当前位置:网站首页>Hierarchical clustering and case analysis
Hierarchical clustering and case analysis
2022-06-27 15:59:00 【Changsha has fat fish】
Hierarchical clustering
Hierarchical clustering (Hierarchical Clustering) It is a kind of clustering algorithm , A hierarchical nested clustering tree is created by calculating the similarity between different data points . In the cluster tree , Different categories of raw data points are the lowest level of the tree , The top layer of the tree is the root node of a cluster . There are two methods to create a cluster tree: bottom-up merging and top-down splitting .
As a human resources manager of a company , You can organize all employees into larger clusters , Such as supervisor 、 Managers and staff ; Then you can further divide it into smaller clusters , for example , Employee clusters can be further divided into sub clusters : officer , General staff and interns . All these clusters form a hierarchy , It is easy to summarize or characterize data at all levels .
How to divide is appropriate ?
Intuitive to see , The data shown in the above figure is divided into 2 Clusters or 4 Each cluster is reasonable , even to the extent that , If the inside of each circle above contains a data set formed by a large amount of data , Then it may be divided into 16 Clusters are what you need .
On how many clusters a data set should be clustered into , It is usually a discussion about the scale at which we focus on this data set . One of the advantages of hierarchical clustering algorithm over partitioned clustering algorithm is that it can work on different scales ( level ) Show the clustering of the data set .
Hierarchical clustering algorithm (Hierarchical Clustering) It can be condensed (Agglomerative) Or split (Divisive), Depending on the level of division is “ Bottom up ” still “ The top-down ”.
Bottom up merging algorithm
The merging algorithm of hierarchical clustering calculates the similarity between two kinds of data points , Combine the two most similar data points among all data points , And iterate over and over again . To put it simply The merging algorithm of hierarchical clustering is to determine the similarity between data points of each category and all data points by calculating the distance between them , The smaller the distance , The higher the similarity . and Combine the two closest data points or categories , Generate a cluster tree .
The calculation of similarity
Hierarchical clustering uses Euclidean distance to calculate the distance between different categories of data points ( Similarity degree ).
example : The data points are as follows
Calculate the Euclidean distance value respectively ( matrix )
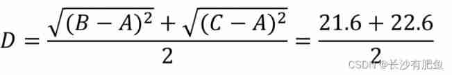
take The data points B And data points C After the combination , Recalculate the distance matrix between data points of each category . The distance between data points is calculated in the same way as before . What needs to be explained here is the combination of data points (B,C) Calculation method with other data points . When we calculate (B,C) To A At a distance of , It needs to be calculated separately B To A and C To A Mean distance of .
After calculating data points D To the data point E Is the smallest of all distance values , by 1.20. This means that in all current data points ( Contains composite data points ),D and E The most similar . So we put the data points D And data points E Are combined . And calculate the distance between other data points again .
The later work is to repeatedly calculate data points and data points , The distance between the data point and the combined data point . This step should be done by the program . Due to the small amount of data , We manually calculate and list the results of distance calculation and data point combination at each step .
The distance between two combined data points
There are three methods to calculate the distance between two combined data points , Respectively Single Linkage,Complete Linkage and Average Linkage. Before we start the calculation , Let's first introduce the three calculation methods and their advantages and disadvantages .
Single Linkage: The method is to take the distance between the nearest two data points in the two combined data points as the distance between the two combined data points . This method is susceptible to extreme values . Two very similar composite data points may be combined because one of the extreme data points is close to each other .
Complete Linkage:Complete Linkage The calculation method of is similar to that of Single Linkage contrary , The distance between the farthest two data points in the two combined data points is regarded as the distance between the two combined data points .Complete Linkage The problem with Single Linkage contrary , Two dissimilar composite data points may be unable to be combined due to the distance between their extreme values .
Average Linkage:Average Linkage The calculation method of this method is to calculate the distance between each data point in two combined data points and all other data points . Take the mean of all distances as the distance between two composite data points . This method needs a lot of calculation , But the results are more reasonable than the first two .
We use Average Linkage Calculate the distance between combined data points . The following is the calculation of combined data points (A,F) To (B,C) Distance of , Here we calculate (A,F) and (B,C) The mean distance between two .
Tree view
Hierarchical clustering python
import pandas as pd seeds_df = pd.read_csv('./datasets/seeds-less-rows.csv') seeds_df.head()
seeds_df.grain_variety.value_counts()Kama wheat 14 Rosa wheat 14 Canadian wheat 14 Name: grain_variety, dtype: int64varieties = list(seeds_df.pop('grain_variety')) samples = seeds_df.valuessamplesarray([[14.88 , 14.57 , 0.8811, 5.554 , 3.333 , 1.018 , 4.956 ], [14.69 , 14.49 , 0.8799, 5.563 , 3.259 , 3.586 , 5.219 ], [14.03 , 14.16 , 0.8796, 5.438 , 3.201 , 1.717 , 5.001 ], [13.99 , 13.83 , 0.9183, 5.119 , 3.383 , 5.234 , 4.781 ], [14.11 , 14.26 , 0.8722, 5.52 , 3.168 , 2.688 , 5.219 ], [13.02 , 13.76 , 0.8641, 5.395 , 3.026 , 3.373 , 4.825 ], [15.49 , 14.94 , 0.8724, 5.757 , 3.371 , 3.412 , 5.228 ], [16.2 , 15.27 , 0.8734, 5.826 , 3.464 , 2.823 , 5.527 ], [13.5 , 13.85 , 0.8852, 5.351 , 3.158 , 2.249 , 5.176 ], [15.36 , 14.76 , 0.8861, 5.701 , 3.393 , 1.367 , 5.132 ], [15.78 , 14.91 , 0.8923, 5.674 , 3.434 , 5.593 , 5.136 ], [14.46 , 14.35 , 0.8818, 5.388 , 3.377 , 2.802 , 5.044 ], [11.23 , 12.63 , 0.884 , 4.902 , 2.879 , 2.269 , 4.703 ], [14.34 , 14.37 , 0.8726, 5.63 , 3.19 , 1.313 , 5.15 ], [16.84 , 15.67 , 0.8623, 5.998 , 3.484 , 4.675 , 5.877 ], [17.32 , 15.91 , 0.8599, 6.064 , 3.403 , 3.824 , 5.922 ], [18.72 , 16.19 , 0.8977, 6.006 , 3.857 , 5.324 , 5.879 ], [18.88 , 16.26 , 0.8969, 6.084 , 3.764 , 1.649 , 6.109 ], [18.76 , 16.2 , 0.8984, 6.172 , 3.796 , 3.12 , 6.053 ], [19.31 , 16.59 , 0.8815, 6.341 , 3.81 , 3.477 , 6.238 ], [17.99 , 15.86 , 0.8992, 5.89 , 3.694 , 2.068 , 5.837 ], [18.85 , 16.17 , 0.9056, 6.152 , 3.806 , 2.843 , 6.2 ], [19.38 , 16.72 , 0.8716, 6.303 , 3.791 , 3.678 , 5.965 ], [18.96 , 16.2 , 0.9077, 6.051 , 3.897 , 4.334 , 5.75 ], [18.14 , 16.12 , 0.8772, 6.059 , 3.563 , 3.619 , 6.011 ], [18.65 , 16.41 , 0.8698, 6.285 , 3.594 , 4.391 , 6.102 ], [18.94 , 16.32 , 0.8942, 6.144 , 3.825 , 2.908 , 5.949 ], [17.36 , 15.76 , 0.8785, 6.145 , 3.574 , 3.526 , 5.971 ], [13.32 , 13.94 , 0.8613, 5.541 , 3.073 , 7.035 , 5.44 ], [11.43 , 13.13 , 0.8335, 5.176 , 2.719 , 2.221 , 5.132 ], [12.01 , 13.52 , 0.8249, 5.405 , 2.776 , 6.992 , 5.27 ], [11.34 , 12.87 , 0.8596, 5.053 , 2.849 , 3.347 , 5.003 ], [12.02 , 13.33 , 0.8503, 5.35 , 2.81 , 4.271 , 5.308 ], [12.44 , 13.59 , 0.8462, 5.319 , 2.897 , 4.924 , 5.27 ], [11.55 , 13.1 , 0.8455, 5.167 , 2.845 , 6.715 , 4.956 ], [11.26 , 13.01 , 0.8355, 5.186 , 2.71 , 5.335 , 5.092 ], [12.46 , 13.41 , 0.8706, 5.236 , 3.017 , 4.987 , 5.147 ], [11.81 , 13.45 , 0.8198, 5.413 , 2.716 , 4.898 , 5.352 ], [11.27 , 12.86 , 0.8563, 5.091 , 2.804 , 3.985 , 5.001 ], [12.79 , 13.53 , 0.8786, 5.224 , 3.054 , 5.483 , 4.958 ], [12.67 , 13.32 , 0.8977, 4.984 , 3.135 , 2.3 , 4.745 ], [11.23 , 12.88 , 0.8511, 5.14 , 2.795 , 4.325 , 5.003 ]])# Distance calculation linkage And the tree view dendrogram from scipy.cluster.hierarchy import linkage, dendrogram import matplotlib.pyplot as plt# Hierarchical clustering mergings = linkage(samples, method='complete')# Tree view results fig = plt.figure(figsize=(10,6)) dendrogram(mergings, labels=varieties, leaf_rotation=90, leaf_font_size=6, ) plt.show()
# Get the label result #maximum height Make it your own from scipy.cluster.hierarchy import fcluster labels = fcluster(mergings, 6, criterion='distance') df = pd.DataFrame({'labels': labels, 'varieties': varieties}) ct = pd.crosstab(df['labels'], df['varieties']) ct
The choice of different distances will produce different results
import pandas as pd scores_df = pd.read_csv('./datasets/eurovision-2016-televoting.csv', index_col=0) country_names = list(scores_df.index) scores_df.head()# Missing value fill , If you don't have one, you can count it by the full score scores_df = scores_df.fillna(12)# normalization from sklearn.preprocessing import normalize samples = normalize(scores_df.values)samplesarray([[0.09449112, 0.56694671, 0. , ..., 0. , 0.28347335, 0. ], [0.49319696, 0. , 0.16439899, ..., 0. , 0.41099747, 0. ], [0. , 0.49319696, 0.12329924, ..., 0. , 0.32879797, 0.16439899], ..., [0.32879797, 0.20549873, 0.24659848, ..., 0.49319696, 0.28769823, 0. ], [0.28769823, 0.16439899, 0. , ..., 0. , 0.49319696, 0. ], [0. , 0.24659848, 0. , ..., 0. , 0.20549873, 0.49319696]])from scipy.cluster.hierarchy import linkage, dendrogram import matplotlib.pyplot as plt mergings = linkage(samples, method='single') fig = plt.figure(figsize=(10,6)) dendrogram(mergings, labels=country_names, leaf_rotation=90, leaf_font_size=6, ) plt.show()
mergings = linkage(samples, method='complete') fig = plt.figure(figsize=(10,6)) dendrogram(mergings, labels=country_names, leaf_rotation=90, leaf_font_size=6, ) plt.show()
边栏推荐
- Introduce you to ldbc SNB, a powerful tool for database performance and scenario testing
- Sigkdd22 | graph generalization framework of graph neural network under the paradigm of "pre training, prompting and fine tuning"
- FPGA based analog I ² C protocol system design (with main code)
- 带你认识图数据库性能和场景测试利器LDBC SNB
- Pisa-Proxy 之 SQL 解析实践
- Centos8 PostgreSQL initialization error: initdb: error: invalid locale settings; check LANG and LC_* environment
- PSS:你距离NMS-free+提点只有两个卷积层 | 2021论文
- Beginner level Luogu 2 [branch structure] problem list solution
- 鴻蒙發力!HDD杭州站·線下沙龍邀您共建生態
- Mode setting of pulseaudio (21)
猜你喜欢

Redis系列2:数据持久化提高可用性

VS编译遇到的问题

Introduce you to ldbc SNB, a powerful tool for database performance and scenario testing
![洛谷_P1003 [NOIP2011 提高组] 铺地毯_暴力枚举](/img/65/413ac967cc8fc22f170c8c7ddaa106.png)
洛谷_P1003 [NOIP2011 提高组] 铺地毯_暴力枚举

Four characteristics of transactions

SQL parsing practice of Pisa proxy

E modulenotfounderror: no module named 'psychopg2' (resolved)

PSS:你距离NMS-free+提点只有两个卷积层 | 2021论文

Mobile terminal click penetration

Slow bear market, bit Store provides stable stacking products to help you cross the bull and bear
随机推荐
国家食品安全风险评估中心:不要盲目片面追捧标签为“零添加”“纯天然”食品
洛谷_P1007 独木桥_思维
[170] the PostgreSQL 10 field type is changed from string to integer, and the error column cannot be cast automatically to type integer is reported
专用发票和普通发票的区别
The role of the symbol @ in MySQL
Numerical extension of 27es6
16 -- remove invalid parentheses
List转Table
Design of direct spread spectrum communication system based on FPGA (with main code)
Design of electronic calculator system based on FPGA (with code)
Cesium uses mediastreamrecorder or mediarecorder to record screen and download video, as well as turn on camera recording. [transfer]
Difference between special invoice and ordinary invoice
ICML 2022 | 阿⾥达摩院最新FEDformer,⻓程时序预测全⾯超越SOTA
Create a database and use
如果想用dms来处理数据库权限问题,想问下账号只能用阿里云的ram账号吗(阿里云的rds)
Design of vga/lcd display controller based on FPGA (with code)
New method of cross domain image measurement style relevance: paper interpretation and code practice
ICML 2022 ぷ the latest fedformer of the Dharma Institute of Afghanistan ⻓ surpasses SOTA in the whole process of time series prediction
E modulenotfounderror: no module named 'psychopg2' (resolved)
The array of C language is a parameter to pass a pointer















