当前位置:网站首页>Gilbert Strang's course notes on linear algebra - Lesson 4
Gilbert Strang's course notes on linear algebra - Lesson 4
2022-06-30 08:17:00 【GiantOceanicMantaray】
The topic of lesson 4 is : Matrix LU decompose A = LU And The complexity of elimination operation
Matrix LU decompose
In the second lesson matrix elimination , We know A The process of elimination can be E Express ,A The result of elimination can be U Express
To convert to A = LU, hold E Just put it on the right
How to make E Let it go : take EA = U Multiply left by left
, Available ![]()
Look at the left side of the equation , It is known that
,
, that
, Succeed in getting A = LU In the form of
If there are more than one E How to put it : existing
, To turn the left into A, Can be A The former part tries to become I, That is, multiply left
,( because
)
have to
, Succeed in getting A = LU In the form of
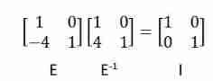
matrix LU Explode instance
Now let's review with examples , Add a little more
Suppose the existing matrix

The process of elimination is expressed as :

Now the E Put it on the right :![]()
So please E The inverse matrix :

With A = LU The form of is :

If the requirements are higher , We hope that the diagonal values of the diagonal matrix are 1, You can put U Split into :

So the equation becomes :

The complexity calculation of elimination
The knowledge about complexity needed here :
1. When the operation does not involve a loop , Whatever happens in the middle , The complexity is 1, such as a + b The complexity of 1,a x b + c So is the complexity of 1(a、b、c All are numerical values )
2. When the operation involves a loop , loop n The complexity of times is n; When a loop is nested in a loop , The complexity is n x n
Complexity knowledge complements : The time and space complexity of the algorithm ( A look at will understand ) - You know
Suppose you want to be right about N x N Of matrix A Conduct Elimination
Review the process of elimination :
1. Take the elements in the first row and the first column as the fulcrum , Fix the first line
2. The second line - first line * A coefficient , Eliminate the elements in the first column of the second row to 0; The third line - first line * A coefficient , Eliminate the elements in the first column of the third row to 0, The values below the fulcrum of the first column are all reduced to 0
3. Turn to the second line , Take the elements in the second row and the second column as the fulcrum , Fixed second row , Downward elimination , And so on
4. Finally, we get the upper triangular matrix U
At every ” The second line - first line * A coefficient ” In the process of , For each pair of elements in the two lines , Perform multiplication and subtraction
in other words loop N Time , Multiply and subtract two elements at a time
In the process of the first line's downward elimination , A total of N-1 This operation , The complexity is N(N-1)
In the process of the second line's downward elimination , Since the first element of each column at the beginning of the second row has been eliminated as 0 了 , Therefore, the elements of operations between rows are reduced to N-1 individual , And eliminate from the second line , To be implemented N-2 operations , So the complexity is N(N-2)
And so on
Yes A The complexity of the whole process of elimination = N(N-1) + (N-1)(N-2)...2*1
When N When a large , The formula approximates
Further approximation 
about Ax = b in Column b Conduct Elimination :
And A The elimination of is different , Every operation A Need to involve N Elements , and b It only needs to involve 1 individual
Then the first round of elimination needs to be carried out 1*(N-1) operations , The second round is 1*(N-2) operations , And so on
Yes b The complexity of the whole process of elimination = ![]()
边栏推荐
- 小心transmittable-thread-local的这个坑
- 【NVMe2.0b 14-5】Firmware Download/Commit command
- Construction of energy conservation supervision system for campus buildings of ankery University
- Dlib database face
- 1163 Dijkstra Sequence
- Deep learning - embedding matrix and learning word embedding andword2vec
- 一次cpu 跌底排查
- At the end of June, you can start to make preparations, otherwise you won't have a share in such a profitable industry
- Wechat official account third-party platform development, zero foundation entry. I want to teach you
- Deep learning - bounding box prediction
猜你喜欢

【NVMe2.0b 14-6】Format NVM、Keep Alive、Lockdown command

Deep learning -- using word embedding and word embedding features

Deep learning - goal orientation

Deep learning vocabulary representation

Redis设计与实现(五)| Sentinel哨兵

电流探头电路分析

增强for循环的增删操作 & 迭代器删除集合元素

【花雕体验】12 搭建ESP32C3之Arduino开发环境

How CRM & PM helps enterprises create optimal sales performance

F12 packet capture is used for the whole process analysis of postman interface test
随机推荐
MySQL quotation sentence is unlocked: algorithm=insert, lock=none
Introduction to opencv (II): image color space conversion and image saving
[notes] polygon mesh processing learning notes (10)
【NVMe2.0b 14-2】Create/Delete Queue
MySQL加索引语句不加锁:ALGORITHM=INPLACE, LOCK=NONE
Redis设计与实现(三)| 服务器与客户端的交互(事件IO模型)
Oracle expansion table space installed in docker
领域驱动下cloud项目中单个服务的示例
Game 280 problem2: minimum operands to turn an array into an alternating array
How to handle the expired data of redis and what are the elimination mechanisms?
[flower carving experience] 14 line blank board pingpong library test external sensor module (one)
Deep learning -- using word embedding and word embedding features
Sword finger offer II 076 The kth largest number in the array (use heap to solve TOPK problem)
Cesium learning notes (III) creating instances
Experiment 2 LED button PWM 2021/11/22
Qqquickpainteditem implements graffiti program drawing board
End-to-end 3D Point Cloud Instance Segmentation without Detection
Cesium learning notes (II) uploading data using rest API
mysql无法连接内网的数据库
An example of a single service in a cloud project driven by a domain