当前位置:网站首页>发顶会顶刊论文,你应该这样写作
发顶会顶刊论文,你应该这样写作
2022-08-05 05:15:00 【FightingCV】
加入交流群,请添加小助手wx:FightngCV666
来源:https://github.com/MLNLP-World/Paper-Writing-Tips
很多初学者同学在投稿的时候经常会出现一些共有的小错误,为了节省大家的时间和帮助大家能够尽快的定位一些小的问题。本项目总结了我们在自己投稿过程中的经验和一些身边老师同学的投稿经验,希望能对大家有所帮助,由于我们的水平有限,如有疏漏,还望谅解。谢谢大家。
本项目的特色:
- 写前必看:包含一些常见的错误,每个错误均配有例子,可以在动手写论文之前快速浏览。
- 终稿必查:包含一些例子,方便快速定位是否自己的论文有错误。
- 百家之言:整理了一些网络上公开的写作资源(并不完全,欢迎补充),方便大家系统学习。
解释
下文中,标注"Attention"的内容,是目前组织者认为有(较为)明显争议的建议条目。
公式符号
1. 标量符号用小写拉丁字母表示
- 要点: 为避免混淆字母 l 和数字 1 ,字母 l 可用 \ell 替代。

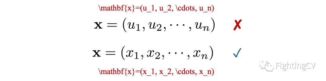
2. 有结构的值使用 \boldsymbol(Attention)
- 要点: 有结构的值例如句子序列、树、图等 (下图仅展示为句子序列情况)

3. \boldsymbol 的集合可用 \mathcal (Attention)

4. 向量值小写加粗,矩阵大写加粗
- 要点: 拉丁字母用\mathbf,希腊字母用\boldsymbol。

5. 数域、期望等使用\mathbb

6. 保持元素与集合的符号对应

7. 写作风格要正式,避免缩写
- don't 拆开写成 do nots
- 所有格 's 尽量转化为 of

8. 拉丁文惯用语
- e.g., 表示 for example,
- i.e., 表示 that is,
- et al. 表示 and others of the same kind,
- etc. 表示 and others,,不用于列举人
- et al. 或 etc. 在句末时,不用再添加额外的句号

9. 英文引号
键位如图所示,使用 `` 和 '' 分别表示左右引号,而不是其他符号或任何中文引号。

10. 不间断空格 "~"
使用 ~ 表示不间断空格,不间断空格不会导致意外的换行,例如:
Figure~\ref{} shows the model performance.Table~\ref{} shows dataset details.
We use BERT~\cite{bert} model.
Section~\ref{} concludes this paper.

11. URL 链接
使用 \url{} 命令,需要导入包:
\usepackage{hyperref}
12. 引号只表示所谓,不表示引用(Attention)
引用的表述考虑使用斜体 \textit{} 而不是引号。

13. 非单个字母的变量名
公式中的 softmax,proj,enc 等超过一个字母的变量或符号,使用正文字体,即使用 \textrm 或 \textit 命令。

14. 使用函数命令
许多函数和符号有现成的命令,例如:\arg{},\max{},\sin{},\tanh{},\inf, \det{}, \exp{}.

15. 公式中的括号,应通过\left,\right进行标记

如 \left(\right), \left{\right}, \left<\right>, \left|\right|等。
括号中的分割通过\middle实现。
Latex代码如下:
\begin{gather}
\bold{s} = \left(\sum_{i=0}^{N-1}{\alpha_{i} \bold{h}_i}\right) + \bold{h}_N\\
\bold{s} = (\sum_{i=0}^{N-1}{\alpha_{i} \bold{h}_i}) + \bold{h}_N \\
\end{gather}
\begin{gather}
\left\{ x \middle| x\ne\frac{1}{2}\right\} \\
\{ x | x\ne\frac{1}{2}\}
\end{gather}
16. 使用 align 表示一组公式,等号对齐

使用 align 表示一组公式,等号对齐。
Latex代码如下:
\begin{gather}
E = m c^2 \\
C = B \log_2\left(1+\frac{S}{N}\right)
\end{gather}
\begin{align}
E &= m c^2 \\
C &= B \log_2\left(1+\frac{S}{N}\right)
\end{align}
17. 只对refer的公式中加编号(Attention)

推荐:只对refer的公式加编号,\nonumber去编号。
Latex代码如下:
\begin{equation}
E = m c^2
\end{equation}
\begin{equation}
E = m c^2 \nonumber
\end{equation}
表格图片
18. 使用Booktabs绘制更好看的表格

绘制表格时,使用 \usepackage{booktabs},从而借助 \toprule, \bottomrule, \midrule, \cmidrule 命令,画出好看的分隔线。
Latex代码如下:
% Example of a table with booktabs from https://nhigham.com/2019/11/19/better-latex-tables-with-booktabs/.
% First version of table.
\begin{table}[htbp]
\centering
\begin{tabular}{|l|c|c|c|c|c|l|}
\hline
& \multicolumn{3}{c|}{E} & \multicolumn{3}{c|}{F}\\
\hline
& $mv$ & Rel.~err & Time & $mv$ & Rel.~err & Time \\\hline
A & 11034 & 1.3e-7 & 3.9 & 15846 & 2.7e-11 & 5.6 \\
B & 21952 & 1.3e-7 & 6.2 & 31516 & 2.7e-11 & 8.8 \\
C & 15883 & 5.2e-8 & 7.1 & 32023 & 1.1e-11 & 1.4 \\
D & 11180 & 8.0e-9 & 4.3 & 17348 & 1.5e-11 & 6.6 \\
\hline
\end{tabular}
\caption{Without booktabs.}
\label{tab:without-booktabs}
\end{table}
% Second version of table, with booktabs.
\begin{table}[htbp]
\centering
\begin{tabular}{lcccccl}\toprule
& \multicolumn{3}{c}{E} & \multicolumn{3}{c}{F}
\\\cmidrule(lr){2-4}\cmidrule(lr){5-7}
& $mv$ & Rel.~err & Time & $mv$ & Rel.~err & Time\\\midrule
A & 11034 & 1.3e-7 & 3.9 & 15846 & 2.7e-11 & 5.6 \\
B & 21952 & 1.3e-7 & 6.2 & 31516 & 2.7e-11 & 8.8 \\
C & 15883 & 5.2e-8 & 7.1 & 32023 & 1.1e-11 & 1.4\\
D & 11180 & 8.0e-9 & 4.3 & 17348 & 1.5e-11 & 6.6
\\\bottomrule
\end{tabular}
\caption{With booktabs.}
\label{tab:with-booktabs}
\end{table}
19. 章节、表格、图片的引用
- 章节、表格、图片使用\label{...}定义后,通过自动引用跳转。
- 对子图或子表的引用可以使用Figure~(a)来表示。
20. 不要把图表中的Caption在正文中复述

- 说明(Caption)是用来写“这个表格是什么”的。
- 正文是用来写“这个表格说明了什么”的。
21. “三线表”建议:尽量不要画竖线(Attention)

22. 表格大小调整
- 用 \centering 居中;用\small,\scriptsize,\footnotesize,\tiny 调整字号
- 用\setlength{\tabcolsep}{8pt} 调整列间距
- 用 p{2cm} 固定列宽
- 用\multirow,\multicolumn 合并单元格

23. 矢量图:图像应使用矢量图(如PDF格式)
- 使用Adobe illustrator、OmniGraffle等软件绘制后存为矢量图
- 使用Matplotlib绘制后存储: plt.savefig('draw.pdf')
- 在LaTeX中使用pgfplots直接绘制

24. 图片字体大小介于正文字体与caption之间
- 建议图中字体大小保持一致

25. 论文中图片中文字说明字号应和正文文字大小相当
- 图片中文字字号大小不宜太大

26. 图表设计应适用于黑白打印
- 对黑白打印友好:不要以颜色作为指代图示中线条的唯一特征,可使用实线/虚线 ,亮/暗,不同线形等。

27. 图片风格保持简洁美观
- 不要使用过多的颜色种类,避免过亮的颜色
- 使用简洁的图示,尽量少用文字描述(例子除外)
- 同样功能模块使用统一格式
- 箭头走向应趋于同一个方向

选词用词
28. 注意连词符的词性
- 一般连词符中,最后一个词是名词的,连起来是形容词词性;

- 最后一个词是动词的,连起来是动词词性。

29. 词性易错点
- First, Secondly,均为副词
- training, test,validation,均为名词

30. 缩写符合使用习惯
- 符合习惯,与提出者尽量一致CNN,LSTM,FEVER,ConceptNet,SQuAD,BiDAF,FEVER score,Wikipedia。
- 初次出现时,全称在前,缩写在后;或缩写在前,用于注释的citation在后。graph attention network (GAT),pre-trained language model (PLM);BERT~\citep{BERT}。
- 领域名、任务名、指标等一般不需要大写,如 natural language processing, question answering, accuracy, macro-F1 score.

31. 注意单复数
- 尤其是不规则单复数变化、不可数名词。

32. a/an 跟着元音音素走

33. the的使用
- 注意:一般不会独立出现(不用冠词)可数名词单数,要么加the特指,要么加复数泛指。

34. 时态:以一般现在时为主(Attention)

35. 避免绝对化表述。
- 使用straightforward替换obvious
- 使用generally、usually、often替换always
- 使用rare替换never
- 使用alleviate、relieve替换avoid、eliminate

36. 避免一些模糊的表述,比如:meaning, semantic, better等。

以better举例,也就是当表示一个事物更好时,不能仅仅说它更好,需要给出相应的解释与理由
句子表述
37. 避免过多使用代词:it,they等,模型名缩写也不长,并且更清楚。

38. 避免过多贴标签,比如在谈论效果好时。
提出的方法到底改善了哪里,是什么导致的这个结果?

39. 一句话说一件事。尽量使用简单句,少使用长的复合句。

40. 观察/发现?假设?方法?效果?不要混着说。

段落布局
41. 一行字数未超过1/4时,建议删除或者增加字数。(Attention)
- 可选:可以尝试在该段话的最后,添加\looseness=-1,有时可以在不删除最后一行的情况下,将最后一行的个别单词“挤上去”。

参考文献
42. 参考文献引用需要排查是否在句子中做成分
- 要点:引用使用\citep{},作为插入语;或\citet{},作为句子主要成分如主语、宾语等。

43. 尽量引用发表的版本而非arXiv版本。
- 会显得正规一些

44. 引用条目的格式尽量前后一致
- 如会议名缩写、是否包含会议时间地点等是否所有的参考文献格式保持了一致

终稿必查——投稿前一周,一天
关于科技英语书写习惯
1. 可参考拼写检查软件,检查文本是否有语病或不符习惯的表达。
- 例如 grammarly, writefull.
2. 不要使用 didn't can't don't isn't aren't 之类的缩写形式 任何时候都不要用撇号缩写。对于所有格,完全不要用,非要表达类似意思,用of短语。对于引号,要尽力避免。
3. 使用缩写(如模型名、定义等),需在使用的最初始位置定义。
4. 模型名字大小写保持一致,如BERT,ELECTRA,避免Bert,Electra,electra混合使用。
5. 例句、例子考虑用斜体
6. \begin\item改成正常段落可以使页面更紧凑(然后在每段前手工加打黑点),浪费过多空间有被怀疑灌水之嫌
7. 脚注的写法:一般情况下,脚注可以写在“脚注相关的地方后第一个非左标点符号(如左引号、左括号)”后面。\footnote命令和它前面的标点符号之间没有空格。
8. A和an的区别在于发音:an LSTM cell, an F/H/L/M/N/S/X, a U.
9. 文章各级标题的大小写风格统一,例如短语首字母大写或单词首字母大写
10. 使用babel实现单词按音标音节换行(hyphenation patterns)的效果,即\usepackage[english]{babel}
关于图片:
11. 图片内部的字体应统一且跟正文文字大小一致。
12. 整张图片两侧尽量不要有空白,保持紧凑。
13. 图片通常在每一页的最上方或中间,而不是最下方。
14. 同类型模块颜色尽可能保持一个色系,每类单元用同一个颜色填充或作为边框。
15. 同样色系,如果某个模块颜色更深更亮 ,代表这个模块更为重要。如果不是想表达更为重要,更为核心,请在各个模块之间保持均衡颜色分配,比如灰度值尽量一致。
16. 不得使用过多的颜色种类,颜色最好不要高于六种。
17. 图片使用矢量图。
18. figure本意是提供比文字更直观、更明了简洁的表达的,应尽可能动用合理的绘画元素,而不是大量用文字标记。figure元素、规范用最小集合、最统一、一致的设置完成,一般不会难看。
19. 细节到线型、配色:第一,保持统一(低描述复杂性),第二,用一个意思、类别的图形元素该用近似、一样的线形、配色(认知直观性)。
20. 箭头方向尽量保持同向,避免出现来回折转。流程图中避免出现孤立组件(无任何来源或去向箭头标识)。
关于引用:
21. 引用标记的选取:
引用在文字外(parent),使用 \cite。
引用在文字内(within text)
效果:(Zhang et al. 2020) vs. Zhang et al. (2020)
- ACL/NAACL/EMNLP模板使用\citet{...};
- COLING模板使用\newcite{...};
- AAAI/IJCAI模板使用\citeauthor{...} \shortcite{...};
- IEEE模版:\citeauthor{...}~(\citeyear{...})
22. 如果篇幅较紧张,可以在引用中使用会议期刊名称的缩写。
- 可以参考工具 SimBiber
23. bib管理注意保持会议/期刊名称全称和缩写一致性,检查年份、卷号、页码等,不要完全依赖 scholar 提供的信息(可能存在缺失或格式混乱)。
- 可以参考工具 Rebiber
24. 章节、表格、图片使用\label定义后,可通过\ref自动引用跳转。
25. 引用和正文之间留有一个空格,而不是紧邻正文字母。
26. 不要重复引用同一论文的不同版本,例如 arXiv和正式会议论文。
关于公式:
27. 公式为句子的一部分。因此可在公式内部(尤其是多行)加入逗号和句号。
28. 对于公式后面的文字,若与公式组成完成的句子,则首字母不需要大写,并紧接在公式后面;若另起新的句子或段落,则在公式结束符\end后换行,并句子首字母大写,开启新的句子。
投稿前注意事项:
29. 检查文章的匿名性,不能包含个人与机构信息。
30. 检查是否超页(最后时刻慎重勿随意改图表大小)
31. 检查标题和摘要与投稿系统填写框内的信息是否对应。
32. 检查提交的数据与代码,不能包含个人与机构信息,尤其 code 里面一些 hard coded 的模型或数据路径等需要处理掉,另外需要注意隐藏文件夹(如 .git)
33. Overleaf 在部分会议投稿前可能访问缓慢,请注意LaTex备份
34. 论文的历史版本可以用时间编号,避免提交的不是最终版本
35. 截稿前一天最好提前交一个版本的论文以及附录,防止截稿时服务器崩溃
36. 交稿后仍需要关注会议官网和注册邮箱,以及时收到可能存在的会议截稿日期延后的消息。
已建立深度学习公众号——FightingCV,欢迎大家关注!!!
ICCV、CVPR、NeurIPS、ICML论文解析汇总:https://github.com/xmu-xiaoma666/FightingCV-Paper-Reading
面向小白的Attention、重参数、MLP、卷积核心代码学习:https://github.com/xmu-xiaoma666/External-Attention-pytorch
加入交流群,请添加小助手wx:FightngCV666
边栏推荐
- el-pagination左右箭头替换成文字上一页和下一页
- [Practice 1] Diabetes Genetic Risk Detection Challenge [IFLYTEK Open Platform]
- Thread handler句柄 IntentServvice handlerThread
- [Skill] Long-term update
- flink yarn-session的两种使用方式
- 全尺度表示的上下文非局部对齐
- Kubernetes常备技能
- day11-函数作业
- 记我的第一篇CCF-A会议论文|在经历六次被拒之后,我的论文终于中啦,耶!
- [Go through 10] sklearn usage record
猜你喜欢

Flink HA配置

SQL(二) —— join窗口函数视图

Tensorflow2 与 Pytorch 在张量Tensor基础操作方面的对比整理汇总

flink项目开发-配置jar依赖,连接器,类库

Convert the paper official seal in the form of a photo into an electronic official seal (no need to download ps)

flink基本原理及应用场景分析

【Pytorch学习笔记】11.取Dataset的子集、给Dataset打乱顺序的方法(使用Subset、random_split)

IDEA 配置连接数据库报错 Server returns invalid timezone. Need to set ‘serverTimezone‘ property.

flink部署操作-flink standalone集群安装部署

如何停止flink job
随机推荐
BFC详解(Block Formmating Context)
如何编写一个优雅的Shell脚本(二)
ES6 生成器
【论文精读】R-CNN 之预测框回归(Bounding box regression)问题详述
基于Flink CDC实现实时数据采集(二)-Source接口实现
Matplotlib(二)—— 子图
Tensorflow2 与 Pytorch 在张量Tensor基础操作方面的对比整理汇总
【数据库和SQL学习笔记】5.SELECT查询3:多表查询、连接查询
el-pagination左右箭头替换成文字上一页和下一页
day11-函数作业
IJCAI 2022|边界引导的伪装目标检测模型BGNet
redis persistence
flink yarn-session的两种使用方式
Matplotlib(一)—— 基础
NodeJs接收上传文件并自定义保存路径
【Kaggle项目实战记录】一个图片分类项目的步骤和思路分享——以树叶分类为例(用Pytorch)
Machine Learning (2) - Machine Learning Fundamentals
基于Flink CDC实现实时数据采集(三)-Function接口实现
flink部署操作-flink standalone集群安装部署
Distributed and Clustered