当前位置:网站首页>Hands on deep learning -- Introduction to linear regression model
Hands on deep learning -- Introduction to linear regression model
2022-06-12 08:13:00 【Orange acridine 21】
About house price forecast
1、 A simplified model
hypothesis 1: The key factor affecting the house price is the number of bedrooms , Number of toilets and living area , Write it down as x1,x2,x3.
hypothesis 2: Weighted sum of the key factors of the transaction
y=w1x1+w2x2+w3x3+bquanzhong
The actual values of weights and deviations are determined later
2、 Linear model
- Given n Dimension input :

- The linear model has a n Weight and a scalar deviation :

- The output is the weighted sum of the inputs :

Vector version :y=<w,x+b
3、 The linear model can be regarded as a single-layer neural network

4、 Neural network comes from neuroscience
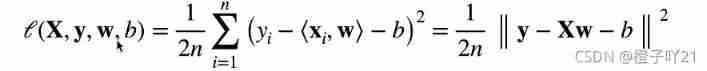
5、 Measure estimated quality
Compare the actual value with the estimated value , For example, the price and valuation of the house
hypothesis y Is the real value ,y^ It's an estimate , We can compare :

This is called the square loss .
6、 Training data
Collect some data points to determine parameter values ( Weight and bias ), For example, in the past 6 A house sold for months , This is called training data .
Usually the more data the better .
Suppose we youn Samples , remember :

7、 Parameter learning
Loss of training :( Loss function )

Minimize losses to learn parameters :

8、 Display solution
Add the deviation to the weight 

Loss is a convex function , So the optimal solution satisfies :

9、 summary :
- Linear regression is right n Weighting of dimension input , Plus bias
- Use the square loss to measure the difference between the predicted value and the real value
- Linear regression has an explicit solution
- Linear regression can be regarded as a single-layer neural network
边栏推荐
- qt. qpa. plugin: Could not load the Qt platform plugin “xcb“ in “***“
- OpenMP task 原理与实例
- HDLC protocol
- Vision Transformer | Arxiv 2205 - LiTv2: Fast Vision Transformers with HiLo Attention
- (P27-P32)可调用对象、可调用对象包装器、可调用对象绑定器
- MES系统是什么?MES系统的操作流程是怎样?
- vm虚拟机中使用NAT模式特别说明
- 如何理解APS系统的生产排程?
- C # push box
- (p27-p32) callable object, callable object wrapper, callable object binder
猜你喜欢

Mathematical Essays: Notes on the angle between vectors in high dimensional space

ctfshow web3

PPP agreement

Derivation of Poisson distribution

Alibaba cloud deploys VMware and reports an error

(P19-P20)委托构造函数(代理构造函数)和继承构造函数(使用using)

HDLC protocol

Vision Transformer | Arxiv 2205 - LiTv2: Fast Vision Transformers with HiLo Attention

(P36-P39)右值和右值引用、右值引用的作用以及使用、未定引用类型的推导、右值引用的传递

如何理解APS系统的生产排程?
随机推荐
(P17-P18)通过using定义基础类型和函数指针别名,使用using和typedef给模板定义别名
智能制造的时代,企业如何进行数字化转型
StrVec类 移动拷贝
Database connection pool and dbutils tool
Conda創建虛擬環境報錯,問題解决
Getting started with Jetson nano Series IV: common skills of NVIDIA Jetson nano
Asp Net project add log function
vscode 下载慢解决办法
PPP agreement
vm虛擬機中使用NAT模式特別說明
ASP.NET项目开发实战入门_项目六_错误报告(自己写项目时的疑难问题总结)
MinGW offline installation package (free, fool)
从AC5到AC6转型之路(1)——补救和准备
Vision Transformer | Arxiv 2205 - TRT-ViT 面向 TensorRT 的 Vision Transformer
DUF:Deep Video Super-Resolution Network Using Dynamic Upsampling Filters ... Reading notes
Mathematical knowledge - derivation - Basic derivation knowledge
(p27-p32) callable object, callable object wrapper, callable object binder
Detailed explanation of window refresh function in MFC
A brief summary of C language printf output integer formatter
FPGA generates 720p video clock