当前位置:网站首页>Machine learning basic SVM (support vector machine)
Machine learning basic SVM (support vector machine)
2022-06-13 01:35:00 【Falling flowers and rain】
List of articles
One 、SVM Introduction to the algorithm
1. SVM Algorithm import
On Valentine's day long ago , Great Xia is going to save his lover , But the devil played a game with him .
The devil seems to put two colored balls on the table regularly , say :
“ You separate them with a stick ? requirement : Try to put more balls after , Still apply .”

So the great Xia put , Good job ?

And then the devil , There are more balls on the table , There seems to be a ball in the wrong camp .

What do I do ??
Thicken the broken down stick .
SVM It's trying to put the stick in the best position , So that there is as much space as possible between the two sides of the stick .

Now even if the devil puts more balls , Stick is still a good dividing line .

then , stay SVM There is another more important technique in the toolbox ( trick). The devil saw that the great Xia had learned one trick, So the devil gave the great Xia a new challenge .

Now? , Great Xia, there is no stick to help him separate the two kinds of balls , What to do now ?
Of course, as in all martial arts movies, the table of the great Xia is patted , The ball flew into the air . then , With great Xia's lightness skill , Great Xia grabs a piece of paper , In the middle of the two balls .

Now? , Look at these balls from the devil's point of view , These balls look like they're separated by a curve .

After that , Boring adults , Alias the objects above :
The ball —— 「data」 data
Stick —— 「classifier」 classification
Maximum clearance ——「optimization」 optimization
Strike the table ——「kernelling」 Nuclear method
paper ——「hyperplane」 hyperplane
Source of case :http://bytesizebio.net/2014/02/05/support-vector-machines-explained-well/
2. SVM Algorithm definition
2.1 Definition
SVM:SVM The full name is supported vector machine( Support vector machine ), namely Find a hyperplane and divide the sample into two classes , And the interval is maximum .
SVM Ability to perform linear or non-linear classification 、 Return to , Even outlier detection tasks . It is one of the most popular models in the field of machine learning .SVM It is especially suitable for the classification of small and medium-sized complex data sets .

2.2 Introduction to the maximum spacing of hyperplanes

The upper left figure shows the decision boundaries of three possible linear classifiers :
The model represented by the dotted line performs very badly , Can't even classify correctly . The other two models performed perfectly in this training set , however Their decision boundaries are too close to the examples , Resulting in new instances , It may not be very good .
The solid line in the right figure represents SVM Decision boundary of classifier , Not only are the two categories separated , And Stay as far away as possible from recent training instances .
2.3 Hard interval and soft interval
2.3.1 Hard interval classification
In the above, we use hyperplane to segment data , If we strictly make all instances not between the maximum intervals , And on the right side , This is the hard interval classification .
There are two problems with hard interval classification , First , It works only when the data is linearly separable ; secondly , It is very sensitive to outliers .
When there is an extra outlier in Iris data : The data in the left figure can't find the hard interval at all , The decision boundary shown in the figure on the right is also very different from the decision boundary when there are no outliers , May not generalize well .

2.3.2 Soft interval classification
We should avoid these problems , It's best to use a more flexible model . The goal is to keep the maximum spacing as wide as possible and limit the spacing violation ( That is, above the maximum interval , Even instances on the wrong side ) Find a good balance between , This is the soft interval classification .
We should avoid these problems , It's best to use a more flexible model . The goal is to find a good balance between keeping the interval wide and limiting the interval violations as much as possible , This is the soft interval classification .

stay Scikit-Learn Of SVM Class , It's possible to use the super parameter C To control the balance :C The smaller the value. , The wider the interval , But there will be more interval violations . The figure above shows a nonlinear separable data set , Two soft intervals SVM The decision boundary and interval of each classifier .
High is used on the left C value , Error samples for classifiers ( Interval violation ) Less , But the interval is also small .
Low... Is used on the right C value , The interval is much larger , But there are more instances on the interval . It seems that the generalization effect of the second classifier is better , Because most interval violations are actually on the right side of the decision boundary , So even on this training set , It also makes fewer false predictions .
3. Summary
- SVM Algorithm definition 【 understand 】
- Find a hyperplane and divide the sample into two classes , And the interval is maximum .
- Hard interval and soft interval 【 know 】
- Hard spacing
- Only valid if the data is linearly separable
- Very sensitive to outliers
- Soft space
- Try to find a good balance between keeping the maximum interval width and limiting the interval violation
- Hard spacing
Two 、SVM Algorithm api Preliminary use
>>> from sklearn import svm
>>> X = [[0, 0], [1, 1]]
>>> y = [0, 1]
>>> clf = svm.SVC()
>>> clf.fit(X, y)
SVC(C=1.0, cache_size=200, class_weight=None, coef0=0.0,
decision_function_shape='ovr', degree=3, gamma='scale', kernel='rbf',
max_iter=-1, probability=False, random_state=None, shrinking=True,
tol=0.001, verbose=False)
After fitting , This model can be used to predict new values :
>>> clf.predict([[2., 2.]])
array([1])
3、 ... and 、SVM Algorithm principle
1. Define input data
Suppose a training set on a feature space is :

among , ( x i , y i ) (x_i,y_i) (xi,yi) Called sample points .
x i x_i xi For the first time i An example ( sample ),
y i y_i yi by x i x_i xi The tag :
- When y i = 1 y_i=1 yi=1 when , x i x_i xi For example
- When y i = − 1 y_i=-1 yi=−1 when , x i x_i xi The negative example is
As for why positive and negative are used (-1,1) It means ?
In fact, there are not many principles here , It's a sign , You can also use it (2,-3) To mark . It's just > For convenience , y i / y j = y i ∗ y j y_i/y_j=y_i*y_j yi/yj=yi∗yj Can just be equal , For later calculation .)
2. Linear separable support vector machine
The linear separable training data set proposed above is given , The separation hyperplane is obtained by maximizing the interval : y ( x ) = w T Φ ( x ) + b y(x)=w^T\Phi(x)+b y(x)=wTΦ(x)+b
The corresponding classification decision function is : f ( x ) = s i g n ( w T Φ ( x ) + b ) f(x)=sign(w^T\Phi(x)+b) f(x)=sign(wTΦ(x)+b)
The above decision function is called linear separable support vector machine .
Here's an explanation Φ ( x ) \Phi(x) Φ(x) This east east .
This is a certain feature space transformation function , Its function is take x Mapping to higher dimensions , It has a proprietary title that we will often see in the future ” Kernel function “.
For example, the features we see are 2 individual :
x 1 , x 2 x1,x2 x1,x2 The first linear function to be seen is w 1 x 1 + w 2 x 2 w_1x_1+w_2x_2 w1x1+w2x2.
But perhaps these two features do not describe the data well , So we transform the dimensions , Turned into w 1 x 1 + w 2 x 2 + w 3 x 1 x 2 + w 4 x 1 2 + w 5 x 2 2 w_1x_1+w_2x_2+w_3x_1x_2+w_4x_1^2+w_5x_2^2 w1x1+w2x2+w3x1x2+w4x12+w5x22.
So we have three more characteristics . And this is a general description x Mapping .
The simplest and most direct is : Φ ( x ) = x \Phi(x)=x Φ(x)=x
The above is the model expression of linear separable support vector machine . We have to work out such a model , Or such a hyperplane y(x), It can optimally separate two sets .
In fact, we have to find a set of parameters (w,b), The hyperplane function can optimally separate two sets .
The following is an optimal hyperplane :

Another example is this :

The shaded part is a “ Transition zone ”,“ Transition zone ” The boundary of is where the nearest sample point in the set to the hyperplane falls .
3. SVM Calculation process and algorithm steps
3.1 Derive the objective function
We know what support vector machine is . Now we are going to look for this support vector machine , That is to find an optimal hyperplane .
So we're going to build an objective function . So how to build it ?
Let's look at our hyperplane expression : y ( x ) = w T Φ ( x ) + b y(x)=w^T\Phi(x)+b y(x)=wTΦ(x)+b
For our convenience, let : Φ ( x ) = x \Phi(x)=x Φ(x)=x
In the sample space , The partition hyperplane can be described by the following linear equation : w T x + b = 0 w^Tx+b=0 wTx+b=0
We know w = ( w 1 , w 2 , . . . , w d ) w=(w_1,w_2,...,w_d) w=(w1,w2,...,wd) For the normal vector , It determines the direction of the hyperplane ;
b Is the displacement term , Determines the distance between the hyperplane and the origin .
obviously , The partition hyperplane can be represented by a normal vector w And displacement b determine , We write it down as (w,b).
Any point in the sample space x To the hyperplane (w,b) The distance between can be written as

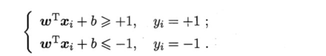
Hypothetical hyperplane (w, b) Be able to correctly classify training samples , That is for ( x i , y i ) ∈ D (x_i, y_i)\in D (xi,yi)∈D,
- if y i = + 1 y_i=+1 yi=+1, Then there are $w^Tx_i+b>0;
- if y i = − 1 y_i=-1 yi=−1 , Then there are w T x i + b < 0 w^Tx_i+b<0 wTxi+b<0;
Make

As shown in the figure , Several training sample points closest to the hyperplane make the above equation equal , They are called “ Support vector ",
The sum of the distances from two heterogeneous support vectors to the hyperplane is :
It is called “” interval “”.

To find the partition hyperplane with the largest interval , That is to find the parameters that can satisfy the constraints in the following formula w and b, bring γ \gamma γ Maximum .

namely :

obviously , In order to maximize the spacing , Just maximize ∣ ∣ w ∣ ∣ − 1 {||w||}^{-1} ∣∣w∣∣−1, This is equivalent to minimizing ∣ ∣ w ∣ ∣ 2 {||w||}^{2} ∣∣w∣∣2. So the above formula can be rewritten as :

This is the basic form of support vector machine .
3.2 Solution of objective function
To this step , Finally, the objective function is established .
Then the next step is naturally to find the optimal value of the objective function .
Because the objective function has a constraint , So we can use Lagrange multiplier method to solve .
3.2.1 Lagrange multiplier method
What is the Lagrange multiplier method ?
Lagrange multiplier method (Lagrange multipliers) It is a method to find the extremum of multivariate function under a set of constraints .
By introducing the Lagrange multiplier , But there will be d Two variables and k The optimization problem with two constraints is transformed into an optimization problem with d + k Solve the unconstrained optimization problem of four variables .
After the Lagrange multiplier method , We can convert the objective function into :

among , The second half of the above formula :

Go to this step , The objective function still cannot be solved , Now our problem is the minimax problem
3.2.2 The dual problem
We're going to turn it into a dual problem , It becomes a minimax problem :
from m i n m a x L ( w , b , α ) min maxL(w,b,\alpha) minmaxL(w,b,α) Turn into : m a x m i n L ( w , b , α ) max min L(w,b,\alpha) maxminL(w,b,α)
How to get dual function ?
First of all, we discuss the w and b To derive separately :
Original objective function :

Yes w Finding partial derivatives :

Yes b Finding partial derivatives :

Then put the above w and b The derivative function of is replaced by the derivative function of the original objective function w and b in , The result is the dual function of the primitive function :

What this dual function actually does is : m a x m i n L ( w , b , α ) max min L(w,b,\alpha) maxminL(w,b,α) Medium m i n L ( w , b ) minL(w,b) minL(w,b) part ( Because of w,b Partial derivative ).
So what is required now is the maximum value of this function max(a), The formula is :

Okay , Now we just need to find the maximum of the above formula α \alpha α, And then α \alpha α Plug in w The formula for partial derivatives :

So we can get w.
take w The expression substituted into the hyperplane , Calculation b value ;
current w,b Is the parameter of the optimal hyperplane we are looking for .
3.2.3 The overall process is determined
We use mathematical expressions to illustrate the above process :
1) The first is to ask
The maximum value of . namely :
Notice that there are two constraints .
Add symbols to the objective function , To find the minimum :
2) Calculate the extreme value of the above formula to find α ∗ \alpha^* α∗ ;
3) take α ∗ \alpha^* α∗ Plug in , Calculation w,b

4) Find the hyperplane :

5) Find the classification decision function :

4. give an example
Given 3 Data points : As an example x 1 = ( 3 , 3 ) , x 2 = ( 4 , 3 ) x1=(3,3),x2=(4,3) x1=(3,3),x2=(4,3), Negative example point x 3 = ( 1 , 1 ) x3=(1,1) x3=(1,1), Find linear separable support vector machine . Draw three dots :

- First determine the objective function

- Find the extreme value of the objective function
simple form :

Put the data in :

because :

Simplify to get :

Yes α 1 , α 2 \alpha_1,\alpha_2 α1,α2 Find the partial derivative and make it 0, Easy to know s ( α 1 , α 2 ) s(\alpha_1,\alpha_2) s(α1,α2) At point (1.5, -1) Take the extreme value at .
And this point does not satisfy the condition α 2 > = 0 {\alpha}_2 >= 0 α2>=0 , therefore , The minimum value reaches on the boundary .
- When α 1 = 0 \alpha_1=0 α1=0 when , minimum value s ( 0 , 2 13 ) = − 2 13 = − 0.1538 s(0,\frac{2}{13})=-\frac{2}{13}=-0.1538 s(0,132)=−132=−0.1538
- When α 2 = 0 \alpha_2=0 α2=0 when , minimum value s ( 1 4 , 0 ) = − 1 4 = − 0.25 s(\frac{1}{4},0)=-\frac{1}{4}=-0.25 s(41,0)=−41=−0.25
therefore , s ( α 1 , α 2 ) s(\alpha_1,\alpha_2) s(α1,α2) stay α 1 = 0 \alpha_1=0 α1=0, α 2 = 0 \alpha_2=0 α2=0 It's the smallest when it's time , here :
- α 3 = α 1 + α 2 = 1 4 \alpha_3 = \alpha_1+\alpha_2 = \frac{1}{4} α3=α1+α2=41
- α 3 = α 1 + α 2 = 1 4 \alpha_3 = \alpha_1+\alpha_2 = \frac{1}{4} α3=α1+α2=41
- The optimal parameters can be obtained by substituting the obtained extreme values w,b
- α 1 = α 3 = 1 4 \alpha_1 = \alpha_3 = \frac{1}{4} α1=α3=41 The corresponding point x 1 , x 3 x_1,x_3 x1,x3 Support vector machines
- Generation into the formula :

take α \alpha α The result is substituted into the solution :


The plane equation is : 0.5 x 1 + 0.5 x 2 − 2 = 0 0.5x_1+0.5x_2-2=0 0.5x1+0.5x2−2=0
- So the separation hyperplane is
0.5 x 1 + 0.5 x 2 − 2 = 0 0.5x_1+0.5x_2-2=0 0.5x1+0.5x2−2=0
- The separation decision function is :
f ( x ) = s i g n ( 0.5 x 1 + 0.5 x 2 − 2 ) f(x)=sign(0.5x_1+0.5x_2-2) f(x)=sign(0.5x1+0.5x2−2)
Four 、SVM Loss function of
stay SVM in , We mainly discuss three loss functions :

green :0/1 Loss
- When the point of the positive example falls on y=0 The lower edge of this hyperplane , It means that the classification is correct , No matter how close or far from the hyperplane , The error is 0.
- When the sample point of this positive example falls on y=0 At the top of , Description classification error , No matter how close , The error is 1.
- The image is the green line above .
Blue :SVM Hinge Loss function
- When the point of a positive example falls on y=1 In a straight line , Length from hyperplane 1, that 1-ξ=1,ξ=0, That is to say, the error is 0;
- When it falls on the distance hyperplane 0.5 The place of ,1-ξ=0.5,ξ=0.5, That is to say, the error is 0.5;
- When it falls on y=0 Last time , A distance of 0,1-ξ=0,ξ=1, Error is 1;
- When this point falls on y=0 On top of , Was wrongly assigned to the negative example , The distance should be negative , such as -0.5, that 1-ξ=-0.5,ξ=-1.5. Error is 1.5.
- And so on , The blue line in the above figure is drawn on the two-dimensional coordinates .
Red :Logistic Loss function
- The formula of the loss function is : l n ( 1 + e − y i ) ln(1+e^{-y_i}) ln(1+e−yi)
- When y i = 0 y_i=0 yi=0 when , The loss is equal to ln2, It's ugly , So we divide this loss function by ln2.
- It's like this y i = 0 y_i=0 yi=0 when , The loss is 1, That is, the loss function is too (0,1) spot
- That is, the red line in the above figure .
5、 ... and 、SVM Nuclear method of
Learn about common kernel functions
【SVM + Kernel function 】 With great power .
Kernel functions are not SVM Peculiar , Kernel functions can also be combined with other algorithms , Only kernel function and SVM The combination has great advantages .
1. What is a kernel function
1.1 The concept of kernel function
Kernel function , Mapping the original input space to the new feature space , thus , So that the originally linearly nonseparable samples may be separable in kernel space .

The two types of data shown in the following figure , They are distributed in the shape of two circles , Such data itself is linear and inseparable , At this point, how to separate these two types of data ?

- hypothesis X It's the input space ,
- H It's feature space ,
- There is a mapping ϕ bring X In the point x Can calculate H Points in space h,
- For all X All the points in are true :

if x,z yes X Points in space , function k(x,z) The following conditions are met , So it all works , said k It's a kernel function , and ϕ For mapping function :

1.2 Examples of kernel functions
1.2.1 Examples of Nuclear Methods 1:




Through the above formula , The specific transformation process is :

1.2.2 Examples of Nuclear Methods 2:
- The following picture is in the first 、 In the second quadrant . We pay attention to the red door , as well as “ Beijing Quadrangle ” These words and the purple letters below .
- We regard the dot on the red door as “+” data , A dot on a letter is regarded as “-” data , Their transverse 、 Ordinates are two features .
- obviously , In this two-dimensional space ,“+”“-” The two types of data are not linearly separable .


( The front and rear axles are x Axis , The left and right axes are y Axis , The upper and lower shafts are z Axis )
The green plane perfectly separates red and purple , Two types of data become linearly separable in three-dimensional space .
This decision boundary in three dimensions , And then map it back to two-dimensional space : It's a hyperbola , It's not linear .
The function of kernel function is a mapping from low dimensional space to high dimensional space , And this mapping can change two kinds of points which are linearly nonseparable in low dimensional space into linearly separable .

2. Common kernel functions

1. Multiple nuclei ,d=1 when , Degenerate to a linear kernel ;
2. Gauss kernel is also called RBF nucleus .
Linear kernel and polynomial kernel :
- The function of these two kernels is to find some points in the attribute space first , Think of these points as base, The function of kernel function is to find the sample point that satisfies some relationship with the distance and angle of the point .
- When the angle between the sample point and the point is almost vertical , The Euclidean length of two samples must be very long to ensure that the linear kernel function is greater than 0; And when the sample point and base When the directions of the points are the same , The length doesn't have to be very long ; And when the direction is opposite , The value of the kernel function is negative , Be judged as anti class . namely , It divides a shuttle shape in space , Divide the positive and negative classes according to the shuttle shape .
RBF nucleus :
- Gaussian kernel function is to find some points in the attribute space , These points may or may not be sample points , Think of these points as base, With these base Extend the center of the circle outward , The expansion radius is the bandwidth , Data can be divided .
- let me put it another way , Find some supercircles in the attribute space , Use these hypercircles to determine the positive and negative classes .
Sigmoid nucleus :
- Again, define some base,
- Kernel function is to pass a linear kernel function through a tanh Function to process , Limit the range of values to -1 To 1 On .
All in all , They are all defining the distance , Greater than this distance , Positive , Less than this distance , Negative judgment . As for which kernel function to choose , It should be determined according to the specific sample distribution .
There are generally the following guidelines :
1) If Feature There are a lot of them , Even when the number of samples is about the same , Often linearly separable , Choose LR Or linear kernel Linear;
2) If Feature The number is very small , The number of samples is normal , It's neither more nor less , Choose RBF nucleus ;
3) If Feature The number is very small , And the number of samples is very large , Add some manually Feature, Make linear separable , And then choose LR Or linear kernel Linear;
4) Polynomial kernels are rarely used , The efficiency is not high , The result is no better than RBF;
5) Linear Few nuclear parameters , Fast ;RBF There are many nuclear parameters , The classification results are very dependent on the parameters , Need cross validation or grid search for the best parameters , More time-consuming ;
6) The most widely used should be RBF nucleus , Whether it's a small sample or a large sample , High dimensional or low dimensional ,RBF Kernel functions are applicable to .
6、 ... and 、SVM Return to
SVM Return to Is to have as many instances as possible on the forecast line , Simultaneous interval restriction violation ( That is, examples that are not on the predicted line spacing ).
The width of the line spacing is determined by the super parameter ε control .

7、 ... and 、SVM Algorithm api Re introduce
1. SVM Algorithm api review
- SVM Method can be used to classify ( Two / Many classification ), It can also be used for regression and outlier detection .
- SVM It has good robustness , Strong generalization ability for unknown data , Especially when the amount of data is small , Compared with other traditional machine learning algorithms, it has better performance .
Use SVM As a model , The following process is usually used :
- Normalize the sample data
- Apply kernel function to map samples ( The most commonly used sum kernel is RBF and Linear, When the sample is linearly separable ,Linear The effect is better than RBF good )
- use cross-validation and grid-search Optimize the super parameters
- The model is trained with the optimal parameters
- test
sklearn There are three main methods of support vector classification in :SVC、NuSVC、LinearSVC, It is extended to three support vector regression methods :SVR、NuSVR、LinearSVR.
- SVC and NuSVC The method is basically the same , The only difference is that the loss function is measured differently
- NuSVC Medium nu Parameters and SVC Medium C Parameters ;
- LinearSVC Is the implementation of linear kernel support vector classification , No, kernel Parameters .
2. SVC
class sklearn.svm.SVC(C=1.0, kernel='rbf', degree=3,coef0=0.0,random_state=None)
- C: Penalty factor , The penalty coefficient used to control the loss function , Similar to the regularization coefficient in linear regression .
- C The bigger it is , It's equivalent to punishing relaxation variables , I want the relaxation variable to be close to 0, That is, the punishment for misclassification is increased , It tends to be the case that the training set is totally divided into pairs , In this way, the accuracy of training set test is very high , But the generalization ability is weak , It is easy to cause over fitting .
- C Small value , The penalty for misclassification is reduced , Enhanced fault tolerance , The generalization ability is strong , But it may also be under fitted .
- kernel: The kernel function type used in the algorithm , Kernel function is a method used to transform nonlinear problems into linear problems .
- Parameter selection includes RBF, Linear, Poly, Sigmoid Or customize a kernel function .
- The default is "RBF", Radial basis kernel , Gaussian kernel function ;
- and Linear It refers to the linear kernel function ,
- Poly Polynomial kernel ,
- Sigmoid It refers to the hyperbolic tangent function tanh nucleus ;
- Parameter selection includes RBF, Linear, Poly, Sigmoid Or customize a kernel function .
- degree:
- When specifying kernel by ’poly’ when , Represents the highest degree of the selected polynomial , The default is cubic polynomial ;
- If specified kernel No ’poly’, It ignores , That is, this parameter is only applicable to ’poly’ Useful .
- Polynomial kernel function maps low dimensional input space to high dimensional feature space .
- coef0: Constant value of kernel function (y=kx+b Medium b value ),
- Only ‘poly’ and ‘sigmoid’ The kernel function has , The default value is 0.
3. NuSVC
class sklearn.svm.NuSVC(nu=0.5)
- nu: The upper limit of the training error part and the lower limit of the support vector part , The value is (0,1) Between , The default is 0.5
4. LinearSVC
class sklearn.svm.LinearSVC(penalty='l2', loss='squared_hinge', dual=True, C=1.0)
- penalty: Regularization parameters ,
- L1 and L2 Two parameters are optional , only LinearSVC Yes .
- loss: Loss function ,
- Yes hinge and squared_hinge Two options , The former is also called L1 Loss , The latter is called L2 Loss , The default is squared_hinge,
- among hinge yes SVM Standard loss ,squared_hinge yes hinge The square of
- dual: Whether it is transformed into a dual problem , The default is True.
- C: Penalty factor ,
- The penalty coefficient used to control the loss function , Similar to the regularization coefficient in linear regression .
8、 ... and 、SVM summary
1. SVM Basic overview
SVM It's a two class classification model .
Its basic model is to find a linear classifier with maximum separation hyperplane in feature space .
- 1) When the training samples are linearly separable , Maximize... By hard spacing , Learn a linear classifier , That is, linear separable support vector machine ;
- 2) When the training data is approximately linearly separable , Introduce relaxation variables , Maximize... By soft spacing , Learn a linear classifier , Linear support vector machines ;
- 3) When the training data is linear and indivisible , Maximize... By using nuclear techniques and soft separation , Learning nonlinear support vector machines .
2. SVM Advantages and disadvantages :
SVM The advantages of :
- Very efficient in high dimensional space ;
- It is still valid even when the data dimension is larger than the number of samples ;
- In the decision function ( It's called support vector ) Use a subset of the training set in , Therefore, it also makes efficient use of memory ;
- generality : Different kernel functions correspond to specific decision functions one by one ;
SVM The shortcomings of :
- If the number of features is much larger than the number of samples , Over fitting should be avoided when selecting kernel function ;
- Sensitive to missing data ;
- For the high-dimensional mapping of kernel function, the explanatory power is not strong
边栏推荐
- Uuid/guid introduction, generation rules and generation codes
- Vector|hdu-4841 round table questions
- Rasa对话机器人之HelpDesk (三)
- Note: common gadgets in project architecture
- Wildcard usage of go standard library FMT
- Add default right-click menu
- Facial expression recognition dataset
- 【斯坦福計網CS144項目】Lab1: StreamReassembler
- 【官方文件汇总】国科大学位论文撰写规范
- [wsl2]wsl2 migrate virtual disk file ext4 vhdx
猜你喜欢

V-inline-date, similar to Ctrip, flying pig, time selection with price

Use koa to mock data and set cross domain issues

Traversal of binary tree - first order traversal, middle order traversal, and second order traversal

Plusieurs catégories de tests logiciels sont claires à première vue

Sonarqube local installation

Leetcode question brushing 07 double pointer

Work and life

Realization of flip animation

Uuid/guid introduction, generation rules and generation codes

September 3, 2021 visual notes
随机推荐
Downloading wiki corpus and aligning with multilingual wikis
Leetcode-78- subset (medium)
Thread code learning notes
MySQL connection query
[learn FPGA programming from scratch -21]: Advanced - Architecture - VerilogHDL coding specification
redis
Leetcode find duplicates
【斯坦福计网CS144项目】Lab1: StreamReassembler
【斯坦福計網CS144項目】Lab1: StreamReassembler
How to solve the problem of database?
Wangdao machine test - Chapter 6 - maximum common divisor GCD and minimum common multiple LCM
Stmarl: a spatio temporal multi agentreinforcement learning approach for cooperative traffic
leetcode 142. Circular linked list II
MySQL download and installation
Spit bubbles (stack)
Several categories of software testing are clear at a glance
【官方文件汇总】国科大学位论文撰写规范
Large end storage and small end storage
受众群体应该选择观察模式还是定位模式?
Introduction to convolutional neural network