int main() {
printf("%lu\n", sizeof(test2));
return 0;
}
Copy code The printed result is 5(1 Bytes char + 4 byte int).

You can see that , This is to allocate memory according to the number of bytes actually occupied , This saves memory space .
Linked list
The most familiar data structure is array , I believe it's a linked list .
Redis Of List One of the underlying implementations of an object is a linked list .C The language itself does not have the data structure of linked list , therefore Redis I designed a linked list data structure .
Linked list node structure design
First look at it. 「 List nodes 」 What the structure looks like :
typedef struct listNode {
// Front node
struct listNode *prev;
// Post node
struct listNode *next;
// The value of the node
void *value;
} listNode;
Copy code There are front nodes and rear nodes , It can be seen that , This is a two-way linked list .

Linked list structure design
however ,Redis stay listNode Based on the structure, it encapsulates list This data structure , It will be more convenient to operate , The structure of the list is as follows :
typedef struct list {
// Chain header node
listNode *head;
// The end of the list
listNode *tail;
// Node value copy function
void *(*dup)(void *ptr);
// Node value release function
void (*free)(void *ptr);
// Node value comparison function
int (*match)(void *ptr, void *key);
// Number of linked list nodes
unsigned long len;
} list;
Copy code list Structure provides a chain header pointer for the linked list head、 The end of the list tail、 Number of linked list nodes len、 And can customize the implementation of dup、free、match function .
for instance , Here's how list The structure and 3 individual listNode A list of structures .

Advantages and disadvantages of linked list
Redis The advantages of linked list implementation are as follows :
- listNode The structure of the linked list node has prev and next The pointer , The time complexity of obtaining the pre node or post node of a node only needs O(1), And both pointers can point to NULL, So the linked list is a acyclic linked list ;
- list Structure because it provides a header pointer head And footer nodes tail, therefore The time complexity of obtaining the header node and footer node of the linked list only needs O(1);
- list Structure because it provides the number of linked list nodes len, therefore The time complexity of obtaining the number of nodes in the linked list only needs O(1);
- listNode Linked list links use void* The pointer holds the node value , And through list Structural dup、free、match The function pointer sets the node type specific function for the node , therefore Linked list nodes can store various types of values ;
There are also defects in linked lists :
The memory between each node of the linked list is discontinuous , signify Can't make good use of CPU cache . Can make good use of CPU The cached data structure is an array , Because the memory of the array is continuous , So you can make the most of CPU Cache to speed up access .
And a little bit more , Saving the value of a linked list node requires the allocation of a linked list node structure header , High memory overhead .
therefore ,Redis 3.0 Of List Object in the case of a small amount of data , Will be used 「 Compressed list 」 As the implementation of the underlying data structure , Its advantage is to save memory space , And it is a memory compact data structure .
however , There is a performance problem with compressing the list ( What's the problem , Next I'll say ), therefore Redis stay 3.2 A new data structure is designed in version quicklist, And will List The underlying data structure of the object is changed from quicklist Realization .
And then in Redis 5.0 A new data structure is designed listpack, It follows the compact memory layout of compressed list , Finally, in the latest Redis edition , take Hash Objects and Zset Object's underlying data structure implements one of the compressed lists , Replace with listpack Realization .
Compressed list
The biggest feature of compressed list , It is designed as a memory compact data structure , Take up a continuous memory space , Not only can we use CPU cache , And for data of different lengths , Code accordingly , This method can effectively save memory overhead .
however , There are also flaws in compressed lists :
- Cannot save too many elements , Otherwise, the query efficiency will be reduced ;
- When adding or modifying an element , The memory space occupied by the compressed list needs to be reallocated , It may even cause chain update problems .
therefore ,Redis object (List object 、Hash object 、Zset object ) Contains fewer elements , Or when the element value is small, the compressed list will be used as the underlying data structure .
Next , Let's talk about the compressed list in detail .
Compressed list structure design
The compressed list is Redis Developed to save memory , It is A sequential data structure consisting of contiguous memory blocks , It's kind of like arrays .

The compressed list has three fields in the header :
- zlbytes, Record the memory bytes occupied by the whole compressed list ;
- zltail, Compressed list of records 「 The tail 」 The number of bytes from the node to the starting address , That is, the offset of the end of the list ;
- zllen, Record the number of nodes contained in the compressed list ;
- zlend, Mark the end point of the compressed list , Fixed value 0xFF( Decimal system 255).
In the compressed list , If we want to locate the first element and the last element , It can be directly located by the length of the three fields in the header , Complexity is O(1). and When looking for other elements , It's not so efficient , Only one by one , The complexity here is O(N) 了 , Therefore, a compressed list is not suitable for saving too many elements .
in addition , Compressed list nodes (entry) The composition of the system is as follows :

The compressed list node contains three parts :
- prevlen, Recorded 「 Previous node 」 The length of ;
- encoding, It records the type and length of the actual data of the current node ;
- data, The actual data of the current node is recorded ;
When we insert data into a compressed list , The compressed list depends on whether the data is a string or an integer , And the size of the data , Will use different space sizes prevlen and encoding The information stored in these two elements , This design idea of different space allocation according to data size and type , It is Redis Used to save memory .
Say separately ,prevlen and encoding How to allocate different space sizes according to the size and type of data .
Compress each node in the list prevlen Properties are recorded 「 The length of the previous node 」, and prevlen The space size of the attribute is related to the length value of the previous node , such as :
- If The length of the previous node is less than 254 byte , that prevlen Properties need to use 1 Byte space To save this length value ;
- If The length of the previous node is greater than or equal to 254 byte , that prevlen Properties need to use 5 Byte space To save this length value ;
encoding The space size of the attribute depends on whether the data is a string or an integer , And the length of the string :
- If The data of the current node is an integer , be encoding Will use 1 Byte space Encoding .
- If The data of the current node is a string , According to the length of the string ,encoding Will use 1 byte /2 byte /5 Byte space Encoding .
Chain update
In addition to finding complex problems, the compressed list , There's another problem .
When adding or modifying an element to a compressed list , If there is not enough space , The memory space occupied by the compressed list needs to be reallocated . When the newly inserted element is large , May cause subsequent elements to prevlen The occupied space changes , That cause 「 Chain update 」 problem , Cause the space of each element to be reallocated , The performance of accessing compressed list is degraded .
Mentioned earlier , Compress the list of nodes prevlen Property will allocate different space sizes according to the length of the previous node :
- If the previous one The length of the node is less than 254 byte , that prevlen Properties need to use 1 Byte space To save this length value ;
- If the previous one The length of the node is greater than or equal to 254 byte , that prevlen Properties need to use 5 Byte space To save this length value ;
Now suppose that there are multiple consecutive... In a compressed list 、 The length is in 250~253 The node between , Here's the picture :

Because these node length values are less than 254 byte , therefore prevlen Properties need to use 1 Byte space to hold this length value .
At this time , If a length is greater than or equal to 254 A new node of bytes is added to the header node of the compressed list , That is, the new node will become e1 The front node of , Here's the picture :

because e1 Node prevlen Properties are only 1 Byte size , The length of the new node could not be saved , At this point, you need to reallocate the space of the compressed list , And will e1 Node prevlen Attributes from the original 1 The byte size is expanded to 5 Byte size .
The domino effect begins .

e1 The original length is 250~253 Between , Because the expansion space just now , here e1 The length of is greater than or equal to 254 了 , So originally e2 preservation e1 Of prevlen Attributes must also be from 1 Bytes extended to 5 Byte size .
Just like expanding e1 It's triggered a reaction to e2 The expansion is the same , Expand e2 It can also lead to a reaction to e3 An extension of , And expand e3 It's going to trigger a reaction to e4 An extension of .... Until the end .
This continuous multiple space expansion operation under special circumstances is called 「 Chain update 」, Just like the domino effect , The first card fell , Pushed the second card down ; The second card falls , And pushed the third card down ....,
Defects in compressed lists
Space expansion is the reallocation of memory , therefore Once a chain update occurs , This will cause the memory space occupied by the compressed list to be reallocated multiple times , This will directly affect the access performance of the compressed list .
So , Although compressed lists and compact memory layout can save memory overhead , But if the number of saved elements increases , Or the elements get bigger , Will cause memory reallocation , Worst of all, there will be 「 Chain update 」 The problem of .
therefore , The compressed list will only be used for scenes with a small number of saved nodes , As long as the number of nodes is small enough , Even if a chain update occurs , It's also acceptable .
Nevertheless ,Redis For the design deficiency of compressed list , In later versions , Two new data structures are designed :quicklist(Redis 3.2 introduce ) and listpack(Redis 5.0 introduce ). The design objectives of these two data structures , Is to keep the memory saving advantages of compressed lists as much as possible , At the same time, solve the problem of compressed list 「 Chain update 」 The problem of .
Hashtable
A hash table is a way to hold key value pairs (key-value) Data structure of .
Each in the hash table key They are unique , The program can be based on key Find the associated value, Or by key To update value, Or according to key To delete the entire key-value wait .
When talking about compressed lists , Mentioned Redis Of Hash One of the underlying implementations of an object is a compressed list ( newest Redis The code has replaced the compressed list with listpack).Hash Another underlying implementation of the object is the hash table .
The advantage of hash tables is that , it Can be O(1) Fast query data based on Complexity . How to do it ? take key adopt Hash Calculation of function , You can locate the data in the table , Because the hash table is actually an array , So you can quickly query the data through the index value .
But there are also risks , When the hash table size is fixed , As data grows , that Hash Collisions The more likely it will be .
The way to resolve hash conflicts , There are many kinds of .
Redis Adopted 「 Chained hash 」 To resolve hash conflicts , Without expanding the hash table , String data with the same hash value , Form a link , So that these data can still be queried in the table .
Next , Let's talk about hash table in detail .
Hash table structure design
Redis The hash table structure of is as follows :
typedef struct dictht {
// Hash table array
dictEntry **table;
// Hash table size
unsigned long size;
// Hash table size mask , Used to calculate index values
unsigned long sizemask;
// The number of nodes in the hash table
unsigned long used;
} dictht;
Copy code You can see , The hash table is an array (dictEntry **table), Each element of the array is a pointer to 「 Hash table node (dictEntry)」 The pointer to .

The structure of the hash table node is as follows :
typedef struct dictEntry {
// Key in key value alignment
void *key;
// Value of key value alignment
union {
void *val;
uint64_t u64;
int64_t s64;
double d;
} v;
// Point to the next hash table node , Form a linked list
struct dictEntry *next;
} dictEntry;
Copy code dictEntry Structure contains not only pointers to keys and values , It also contains a pointer to the next hash table node , This pointer can link multiple key value pairs with the same hash value , To solve the problem of hash conflict , This is chain hashing .
in addition , Here's another thing for you ,dictEntry The value in the key value pair in the structure is a 「 Consortium v」 Defined , therefore , The value in a key value pair can be a pointer to the actual value , Or an unsigned 64 Bit integer or signed 64 Bit integer or double Value of class . The advantage of this is that you can save memory space , Because when 「 value 」 Is an integer or floating point number , You can embed the data of the value in dictEntry In structure , There is no need to point to the actual value with a pointer , This saves memory space .
Hash Collisions
The hash table is actually an array , Each element in the array is a hash bucket .
When the key of a key value pair passes through Hash Function to get the hash value , then ( Hash value % Hash table size ) Modulus calculation , The resulting value is the key-value Corresponding array element position , That is, the first few hash buckets .
What is hash conflict ?
for instance , There is one that can store 8 A hash table with a hash bucket .key1 After hash function calculation , then 「 Hash value % 8 」 Perform mold calculation , The result value is 1, Then it corresponds to hashitan 1, Allied ,key9 and key10 Corresponding to hashitan 1 And the bucket 6.

here ,key1 and key9 Corresponding to the same hash bucket , This leads to hash conflicts .
therefore , When there are more than two numbers kay When assigned to the same hash bucket in the hash table , Call these key There was a conflict .
Chained hash
Redis Adopted 「 Chained hash 」 To resolve hash conflicts .
How chain hash is implemented ?
The implementation method is that each hash table node has a next The pointer , Used to point to the next hash table node , Therefore, multiple hash table nodes can use next The pointer forms a single Necklace Watch , Multiple nodes assigned to the same hash bucket can be connected by this single linked list , This solves the hash conflict .
Use the previous hash conflict example ,key1 and key9 After hashing , All in the same hash bucket , Chain hashing ,key1 Would pass next Pointer to key9, Form a one-way list .

however , The limitations of chained hashing are also obvious , As the length of the list increases , The time it takes to query the data at this location will increase , After all, the time complexity of linked list query is O(n).
To solve this problem , It needs to be done rehash, That is, expand the size of the hash table .
Next , have a look Redis How is it realized rehash Of .
rehash
This section of hash table structure design , I've introduced you Redis Use dictht The structure represents the hash table . however , When actually using a hash table ,Redis Define a dict Structure , This structure defines Two hash tables (ht[2]).
typedef struct dict {
…
// Two Hash surface , Use alternately , be used for rehash operation
dictht ht[2];
…
} dict;
Copy code The reason for defining 2 Hash table , Because of rehash When , Need to use 2 A hash table .

During the normal service request phase , Inserted data , Will be written to 「 Hashtable 1」, At this time 「 Hashtable 2 」 There's no space allocated .
As the data grows , Triggered rehash operation , The process is divided into three steps :
- to 「 Hashtable 2」 Allocate space , General comparison 「 Hashtable 1」 Big 2 times ;
- take 「 Hashtable 1 」 Data migration to 「 Hashtable 2」 in ;
- After migration ,「 Hashtable 1 」 The space will be released , And put 「 Hashtable 2」 Set to 「 Hashtable 1」, And then in 「 Hashtable 2」 Create a new blank hash table , For the next time rehash To prepare for .
For your convenience , I put rehash These three processes are drawn in the figure below :

The process looks simple , But in fact, the second step is very problematic , If 「 Hashtable 1 」 It's a huge amount of data , Then move to 「 Hashtable 2 」 When , Because it involves a lot of data copies , At this point, it may be possible to Redis Cause obstruction , Unable to service other requests .
Progressive type rehash
for fear of rehash During data migration , Because it takes time to copy data , influence Redis Performance conditions , therefore Redis Adopted Progressive type rehash, That is, the data migration is no longer completed at one time , But migrate multiple times .
Progressive type rehash Steps are as follows :
- to 「 Hashtable 2」 Allocate space ;
- stay rehash During the process , Each time a hash table element is added 、 Delete 、 When searching or updating operations ,Redis In addition to performing the corresponding operations , Will also sequentially 「 Hashtable 1 」 All at index position in key-value Migrate to 「 Hashtable 2」 On ;
- The more hash table operation requests initiated by the client are processed , Finally whine at some time , Will be able to 「 Hashtable 1 」 All of the key-value Migrate to 「 Hashtable 2」, To complete the rehash operation .
In this way, the overhead of a large amount of data migration at one time , Allocated to multiple requests , Avoid one-time rehash Time consuming operation .
It's progressive rehash In the process of , There will be two hash tables , So in progressive rehash During the process , Deletion of hash table elements 、 lookup 、 Update and other operations will be performed in these two hash tables .
such as , Find a key If it's worth it , First of all 「 Hashtable 1」 Search inside , If not , It will continue to the hash table 2 Inside to find .
in addition , In a progressive way rehash During the process , Add a new one key-value when , Will be saved to 「 Hashtable 2 」 Inside , and 「 Hashtable 1」 No more add operations , That's a guarantee 「 Hashtable 1 」 Of key-value The number will only decrease , With rehash Completion of operation , Final 「 Hashtable 1 」 It will become an empty table .
rehash The trigger condition
It introduces rehash There are so many , When nothing has been said, it will trigger rehash Operation? ?
rehash Trigger conditions of ** Load factor (load factor)** It matters .
The load factor can be calculated by the following formula :

Trigger rehash Operating conditions , There are two main ones :
- When the load factor is greater than or equal to 1 , also Redis It's not being executed bgsave Order or bgrewiteaof command , That is, there is no implementation RDB Snapshot or not in progress AOF When rewriting , It will rehash operation .
- When the load factor is greater than or equal to 5 when , This indicates that the hash conflict is very serious , Whether it's being executed or not RDB Snapshot or AOF rewrite , Will be forced to rehash operation .
Set of integers
The set of integers is Set One of the underlying implementations of objects . When one Set Object contains only integer value elements , And the number of elements from time to time , The data structure of integer set will be used as the underlying implementation .
Integer set structure design
An integer set is essentially a contiguous memory space , Its structure is defined as follows :
typedef struct intset {
// Encoding mode
uint32_t encoding;
// Number of elements contained in the collection
uint32_t length;
// Array to hold elements
int8_t contents[];
} intset;
Copy code You can see , The container that holds the elements is a contents Array , although contents Be declared int8_t An array of types , But actually contents The array does not hold anything int8_t Element of type ,contents The real type of array depends on intset In the structure encoding The value of the property . such as :
- If encoding The property value is INTSET_ENC_INT16, that contents It's just one. int16_t An array of types , The type of each element in the array is int16_t;
- If encoding The property value is INTSET_ENC_INT32, that contents It's just one. int32_t An array of types , The type of each element in the array is int32_t;
- If encoding The property value is INTSET_ENC_INT64, that contents It's just one. int64_t An array of types , The type of each element in the array is int64_t;
Different types of contents Array , It means that the size of the array will be different .
Upgrade operation of integer set
The integer set will have an upgrade rule , When we add a new element to the set of integers , If the type of the new element (int32_t) Than the type of all existing elements in the integer set (int16_t) It takes a long time , The integer set needs to be upgraded first , That is, according to the type of new element (int32_t) Expand contents The space size of the array , Then the new element can be added to the integer set , Of course, in the process of upgrading , Also maintain the order of the set of integers .
The process of upgrading an integer set does not reallocate a new type of array , Instead, expand space on the original array , Then divide each element by interval type size , If encoding The property value is INTSET_ENC_INT16, Then the interval between each element is 16 position .
for instance , Suppose there is a set of integers with 3 Types are int16_t The elements of .

Now? , Add a new element to the set of integers 65535, This new element needs to use int32_t Type to hold , Therefore, the integer set needs to be upgraded , First of all, it needs to be contents Array capacity , Expand the capacity more than the size of the original space 80 position (4x32-3x16=80), So you can save 4 Types are int32_t The elements of .

After expansion contents After the array space size , You need to convert the previous three elements to int32_t type , And put the transformed element on the right bit , And you need to keep the order of the underlying array unchanged , The whole conversion process is as follows :
What are the benefits of upgrading integer sets ?
If you want an array to be saved at the same time int16_t、int32_t、int64_t Element of type , The simplest way is to use int64_t An array of types . But in that case , When all the elements are int16_t Type of , It will cause a waste of memory .
Integer set upgrade can avoid this situation , If you keep adding to the set of integers int16_t Element of type , Then the underlying implementation of the integer set has been using int16_t An array of types , Only when we are going to int32_t Type or int64_t When an element of type is added to the collection , Will upgrade the array .
therefore , The benefits of integer set upgrade are Save memory resources .
Does the integer set support demotion ?
Downgrade operation not supported , Once the array is upgraded , Will always remain in the upgraded state . For example, the previous example of upgrade operation , If you delete 65535 Elements , The array of integer sets is still int32_t Type of , It will not be downgraded to int16_t type .
Jump watch
Redis Only in Zset The underlying implementation of the object uses a jump table , The advantage of jump table is that it can support average O(logN) Complex node searching .
Zset Object is the only one that uses two data structures at the same time Redis object , One of the two data structures is the skip table , One is the hash table . This has the advantage of efficient range query , It can also carry out efficient single point query .
typedef struct zset {
dict *dict;
zskiplist *zsl;
} zset;
Copy code Zset Object can support range query ( Such as ZRANGEBYSCORE operation ), This is because its data structure design adopts jump table , And the element weight can be obtained with constant complexity ( Such as ZSCORE operation ), This is because it also uses a hash table for indexing .
Next , In detail, the next jump table .
Skip table structure design
When looking up elements in the linked list , Because you need to find it one by one , So the query efficiency is very low , The time complexity is O(N), So there's the jump watch . Jump list is improved on the basis of linked list , A kind of 「 Multi-storey 」 Ordered linked list , The advantage of this is that it can quickly read the positioning data .
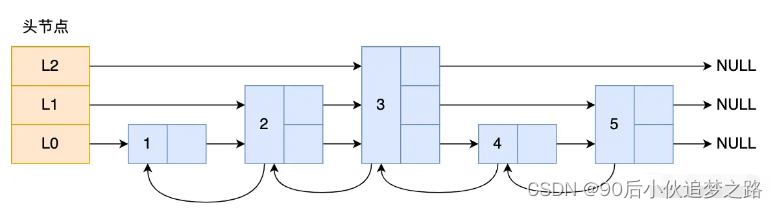
What does the jump watch look like ? Let me give you an example , The following figure shows a hierarchy of 3 Jump table of .

The head node in the figure has L0~L2 Three head pointers , Points to different levels of nodes , Then the nodes of each level are connected by pointers :
- L0 Levels share 5 Nodes , They are nodes 1、2、3、4、5;
- L1 Levels share 3 Nodes , They are nodes 2、3、5;
- L2 There are only 1 Nodes , That is, nodes 3 .
If we want to find nodes in the linked list 4 This element , You can only traverse the linked list from the beginning , Need to find 4 Time , After using the jump table , Just look for 2 You can locate the node once 4, Because you can directly from the header node L2 The hierarchy jumps to the node 3, Then traverse forward to find the node 4.
You can see , This search process is to jump around at multiple levels , Finally, go to the element . When the amount of data is large , The lookup complexity of the jump table is O(logN).
How does the hop table node realize multi-level ? This needs to see 「 Skip table node 」 The data structure of , as follows :
typedef struct zskiplistNode {
//Zset The element value of the object
sds ele;
// Element weight value
double score;
// Back pointer
struct zskiplistNode *backward;
// Node level Array , Save the forward pointer and span on each layer
struct zskiplistLevel {
struct zskiplistNode *forward;
unsigned long span;
} level[];
} zskiplistNode;
Copy code Zset Object to save both elements and their weights , Corresponding to the hop table node structure is sds Type of ele Variables and double Type of score Variable . Each hop table node has a backward pointer , Point to previous node , The purpose is to facilitate access to nodes from the tail node of the hop table , It is convenient to find in reverse order .
A jump list is a linked list with hierarchical relationships , And each level can contain multiple nodes , Each node is connected by a pointer , This feature is implemented by the... In the jump table node structure zskiplistLevel Structure type level Array .
level Each element in the array represents a layer of the skip table , That is, by zskiplistLevel The structure represents , such as leve[0] It means the first floor ,leve[1] It means the second floor .zskiplistLevel The structure defines 「 Pointer to the next hop table node 」 and 「 span 」, Span is used to record the distance between two nodes .
such as , Here's a picture , The span of each node is shown .

When I first saw the span , Think it's about traversal , It doesn't really matter , The traversal operation only needs a forward pointer to complete .
The span is actually to calculate the ranking of this node in the jump table . How to do it specifically ? Because the nodes in the jump table are arranged in order , When calculating the ranking of a node , The query path from the node to the node , Add up the spans of all layers visited along the way , The result is the ranking of the target node in the hop table .
for instance , Find the nodes in the graph 3 Ranking in the jump table , Find nodes from the beginning 3, The search process only goes through one layer (L3), And the span of the floor is 3, So node 3 The ranking in the jump table is 3.
in addition , The head node in the figure is actually zskiplistNode Skip table node , Only the backward pointer of the head node 、 The weight 、 Element values are used , So this part is omitted in the figure .
The problem is coming. , Who defines which hop table node is the head node ? Let's introduce 「 Jump watch 」 Structure. , As shown below :
typedef struct zskiplist {
struct zskiplistNode *header, *tail;
unsigned long length;
int level;
} zskiplist;
Copy code The jump table structure contains :
- The head and tail nodes of the jump table , Easy to do O(1) Access the head node and tail node of the hop table within the time complexity ;
- The length of the meter , Easy to do O(1) Time complexity gets the number of hop table nodes ;
- The maximum number of layers of the skip table , Easy to do O(1) Time complexity gets the number of layers of the node with the largest layer height in the hop table ;
Skip table node query process
The process of finding a hop table node , The jump table will start from the highest level of the node , Go through each layer one by one . When traversing the hop table node of a layer , Will use... In the hop table node SDS The element of type and the weight of element , There are two criteria :
- If the weight of the current node 「 Less than 」 When you want to find the weight of , The jump table will access the next node on the layer .
- If the weight of the current node 「 be equal to 」 When you want to find the weight of , And the current node SDS Type data 「 Less than 」 When looking for data , The jump table will access the next node on the layer .
If neither of the above conditions is met , Or when the next node is empty , The jump table will use the current traversal of the node level The next pointer in the array , Then continue to find along the next pointer , This is equivalent to jumping to the next level and looking for .
for instance , There is a 3 Hierarchical jump table .

If you want to find 「 Elements :abcd, The weight :4」 The node of , The search process is like this :
- Start from the top of the node ,L2 Yes 「 Elements :abc, The weight :3」 node , The weight of this node is smaller than that of the node to be found , So you need to access the next node on this layer ;
- But the next node on this layer is an empty node , So you jump to 「 Elements :abc, The weight :3」 The next level of the node , That is to say leve[1];
- 「 Elements :abc, The weight :3」 Node leve[1] The next pointer of points to 「 Elements :abcde, The weight :4」 The node of , Then compare it with the node to be found . although 「 Elements :abcde, The weight :4」 The weight of the node is the same as the weight to be found , But the of the current node SDS Type data 「 Greater than 」 The data to look for , So I'll continue to jump to 「 Elements :abc, The weight :3」 The next level of the node , That is to say leve[0];
- 「 Elements :abc, The weight :3」 Node leve[0] The next pointer of points to 「 Elements :abcd, The weight :4」 The node of , This node is exactly the node to find , End of query .
Skip table node layer number setting
The proportion of the number of nodes in the adjacent two layers of the hop table will affect the query performance of the hop table .
for instance , The jump table in the figure below , The number of nodes in the second layer is only 1 individual , The number of nodes in the first layer is 6 individual .

At this time , If you want to query nodes 6, That's basically the same as the query complexity of the linked list , You need to find the nodes in the first layer in order , The complexity is O(N) 了 . therefore , To reduce query complexity , We need to maintain the relationship between the number of adjacent nodes .
The optimal ratio of the number of nodes in the adjacent two layers of the hop table is 2:1, The search complexity can be reduced to O(logN).
The jump table below is , The ratio of the number of nodes in two adjacent layers is 2 : 1.

How to maintain the ratio of the number of nodes in two adjacent layers to 2 : 1 Well ?
If you add a node or delete a node , To adjust the hop table node to maintain the proportion , There will be additional costs .
Redis A clever method is , When creating a node, the jump table , Randomly generate the number of layers of each node , The ratio of the number of nodes in two adjacent layers is not strictly maintained 2 : 1 The situation of .
Here's how , When creating a node, the jump table , Will generate a range of [0-1] A random number of , If this random number is less than 0.25( Equivalent to probability 25%), Then the number of layers will increase 1 layer , Then continue to generate the next random number , Until the result of the random number is greater than 0.25 end , Finally determine the number of layers of the node .
The way to do it , It is equivalent that the probability of each additional layer does not exceed 25%, The higher the number of layers , The lower the probability , The maximum floor height limit is 64.
quicklist
stay Redis 3.0 Before ,List The underlying data structure of an object is a two-way linked list or a compressed list . And then in Redis 3.2 When ,List The bottom layer of the object is changed from quicklist Data structure implementation .
Actually quicklist Namely 「 Double linked list + Compressed list 」 Combine , Because a quicklist It's just a linked list , And each element in the linked list is a compressed list .
When we talked about compressing the list , I also mentioned the shortcomings of compressed lists , Although compressed lists save memory overhead through a compact memory layout , But because of its structural design , If the number of saved elements increases , Or the element gets bigger , The compressed list will have 「 Chain update 」 The risk of , Once occurred , Will cause performance degradation .
quicklist terms of settlement , By controlling the size of the compressed list or the number of elements in each linked list node , To avoid the problem of chain update . Because the fewer or smaller the compressed list elements , The smaller the impact of chain renewal , This provides better access performance .
quicklist The structure design
quicklist The structure of is similar to that of a linked list , Both include header and footer , The difference lies in quicklist The node of is quicklistNode.
typedef struct quicklist {
//quicklist The chain head of
quicklistNode *head; //quicklist The chain head of
//quicklist The chain head of
quicklistNode *tail;
// Total number of elements in all compressed lists
unsigned long count;
//quicklistNodes The number of
unsigned long len;
...
} quicklist;
Copy code So let's see ,quicklistNode Structure definition of :
typedef struct quicklistNode {
// Previous quicklistNode
struct quicklistNode *prev; // Previous quicklistNode
// next quicklistNode
struct quicklistNode *next; // After a quicklistNode
//quicklistNode Compressed list pointing to
unsigned char *zl;
// The byte size of the compressed list
unsigned int sz;
// Number of elements in the compressed list
unsigned int count : 16; //ziplist The number of elements in
....
} quicklistNode;
Copy code You can see ,quicklistNode The structure contains the previous node and the next node pointer , So each of them quicklistNode Form a two-way linked list . However, the elements of linked list nodes are no longer simply saving element values , Instead, a compressed list is saved , therefore quicklistNode There is a pointer to the compressed list in the structure *zl.
I drew a picture , It's easy for you to understand quicklist data structure .
In the quicklist When adding an element , Not like an ordinary linked list , Directly create a linked list node . Instead, it checks whether the compressed list at the insertion position can accommodate the element , If you can hold it, save it directly to quicklistNode Compressed list in structure , If it can't hold , Will create a new one quicklistNode structure .
quicklist Can control quicklistNode The size of the compressed list or the number of elements in the structure , To avoid the risk of potential chain updates , However, this does not completely solve the problem of chain update .
listpack
quicklist Although through control quicklistNode The size of the compressed list or the number of elements in the structure , To reduce the performance impact of cascading updates , But it does not completely solve the problem of chain update .
because quicklistNode Still use a compressed list to save elements , The problem of chain update of compressed list , From its structural design , So to solve this problem completely , Need to design a new data structure .
therefore ,Redis stay 5.0 A new data structure called listpack, The purpose is to replace compressed lists , Its biggest feature is listpack Each node in no longer contains the length of the previous node , Each node in the compressed list needs to save the length field of the previous node , There will be a hidden danger of chain update .
I look at the Redis Of Github, In the latest 6.2 In the release ,Redis Hash object 、Set The compressed list of the underlying data structure of the object has not been replaced with listpack, and Redis Latest code for ( Not released yet ) All data structures that use the underlying data structure of the compressed list have been Redis Replace the object with listpack Data structure to achieve , It is estimated that in the near future ,Redis A compressed list will be published as listpack The distribution version of .
listpack The structure design
listpack Many excellent designs with compressed lists , For example, a continuous memory space is used to store data compactly , And to save memory overhead ,listpack Nodes use different encoding methods to save data of different sizes .
Let's see listpack structure :

listpack The header contains two properties , We recorded listpack Total bytes and elements , then listpack There is also an end tag at the end . In the picture listpack entry Namely listpack The node .
Every listpack The node structure is as follows :

It mainly includes three aspects :
- encoding, Define the encoding type of the element , Will encode integers and strings of different lengths ;
- data, Data actually stored ;
- len,encoding+data The total length of ;
You can see ,listpack There is no field in the compressed list to record the length of the previous node ,listpack Only record the length of the current node , When we turn to listpack When adding a new element , It will not affect the change of the length field of other nodes , Thus, the chain update problem of compressed list is avoided .
Reference material :
- 《Redis Design and implementation 》
- 《Redis Source code analysis and actual combat 》
summary
It's finally finished , Breathe a sigh of relief .
I haven't written such a long graphic technical article for a long time , This time Xiaoxiao wrote 1.5 swastika + Painted 40 Multiple maps , It took a lot of time , Reading again , Look at the source code again .
Hope this article , Can help you break Redis The fog of data structures !
Summed up a lot about java Interview materials , I hope I can help you learn java Little buddy . Due to too much information, it is inconvenient to publish articles , It's not easy to create , I hope my friends can give me some motivation to continue to create better java Class learning material articles ,
Please support and pay more attention to the small work , Don't forget to like + Comment on + forward . I reply to the private message in the upper right corner 【999】 You can get free learning materials. Thank you !
边栏推荐
- 12.神经网络模型
- IP Core: PLL
- 【redis】③ 数据淘汰策略、pipeline 管道命令、发布订阅
- IP核:PLL
- [英雄星球七月集训LeetCode解题日报] 第25日 树状数组
- Sorting out the encapsulation classes of control elements in appium
- MySQL - master-slave replication
- What does it mean that the web server stops responding?
- Bond network card mode configuration
- 【论文笔记】—目标姿态估计—EPro-PnP—2022-CVPR
猜你喜欢

基于网络分析和文本挖掘的意见领袖影响力研究

Under inflation, how to operate in the future? 2021-05-14

【redis】③ 数据淘汰策略、pipeline 管道命令、发布订阅

matlab实时作出串口输出数据的图像

How long can this bull market last Answers to questions 2021-05-11

letfaw

Elementary C language - branch statements (if, switch)

FreeMarker view integration

Preparation of bovine erythrocyte superoxide dismutase sod/ folic acid coupled 2-ME albumin nanoparticles modified by bovine serum albumin

Binary representation -- power of 2
随机推荐
栈的表示和实现(C语言)
Thymeleaf view integration
基于MFFMB的电商评论文本分类研究
mysql事务的引入
【论文笔记】—目标姿态估计—EPro-PnP—2022-CVPR
What is Web3 game?
如何让你的 JS 代码写得更漂亮
Solid smart contract development - 3.2-solid syntax array, structure, mapping
The way of understanding JS: what is prototype chain
如何用120行代码,实现一个交互完整的拖拽上传组件?
What is software testing peer review?
Solidity智能合约开发 — 3.2-solidity语法数组、结构体、映射
bond网卡模式配置
letfaw
TID-MOP:面向数据交易所场景下的安全管控综合框架
After seven years of testing, the interview with Huawei finally negotiated a salary of 10000. HR said that I didn't respect Huawei and they didn't have such a low salary position~
[paper notes] - target attitude estimation Epro PNP 2022 CVPR
letfaw
Elementary C language - branch statements (if, switch)
markdown写作平台