当前位置:网站首页>7_ Principal component analysis
7_ Principal component analysis
2022-07-27 00:24:00 【Acowardintheworld】
7_ Principal component analysis (Principal Component Analysis)
Usually the textbook will use a lot of mathematical concepts to explain PCA, In this course , We will find another way , Get around the heavy math concepts , Sister method using gradient descent : Gradient rise method to solve PCA problem , And then understand PCA The basic principle of , How to use PCA Reduce the dimension of data . We'll also give you more PCA Application scenarios of , It's not just for you to practice PCA The power of dimension reduction , Let's see PCA Noise reduction , Face recognition, etc …
7-1 What is? PCA







- First step : Classify the average value of the sample as 0(demean)






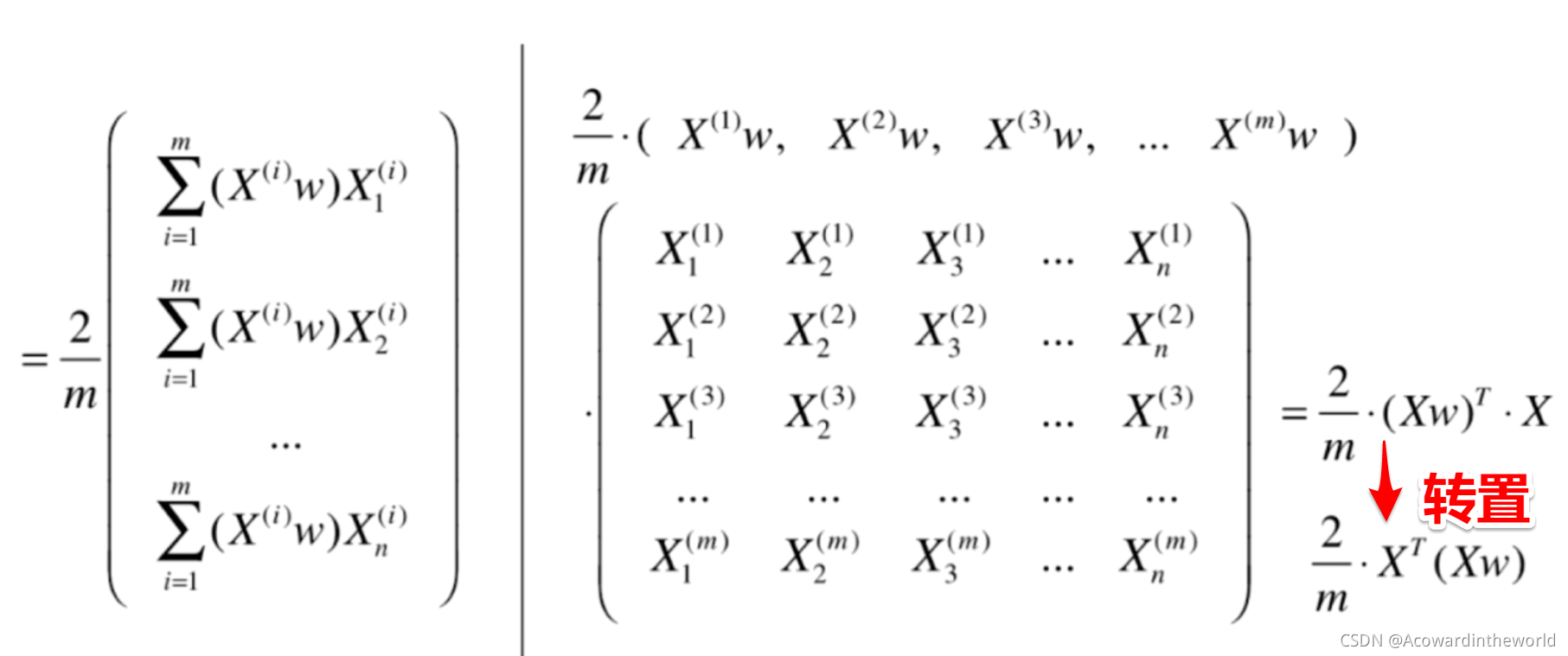
7-2 Using gradient rise method to solve PCA problem




7-3 Find the main components of the data PCA
7-4 Before data n A principal component




7-5 High dimensional data is mapped to low dimensional data


7-6 scikit-learn Medium PCA
7-7 Try your hand MNIST Data sets
7-8 About MNIST The latest way to obtain data sets
7-9 Use PCA Noise reduction of data
7-10 Face recognition and feature face

边栏推荐
- uni-app学习(二)
- Lt9611ux Mipi to HDMI 2.0 dual port with audio
- Database: MySQL foundation +crud basic operation
- 信号与系统学习零输入响应
- Go exceed API source code reading (IV) -- save (), SaveAs (name string)
- Codeforces d.constructing the array (priority queue)
- Anaconda => PyCharm => CUDA => cudnn => PyTorch 环境配置
- 今日份20220719折腾deeplabcut
- LeetCode题目——数组篇
- Identity server4 authorization successful page Jump encountered an error: exception: correlation failed Solution of unknown location
猜你喜欢
随机推荐
卷积神经网络——LeNet(pytorch实现)
The basic operation of data tables in MySQL is very difficult. This experiment will take you through it from the beginning
PTA 7-4 small generation (DFS)
第7章 课程总结
Training team lpoj round10 d come minion!
Codeforces D. two divisors (number theory, linear sieve)
Dynamic memory management
Leetcode - hash table
Chapter 7 course summary
Deep learning of parameter adjustment skills
Database: MySQL foundation +crud basic operation
滑动窗口问题总结
RESNET paper interpretation and code implementation (pytorch)
Recent answers - column
Convolutional neural network -- lenet (pytorch Implementation)
Relationship between Unicode and UTF-8
Oracle remote connection configuration
4. Talk about the famous Zhang Zhengyou calibration method
类与对象笔记一
11_ Weather case - monitoring properties






![[Gorm] model relationship -hasone](/img/90/3069059ddd09dc538c10f76d659b08.png)


