当前位置:网站首页>Onnxruntime [reasoning framework, which users can easily use to run an onnx model]
Onnxruntime [reasoning framework, which users can easily use to run an onnx model]
2022-07-27 13:52:00 【u013250861】
ONNXRuntime It is a reasoning framework launched by Microsoft , Users can easily use it to run a onnx Model .ONNXRuntime Support a variety of running backend, including CPU,GPU,TensorRT,DML etc. . so to speak ONNXRuntime It's right ONNX The most native support of the model .
Although we use ONNX It is more as an intermediate expression , from pytorch go to onnx Feed directly to TensorRT or MNN And other back-end frameworks = =, But this cannot be denied ONNXRuntime Is a very good reasoning framework ( From Microsoft , It must be a boutique. ).
And because it only contains reasoning function (1.2 edition , Abreast of the times ONNXRuntime You can even train , It can be seen that Microsoft still has some ambitions ), Compared with the mainstream framework source code, it seems not so complicated , By reading its source code, you can clearly understand some core functions and principles of the deep learning framework (op register , memory management , Operation logic, etc ).
The next series of articles try to ONNXRuntime Source code for reading and learning , It is very helpful to understand the working principle of the deep learning framework .
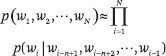
ONNXRuntime Overall overview
OnnxRunTime Deployment process of
边栏推荐
- SQL tutorial: introduction to SQL aggregate functions
- [daily question] 1206. Design jump table
- [2023 Fudan Microelectronics written examination questions in advance] ~ questions and reference answers
- The most complete collection of strategies! Super AI painting tool midjourney open beta! Come and build your fantasy metauniverse
- Thinkphp+ pagoda operation environment realizes scheduled tasks
- Swiftui map encyclopedia use mapkit to search
- 【C进阶】指针数组 VS 数组指针
- ONNXRuntime【推理框架,用户可以非常便利的用其运行一个onnx模型】
- for .. of可用于哪些数据的遍历
- Fifth, download the PC terminal of personality and solve the problem of being unable to open it
猜你喜欢

NoSQL —— NoSQL 三大理论基石 —— CAP —— BASE—— 最终一致性

建议收藏,PMP应战篇(2)之易混淆知识点

Training in the second week of summer vacation on July 24, 2022

Fiddler抓包工具+夜神模拟器

NoSQL -- three theoretical cornerstones of NoSQL -- cap -- Base -- final consistency

Zoom, translation and rotation of OpenCV image

English grammar_ Personal pronoun

Li Hang, director of ByteDance AI Lab: past, present and future of language model

Keras深度学习实战——推荐系统数据编码

小程序毕设作品之微信校园洗衣小程序毕业设计成品(3)后台功能
随机推荐
图像特征及提取
特征工程中的缩放和编码的方法总结
Common types of electric slip rings
将目标检测大尺寸图片裁剪成固定尺寸图片
【LeetCode】592. 分数加减运算
[leetcode] 592. Fraction addition and subtraction
小程序毕设作品之微信校园洗衣小程序毕业设计成品(7)中期检查报告
SNMP (Simple Network Management Protocol)
Vertical and horizontal shooting range - the mystery of the picture
Using ebpf to detect rootkit vulnerabilities
不需要标注数据的语义分割!ETH&鲁汶大学提出MaskDistill,用Transformer来进行无监督语义分割,SOTA!...
2、Citrix Virtual Apps and Desktops 2203剪贴板重定向策略
Oppo self-developed large-scale knowledge map and its application in digital intelligence engineering
Construction and application of industrial knowledge atlas (3): commodity knowledge fusion
汇量科技app出海好地:火了十几年,美国凭什么还是出海首选淘金地
我们要学会查看技术细节点的文档化说明
Conditions and procedures of futures account opening
English grammar_ Personal pronoun
opencv图像的缩放平移及旋转
Product manager experience 100 (XI) - Strategic Product Manager: model and methodology