当前位置:网站首页>[reading papers] deep learning face representation from predicting 10000 classes. deepID
[reading papers] deep learning face representation from predicting 10000 classes. deepID
2022-06-13 02:25:00 【Shameful child】
Deep Learning Face Representation from Predicting 10,000 Classes
This article was published in 2014 year CVPR On , The subfield of face recognition Face verification (Face Verification) Target , The article does not directly use two categories CNN Realize face verification , It is By learning a multi class (10000 class , Each class has about 20 An example ) Face recognition task to learn features , And apply the learned features to face verification And others unseen new identification. It uses different faces patch Train multiple individual ConvNet, Every ConvNet The last hidden layer is the extracted feature , be called DeepID(Deep hidden IDentitiy feature). In the end, put these patch Extracted DeepID concate Get up as a whole Face Of feature Send in Joint Bayesian classifier ( Of course, it can also be other classifiers ) Face verification can be done by making two classifications . The main contribution of this article is Use many different Face patch Train separately for a difficult classification task (~10000 People of different identities ) Of ConvNet, Get some very high resolution over-complete representations, Last in No strict alignment required On the premise of LFW We got it 97.45% Face contrast accuracy .
What you can know about the abstract of the thesis
- It is proposed to learn a set of advanced feature representations through deep learning , It's called deep hidden identity (DeepID), For face verification .
- By challenging multi class face recognition tasks , Can learn effectively DeepID, At the same time, it can be Extend to other tasks ( Such as verification ) And new identities not found in the training set
- As more face categories are predicted in training ,DeepID The generalization ability of will also increase .
- DeepID It can be used as a classifier to learn , Identify approximately in the training set 10000 Personal face identity
- When the number of neurons in the feature extraction hierarchy is decreasing , These deep layers convnet At the top level, compact identity related features are gradually formed , Only a few hidden neurons .
- DeepID The feature is taken from the depth convolution network (ConvNets) The last hidden layer neuron is activated
- The proposed features range from Extract from different face regions , formation Complementary and complete Express
- LFW The accuracy of verification reaches 97.45%
Face verification related work
Through high-dimensional ultra complete face descriptor , Then there is a shallow model to represent the face .
Encode each face image into 26K Based on learning (LE) The descriptor of , And then in PCA Post calculation LE Between descriptors L2 distance
【 Paper learning notes 】Face Recognition with Learning-based Descriptor_Tonyfy’s Blog-CSDN Blog
Through a new learning-based(LE) The coding method is opposite to the “ Microstructure (micro-structures)” Encoding , adopt Unsupervised learning The technique of learning from training samples “ Codebook (encoder)“, This codebook can achieve better recognition ability and invariance .
Use PCA Reduce the dimension of face coding to get a More compact descriptors , The normalization mechanism after principal component analysis can improve the recognition ability of descriptors .
Learning based descriptors , It is a simple and compact , A feature description method that is easy to extract and has high recognition ability
Method flow Overview
- Extract the facial calibration point through the standard reference point detector .
- Based on the calibration point , Take out the nine areas of the face ( nose , mouth …) also alignment .
- Pass each sub area through DoG The filter removes the low-frequency and high-frequency illumination components .
- For each sub region image , Each pixel gets a low-level eigenvector ( Such as SIFT?) And use LE The codebook encodes it . Get the coding diagram of the sub region ( The new eigenvector ).
- For sub region eigenvectors , Calculate the block histogram and connect it into a large histogram ( If divided into 2*2 block ). Proceed again PCA Dimensionality reduction and normalization , That is, the compact LE Narrator .
- To input face pairs , Calculate... For each corresponding sub region LE Between descriptors L2 distance , To characterize the similarity between sub regions .
- The similarity between the nine corresponding sub regions is grouped into sub region similarity vectors . Feed in attitude adaptive classifier —— It consists of a series of specific pose classifiers .
- Find out the best pose combination of the pair of input images to be matched , The final decision is made using the corresponding specific pose classifier .
LE Descriptor extraction
- Sampling and normalization
- On each pixel of the image , We sample the pixels around it , Form a low-level eigenvector .
- After sampling , We normalize the sampled eigenvectors to unit length . combination DoG The normalization makes the feature vector invariant to the local photometric affine change .
- LE Coding and histogram description
- application LE After normalization of codebook pair Eigenvector ( Whole face ) Encoding , Get the discrete coded value .
- The codebook uses Face images are obtained by unsupervised learning training .
- random-tree and PCA tree The standard recursive segmentation of data based on uniform coding , That is, each leaf of the tree gets the same number of vectors . That is to say, all quantized coding values have similar frequency in the vector space .
- Get the whole face “LE Encoding images ” after , take “ Images (84*96)” Divided into 5*7. Each block is calculated LE Encoded histogram , And will 35 The blocks are connected to form Description of the whole face .
- PCA Dimension reduction
- If the connected histogram is directly used as the final descriptor , Will make the face feature dimension too high , Reduce recognition speed . application PCA Compress connected histograms , The compressed descriptor is called LE Narrator .
- Sampling and normalization
Dense facial landmarks with multiple scales are extracted 100K LBP The descriptor , And in PCA Then the joint Bayes is used for verification
LBP(Local Binary Patterns , Local binary mode ) It is a simple theory 、 Compute efficient nonparametric local texture feature descriptors .
LBP The advantages of
- Low computational complexity ;
- No training is required ;
- Illumination invariance ;
- Easy to implement in engineering .
The original LBP Narrator
Each neighborhood pixel value of the central pixel is binary quantized with the gray value of the central pixel as the threshold , Pixel values greater than or equal to the center pixel are encoded as 1, Less than, the code is 0, To form a local binary pattern .
Set the binary mode as x The positive axis direction is the starting point according to counter-clockwise direction Concatenate to get a string of binary digits , Each pixel in the central pixel image can be uniquely identified by the decimal number corresponding to the binary number, and a local binary pattern can be calculated .
L B P P , R = ∑ P = 1 P − 1 s ( g p − g c ) 2 P , s ( x ) = { 1 if x >= Center threshold 0 if x< Center threshold LBP_{P,R}=\sum_{P=1}^{P-1}s(g_p-g_c)2^P,s(x)=\begin{cases}1 &\text{if x >= Center threshold }\\0 &\text{if x< Center threshold }\end{cases} LBPP,R=P=1∑P−1s(gp−gc)2P,s(x)={ 10if x >= Center threshold if x< Center threshold
For an image , To get it LBP describe , The image needs to be divided into several sub areas first , For each sub region, the... Of the sub region is obtained according to the above process LBP code , Then the histogram of the sub region can be obtained , The histogram is used as the LBP describe . Last , Combine the histograms of all sub regions , Then we get the LBP describe . The general process is shown in the figure below :
LBP improvement
For larger structures , In a small 3*3 In the neighborhood , Basic LBP The operator can not meet the needs of different size and frequency textures .
LBP Operators are extended to neighborhoods of different sizes , take 3*3 Neighborhood extended to any neighborhood , And replace square neighborhood with circular neighborhood .
By bilinear interpolation , Improved LBP The operator is allowed to have a radius of R There are any number of sampling points in the circular neighborhood of .
(P,R) It means that when the radius is R On the circle , sampling P A neighborhood formed by points .
-

-
- LBP Of r,p No rotation invariance , To improve the practicability of a feature descriptor , It is necessary to enhance the robustness to image rotation changes , - overall situation LBP The dimension of the histogram vector increases with p An exponential increase , Soon it was limited by computing and storage . - > Solution : Innovatively put forward rotation invariance (rotation invariant)LBP Pattern and uniformity (uniform)LBP Pattern , And the combination of the two makes the rotation invariable and uniform LBP Pattern .The rotation doesn't change LBP Narrator
- Yes LBP operator , The minimum decimal value obtained by circular cyclic shift is used as the LBP value .
uniform LBP Narrator
- Primitive at the same scale LBP Of r,p In the pattern , Some patterns appear significantly more frequently than others , Therefore, it is reasonable to think that patterns with high probability of occurrence contain more local texture information , In a sense, they reflect the basic local patterns in texture images .
- Use all LBP Of r,p Some subsets of patterns to describe texture image features , Put forward the so-called uniform LBP operator .
- One LBP Patterns are called uniform patterns , It means U The value is not greater than 2.U Value representation LBP Of two adjacent binary values on the circumference of a pattern 0/1( or 1/0) Number of transfers .
- U Value reflects a uniformity measure of local texture structure ,U A higher value indicates that the structure tends to be uneven , The frequency of change is higher ,U The smaller the value, the opposite is true , And a lot of information in the image is concentrated in the low frequency , Therefore, it is reasonable to think that there are more uniform modes than non-uniform modes .
- A typical uniform pattern
Intensive computation in scale and space 1.7M Of SIFT The descriptor , Will be dense SIFT The feature code is Fisher vector , And learn linear projection to reduce dimension distinctively
combination 1.2M CMD and SLBP The descriptor , Learning sparse Markov metric for face verification .
Markov distance
It can be regarded as a correction of Euclidean distance , Fixed the problem of inconsistent and related dimensions in Euclidean distance .
Mahalanobis distance is easy to understand , You just need to set the variable as The principal components are rotated , Let the dimensions interact with each other Independent , And then Standardization , Let dimension Homodistribution Just OK 了
Because the principal component is the direction of the eigenvector , The variance of each direction is the corresponding eigenvalue , So just rotate in the direction of the eigenvector , Then scale the eigenvalue times
Mahalanobis distance of a single data point
- D M ( x ) = ( x − μ ) T Σ − 1 ( x − μ ) D_M(x)=\sqrt{(x-\mu)^T\varSigma^{-1}(x-\mu)} DM(x)=(x−μ)TΣ−1(x−μ)
The data points x, y Mahalanobis distance between
- D M ( x , y ) = ( x − y ) T Σ − 1 ( x − y ) D_M(x,y)=\sqrt{(x-y)^T\varSigma^{-1}(x-y)} DM(x,y)=(x−y)TΣ−1(x−y)
among Σ Is the covariance matrix of multidimensional random variables ,μ Is the sample mean , If the covariance matrix is a unit vector , That is, each dimension is independent and identically distributed , Mahalanobis distance becomes Euclidean distance .

> > > > > > - The problem of Mahalanobis distance > > - Covariance matrix must be full rank > - There is the process of finding the inverse matrix , I can't , The data is required to have two eigenvalues of the original dimension , If not, consider doing it first PCA, In this case PCA No loss of information > - Can't handle nonlinear manifolds (manifold) On the problem > - Only valid for linear spaces , If you want to deal with manifolds , Can only be defined locally , It can be used to build KNN chart > > - > [ Markov distance (Mahalanobis Distance) - You know (zhihu.com)](https://zhuanlan.zhihu.com/p/46626607)Deep model has been used in face verification or recognition
- use Siamese network Conduct in-depth measurement learning .Siamese network Features are extracted from two comparison inputs with the same subnetwork , Consider the distance between the outputs of the two subnetworks as different .
- Siamese network Namely “ The connected neural network ”, Neural network “ Conjoined ” It's through The weights of Shared To achieve , As shown in the figure below :
- Siamese network Namely “ The connected neural network ”, Neural network “ Conjoined ” It's through The weights of Shared To achieve , As shown in the figure below :
- Measure the similarity between two inputs . The twin neural network has two inputs (Input1 and Input2), Put two inputs feed Enter two neural networks (Network1 and Network2), These two neural networks are respectively Map the input to the new space ,** Form a representation of input in a new space .** adopt Loss The calculation of , Evaluate the similarity of two inputs .
- Use CDBNs Generate learning features , And then use ITML And linear support vector machine for face verification
- Use multiple depths ConvNet Learn advanced facial similarity features , And training classification RBM Face verification
- use Siamese network Conduct in-depth measurement learning .Siamese network Features are extracted from two comparison inputs with the same subnetwork , Consider the distance between the outputs of the two subnetworks as different .

ROC curve .DeepID The learning method is LFW For optimal performance . The first four best ways are to use dense facial landmarks , In this algorithm Only five points are weakly aligned
LFW Data sets
LFW (Labled Faces in the Wild) Data sets : Is currently the Face recognition Common test sets for , The face image provided in it They all come from natural scenes in life , Therefore, it will be more difficult to identify , Especially due to multi posture 、 light 、 expression 、 Age 、 Due to the influence of occlusion and other factors, even the photos of the same person are very different .
- When there are more than one person in a photo : For these multi face images Only the face with the central coordinate is selected as the target , Other areas are considered as Background interference .
LFW Data set co ownership 13233 Face images , Each image gives the corresponding person's name , share 5749 people , And most people have only one picture .
The size of each picture is 250*250, Most of them are color images , But there are also a few black and white face pictures .
LFW The database is mainly Collect images from the Internet , Not the lab
Official website :http://vis-www.cs.umass.edu/lfw/
The two most authoritative face recognition databases in the world FDDB(Face Detection Data Set and Benchmark) and LFW(Labeled Faces in the Wild Home), Two basic problems in face recognition are discussed : Detection and identification , Detailed test requirements and scoring standards are given .
LFW The data set mainly tests the accuracy of face recognition , The database was randomly selected 6000 The face recognition image pair is composed of face recognition , among 3000 Yes, it belongs to the same person 2 A picture of a face ,3000 To different people, everyone 1 A picture of a face . Testing process LFW Give a pair of photos , Ask whether the two photos of the system under test are the same person , The system gives “ yes ” or “ no ” The answer . adopt 6000 The face recognition accuracy can be obtained by the ratio of the system answer to the real answer of the face test results .
- Any system can do this 6000 Group samples Make targeted optimization , So as to achieve the effect of high scores .
FDDB The data set mainly tests the accuracy of face detection , Face recognition algorithm needs to detect face on each image in the dataset , The position of the detected face is calibrated . Then, according to the correct answers given by the data set itself, the number of correctly detected faces and the number of false detected faces are calculated to judge the quality of the face detection algorithm .
Even in FDDB And LFW The database will brush the recognition rate to full marks , Nor can it be proved that the face recognition technology can be used in practical application scenarios , Differences between actual application scenarios and database data , It's like the difference between fighting on paper and fighting ;
LFW And FDDB It is a test of the nature of the question bank , The main function is to test whether a system can achieve basic face recognition ability .
DeepID The basic idea
ConvNets Learn to train all available faces according to their identities classification , The last hidden layer neuron is activated as a feature, that is, the deep hidden feature DeepID
- The last hidden layer is activated as a feature , Instead of classifier output . stay CONVNET in , Number of neurons in the last hidden layer Far less than The number of neurons in the output layer , This forces the last hidden layer Learn the shared hidden representation of different faces , In order to classify all faces well , In order to gain Highly differentiated and compact features with good generalization ability .
Every ConvNet Take a patch as input , And extract local low-level features at the bottom
With the feature extraction cascading , The number of features is decreasing , At the same time, more global and advanced features are gradually formed at the top level .
Highly compact 160 dimension DeepID yes Obtained at the end of the cascade , Contains a wealth of identity information , And directly predict larger quantities ( for example 10000) Identity class .
- It is much more difficult to predict the training samples to one of the multiple categories than to perform binary classification ( Many to one is more difficult than one to one ). This challenging task can make full use of the super learning ability of neural network to extract the effective features of face recognition .
- Implicitly convnet Added a powerful regularization , This helps Form a shared hide Express , All identities can be well classified . Advanced features learned Good generalization ability , And not too suitable for training a small part of the face .
- take DeepID Limit to identity categories that are significantly less than they predict , This is the key to learning highly compact and distinctive features .
- Further, we will extract from different face regions DeepID Connect , Form complementary 、 Super complete representation . The learned features can be well extended to the new identity in the test , This is not seen in training , And it can easily work with any of the most advanced face classifiers ( Such as , United Bayes ) Integration for face verification .
Joint Bayesian( United Bayes ) classifier
Face Verification, Judge whether two faces are the same person .(Joint Bayesian The purpose of the classifier )
Face Identification, Find the identity corresponding to the given face from a face database .
The sum of two independent Gaussian variables is used to represent the extracted facial features x( After subtracting the average ) .x=μ+ ε
- μ~N(0,S[μ]) Represents the change of Gaussian distribution between faces
- ε~N(0,S[ε]) Represents the change of Gaussian distribution within an individual
- Sµ and Sε Can pass EM Algorithms learn from data
The joint Bayesian model gives the hypothesis that two faces vary within or outside the individual P(x1,x2 | HI) and P(x1,x2 | HE) Joint probability under .
- These two probabilities are also Gaussian distributions that vary with time
Bayesian decision theory
Bayesian decision theory (Bayesian decision theory) It is the basic method of implementing decision under the probability framework . It is decision theory Decision theory + probability theory Probability theory The combination of
This paper discusses how to make the optimal decision in the uncertain environment , In the ideal case where all the relevant probabilities are known , Bayesian decision theory considers How to choose the best category marker based on these probabilities and misjudgment loss ( Probability knowledge + An understanding of the loss of decision making → Optimal decision ).
Suppose there is N Possible category markers , y = { c 1 , c 2 , ⋯ , c n } y=\{c_1,c_2,\cdots,c_n\} y={ c1,c2,⋯,cn}, λ ( i j ) \lambda_(ij) λ(ij) It's marking a reality as c j c_j cj The sample error of is classified as c i c_i ci The loss caused . Based on a posteriori probability P ( c i ∣ x ) P(c_i|x) P(ci∣x) Samples can be obtained x Classified as c i c_i ci The expected loss incurred (expected loss), In the sample x Upper “ Conditional risk ”(condition risk)
- R ( c i ∣ x ) = ∑ i = 1 n λ i j P ( c j ∣ x ) R(c_i|x)=\sum_{i=1}^n\lambda_{ij}P(c_j|x) R(ci∣x)=i=1∑nλijP(cj∣x)
Our task is to find a criterion h : X * Y h:X\longrightarrow Y h:X*Y With Minimize the overall risk ( That is, the expectation of conditional risk on all samples )
R ( h ) = E x [ R ( h ( x ) ∣ x ) ] R(h)=E_x[R(h(x)|x)] R(h)=Ex[R(h(x)∣x)]
obviously , For each sample x, if h Can minimize conditional risk R ( h ( x ) ∣ x ) R(h(x)|x) R(h(x)∣x), Then the overall risk R ( h ) R(h) R(h) Will also be minimized . This produces Bayesian criteria (Bayes decision rule): To minimize the overall risk , Just select the one on each sample that makes the conditional risk R ( c ∣ x ) R(c|x) R(c∣x) The smallest category mark
- h ∗ ( x ) = a r g m i n c ∈ y R ( c ∣ x ) h^*(x)=argmin_{c\in y}R(c|x) h∗(x)=argminc∈yR(c∣x)
here , h ∗ ( x ) h^*(x) h∗(x) be called Bias optimal classifier (Bayes optimal classifier), The overall risk corresponding to it R ( h ∗ ) R(h_*) R(h∗) be called Bayesian risk (Bayes risk). 1 − R ( h ∗ ) 1-R(h^*) 1−R(h∗) Reflects The best performance the classifier can achieve , That is, the theoretical upper limit of the model accuracy that can be generated by machine learning .
We want to use Bayesian criteria to minimize decision risk , First, get Posterior probability P(c|x). However , This is usually difficult to get directly in real tasks . What machine learning needs to achieve is to estimate the posterior probability as accurately as possible based on the limited training sample set P(c|x).
The classification problem is divided into two stages : infer inference Phases and decisions decision Stage
typora Formula editor typora Common mathematical formula editing syntax - Wreng - Blog Garden (cnblogs.com)
Bayesian classifier for machine learning - You know (zhihu.com)
DeepID Feature extraction algorithm flow
First , Subtract some from the input face face patches
Then put these patch Input Different parameters of the same structure ConvNet Extract from 160 dimension DeepID features
Put these DeepID features concate That's the face feature 了
We need to pay attention to the following points
- Not a whole face as input , The input is some of the matting on the face patch;
- Every patch There is a single one ConvNet Extract the corresponding child DeepID features ;
- DeepID It is characterized by The last hidden layer extraction , Not the output layer , that 10000 Output layer of nodes , It's only in training ;
- Multiple patch Of DeepID concate Become the feature of the whole face , So the last face The feature length is 160 multiply patch The number of , Not just 160 dimension .
DeepID Network structure
- It accepts 39×31×1 Input and predict n individual ( for example ,n=10000) Identity class . When the input size changes , The height and width of the map in the following layers will change accordingly .
- DeepID The dimension of the layer is fixed to 160, The dimension of the output layer changes according to the predicted number of classes .
- common 5 Layer of the network , The more you go back, the fewer neurons you have , In the end, there is only 160 Neuron output , above Face patches Is the aligned face block , in other words Left ( Right ) Eye centered face block , A face block centered on the corners of the mouth wait
- It contains four convolution layers ( Has the largest pool ), Used for hierarchical feature extraction , Then it's completely connected DeepID The layer and the softmax Output layer .
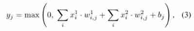
- DeepID Of The last hidden layer is fully connected to the third and fourth convolution layers ( stay maxpooling after ), So it can see multi-scale features ( The features in the fourth convolution layer are more global than those in the third ).
- Because after continuous down sampling along the cascade , The fourth convolution contains too few neurons , Become the bottleneck of information dissemination .
- In the third volume ( It's called skip layer ) Adding a bypass connection to the last hidden layer can reduce the possible information loss in the fourth volume layer .
- The latter hidden layer accepts this function
- among x1、w1、x2、w2 Represent neurons and weights in the third and fourth convolution layers, respectively . It linearly combines the features of the first two convolutions , And then there was ReLU nonlinear .
- ConvNet The output is a n road softmax, Used to predict n Probability distribution of different identities .
- In this way, several different input blocks are input to CNN in , A set of Max pooling layer3+Conv layer4 As a feature ( Different levels of feature abstraction are different ).
The input image

Each face will be extracted 3 individual Scale( Zoom scale ) Of 10 individual patch( With the nose , The left eye , Right eye , Left corner of mouth , The right corner of the mouth is the center ), then Color map plus grayscale map , add Flip horizontal The number has doubled , Is the total 3scale*10patch*2type*2flip=120 Input pictures are sent to 60 individual Conv Net( Horizontal flip and original , Use the same Conv Net), A total of 120x160=19200 dimension Eigenvector of , As the final entry of this face Combine Bayes to do classification or verification Characteristics of .
- Two of these four centered around the corners of the mouth and two eyeballs patch, Do not turn over , Use their symmetry directly patch The most characteristic of their flip chart .
The input characteristics are divided into 60 A set of , Each group contains 640 Features , These features are derived from having a specific ConvNet Specific patch pairs of . Features in the same group are highly correlated . Neurons in the local connective layer are connected to only one set of features , Learn their local relationships , At the same time, the feature dimension is reduced .

The second hidden layer is fully connected to the first hidden layer , To learn the overall relationship .
Single output neurons are fully connected to the second hidden layer .
Hidden neurons are ReLUs, The output neurons are sigmoid.
Yes 38400 Input neurons , Each patch has 19200 individual deepID features , The next two hidden layers are 4800 Neurons , The first hidden layer every 80 Neurons are locally connected to 60 A group of input neurons .
feature extraction
The facial point detection method detects five facial signs , Includes two eye centers 、 Tip of nose and two corners of mouth
- According to the center of the two eyes and the midpoint of the two corners of the mouth , The face is globally aligned by similarity transformation .
- from 60 With 10 Regions 、3 A scale and RGB Or gray channel .
Trained 60 individual convnet, Every convnet Extract two from a specific patch and its horizontally flipped counterpart 160 dimension DeepID vector .
DeepID The total length of is 19200(160×2×60), It can be used for final face verification .
The training sample
- LFW contain 5749 people , But only 85 People have more than 15 A picture ,4069 People have only one picture . It is not enough to train an identity classifier with only a few images for each person . We are CelebFaces Train our model , And in LFW Test on
- CelebFaces Contains... From the Internet 5436 A celebrity 87628 A picture of the face , About per capita 16 Zhang .
- from CelebFaces Choose... At random 80%(4349) People learn DeepID, And use the remaining 20% People learn face verification model ( Joint Bayesian or neural networks ).
- For feature learning ,CONVNET To be supervised to make a comparison between certain types of face pieces and lip shaped face pieces at the same time 4349 People are classified . Randomly select the of each trainer 10% Image to generate validation data . After each training phase , Choose the model that provides the lowest error rate .
Multiscale networks
Layer the third volume ( After maximum pooling ) The neurons in connect directly to the last hidden layer (DeepID layer ) The effectiveness of the , In this way, the characteristics of the third and fourth convolution layers can be seen at the same time , Form the so-called multi-scale convnet.

stay 60 Training on different patches 60 individual CONVnet Error rate .
The blue and red marks show the traditional CONVNET( No skip layer ) And multiscale CONVNET Error rate .
model training
Objective function
- Training Conv Net Use 10000 Classified Cross entropy The most objective function .
- Due to differences in data distribution , fit CelebFaces+ The model of LFW The generalization capabilities on the may be different
- A practical transfer learning algorithm is proposed , Adjust the joint Bayesian model from the source domain to the target domain .
- use CelebFaces+ Of 1477 People as source domain data , Use LFW Nine of the ten folders are used as the target domain data of joint Bayesian transfer learning , Implemented their algorithm , Also on LFW Ten fold cross validation .
- Joint Bayesian algorithm for deep feature transfer learning in LFW Up to 97.45% Test accuracy of , And human 97.53% The level of performance is comparable .
- Training Conv Net Use 10000 Classified Cross entropy The most objective function .
- To illustrate how the algorithm will benefit from more training data , take CelebFaces The data set is expanded to CelebFaces+, It includes 10177 A celebrity 202599 Face images .
- 8700 Human training DeepID,1477 Human training Joint Bayesian classifier
- Segmented patch( That's the data above ) The number is 100, Five different scale
- The final vector length of each image is 32000, Use PCA Dimensionality reduction 150
- The result processing : One 32000 Dimensional DeepID Eigenvector , And then through PCA Bring it down to 150 dimension .
- 150 A joint Bayesian algorithm for learning on dimensional eigenvectors is presented LFW Up to 97.20% Test accuracy of .
The experimental conclusion
- Use Multi-scale patches Of ConvNet It's better than just using a whole face patch The effect is better ;
- If only DeepID The last layer of neural networks Softmax Layers are represented as features , The effect is very poor ;
- With DeepID The growth of the training set ,DeepID Its classification accuracy and LFW The correct rate of verification is increasing .
- When the identity category is doubled , Both joint Bayesian and neural networks improve the verification accuracy linearly .
- When the identity category changes from 136 Add to 4349 when , The accuracy of joint Bayesian network and neural network is increased respectively 10.13% and 8.42%, perhaps , When the identity category is doubled , The average accuracy is increased by 2.03% and 1.68%.
- DeepID Its classification error rate is 40% To 60% Between the shock , Although higher , but DeepID It's used to learn characteristics , You don't need to pay attention to your classification error rate ;
- convnet You can learn from classifying each identity , Form a shared hidden representation , Thus, all identities can be well classified .
- More identity classes help you learn better about hidden representations , Without increasing the feature length ( compact ) To distinguish more people ( Distinctiveness ).
- ConvNet Learning classification 136、272、544、1087、2175 and 4349 Class 1 Validation set error rate .
- For joint Bayesian networks and neural networks , Compared with the best single patch , Combine 60 Each patch can be improved 4.53% and 5.27% The accuracy of the .
- from 1、5、15、30 and 60 Features extracted from patches are tested by joint Bayes ( Red thread ) And neural networks ( The blue line ) The accuracy of the . Performance improves as more features are added . Joint Bayesian average is better than neural network 1.8%
At the end of the article, I explore
- Using Gaussian process and multi-source training set LFW The accuracy of is 98.52%, Even higher than human performance . This may be because Nonparametric Bayesian kernel method can make model complexity adapt to data distribution . Gaussian processes can also be modeled by deep learning . This may be another interesting direction for future exploration .
Practice classification 136、272、544、1087、2175 and 4349 Class 1 Validation set error rate .
- For joint Bayesian networks and neural networks , Compared with the best single patch , Combine 60 Each patch can be improved 4.53% and 5.27% The accuracy of the .
- [ Outside the chain picture transfer in …(img-7QagUGol-1640487130292)]
- from 1、5、15、30 and 60 Features extracted from patches are tested by joint Bayes ( Red thread ) And neural networks ( The blue line ) The accuracy of the . Performance improves as more features are added . Joint Bayesian average is better than neural network 1.8%
At the end of the article, I explore
- Using Gaussian process and multi-source training set LFW The accuracy of is 98.52%, Even higher than human performance . This may be because Nonparametric Bayesian kernel method can make model complexity adapt to data distribution . Gaussian processes can also be modeled by deep learning . This may be another interesting direction for future exploration .
边栏推荐
- [single chip microcomputer] single timer in front and back platform program framework to realize multi delay tasks
- Paper reading - joint beat and downbeat tracking with recurrent neural networks
- 在IDEA使用C3P0连接池连接SQL数据库后却不能显示数据库内容
- Mean Value Coordinates
- Superficial understanding of conditional random fields
- redis 多个服务器共用一个
- 【Unity】打包WebGL项目遇到的问题及解决记录
- Parameter measurement method of brushless motor
- Resource arrangement
- 拍拍贷母公司信也季报图解:营收24亿 净利5.3亿同比降10%
猜你喜欢

Huawei equipment is configured with IP and virtual private network hybrid FRR

Huffman tree and its application
![[learning notes] xr872 GUI littlevgl 8.0 migration (file system)](/img/9b/0bf88354e8cfdbcc1ea91311c9a823.jpg)
[learning notes] xr872 GUI littlevgl 8.0 migration (file system)

What are the differences in cache/tlb?

I didn't expect that the index occupies several times as much space as the data MySQL queries the space occupied by each table in the database, and the space occupied by data and indexes. It is used i

Port mapping between two computers on different LANs (anydesk)

Bai ruikai Electronic sprint Scientific Innovation Board: proposed to raise 360 million Funds, Mr. And Mrs. Wang binhua as the main Shareholder

Sensor: MQ-5 gas module measures the gas value (code attached at the bottom)

拍拍贷母公司信也季报图解:营收24亿 净利5.3亿同比降10%

STM32 sensorless brushless motor drive
随机推荐
Huawei equipment is configured with dual reflectors to optimize the backbone layer of the virtual private network
柏瑞凱電子沖刺科創板:擬募資3.6億 汪斌華夫婦為大股東
Flow chart of interrupt process
Thesis reading - autovc: zero shot voice style transfer with only autoencoder loss
Chapter7-13_ Dialogue State Tracking (as Question Answering)
Configuring virtual private network FRR for Huawei equipment
柏瑞凯电子冲刺科创板:拟募资3.6亿 汪斌华夫妇为大股东
Cumulative tax law: calculate how much tax you have paid in a year
Introduction to armv8/armv9 - learning this article is enough
Hstack, vstack and dstack in numpy
AutoX. JS invitation code
0- blog notes guide directory (all)
ROS learning-6 detailed explanation of publisher programming syntax
Basic principle of bilateral filtering
How to do Internet for small enterprises
【 unity】 Problems Encountered in Packaging webgl Project and their resolution Records
The precision of C language printf output floating point numbers
Easydl related documents and codes
Armv8-m (Cortex-M) TrustZone summary and introduction
Chapter7-12_ Controllable Chatbot











