当前位置:网站首页>数学建模——微分方程
数学建模——微分方程
2022-07-29 08:30:00 【放牛儿】
目录
常微分方程符号解

diff(函数,n)%求函数的n阶导数
dsolve(方程1,方程2,...,方程n,初始条件,自变量)
simplify(s) 对表达式s进行化简
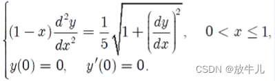
clc,clear
syms y(x);
dy = diff(y);
s1 = dsolve((1-x)*diff(y,2)==sqrt(1+dy^2)/5,y(0)==0,dy(0)==0,x)
simplify(s1)![]()
clc,clear
syms y(x);
out = dsolve(diff(y)==-2*y+2*x^2+2*x,y(0)==1)
clc,clear
syms y(t);%同时声明了y和t
dy=diff(y);d2y=diff(y,2);d3y=diff(y,3);%定义导数是为了后面幅值
u =exp(-t)*cos(t);
y = dsolve(diff(y,4)+10*diff(y,3)+35*diff(y,2)+50*diff(y)+...
24*y==diff(u,2),y(0)==0,dy(0)==-1,d2y(0)==1,d3y(0)==1)
clc,clear
syms x(t) [3,1];%定义符号向量函数,x(t)后面要有空格
A = [3,-1,1;2,0,-1;1,-1,2];%定义系数矩阵
[s1,s2,s3]=dsolve(diff(x)==A*x,x(0)==[1;1;1])常微分方程的数值解
初值问题
一阶微分方程初值问题的一般格式:

常用ode45进行求解,有两种调用格式
![]()
fun是匿名函数,tspan=[t0,tfinal]是求解区间,y0是初值,t、y是所求区间的对应点和该点的函数值,s是一个结构数组。tspan的t0必须是初始条件中自变量的取值,tfinal可以比t0小。利用函数deval可以计算区间内任意点的函数值:
y = deval(s,x);
例子:
![]()
clc,clear,close all
syms y(x);
%求符号解
y = dsolve(diff(y)==-2*y+2*x^2+2*x,y(0)==1)
%求数值解
dy = @(x,y)-2*y+2*x^2+2*x;%匿名函数第一个应该是自变量,第二个是因变量
[sx,sy]=ode45(dy,[0,0.5],1);
fplot(y,[0,0.5])%画符号解的图像
hold on
plot(sx,sy,'*')%画数值解的图像
legend('符号解','数值解')matlab不能求高阶微分方程,必须化为一阶微分方程组
例子:

应该先化为一阶微分方程组:

clc,clear,close all
dy = @(x,y)[y(2);sqrt(1+y(2)^2)/5/(1-x)];
[x,y]=ode45(dy,[0,0.999999],[0;0]);
plot(x,y(:,1))
clc,clear,close all
m = 2;
df = @(x,f,m)[f(2);m*f(2)-f(1)+exp(x)];%注意是列向量
s1 = ode45(@(x,f)df(x,f,m),[0,1],[1;-1]);
s2 = ode45(@(x,f)df(x,f,m),[0,-1],[1;-1]);
fplot(@(x)deval(s1,x,1),[0,1],'-ok');hold on
fplot(@(x)deval(s2,x,1),[-1,0],'-*k');只能求取一阶,所以定义两个未知数,ode45参数初值必须是第二个参数左端值对应的函数值,初值对应横轴0,所以将坐标范围分解为[0,-1],[0,1]。匿名函数可以有三个参数,但ode45函数里需重新定义匿名函数,只能有两个形参。
边值问题
初值问题指定解条件的自变量是同一个点
![]()
边值问题指定解条件的自变量是多个点
![]()
该问题的微分方程标准形式:
bc指边界条件,边界条件中自变量的取值也是求解的区间,即求解区间为[a,b],p值有关的参数
相关函数:
sol = bvp4c(odefun,bcfun,solinit,options,p1,p2,…)
odefun 函数为微分方程的函数句柄。bcfun 函数为微分方程的边界条件句柄,将边界条件所有项移到左边,右边为0。solinit为包含初始估计解的结构体,应使用bvpinit函数创建,solinit=bvpinit(x,y),x向量为初始网格的排序节点,应满足边界条件a= solinit.x(1)且b =solinit.x(end),向量y为初始估计解,solinit.y(:,i)为在solinit.x(i)节点处的初始估计解。输出参数sol 为包含数值解的一个结构:
为使曲线变得更光滑,需要在中间插入一些点,可以使用deval函数。
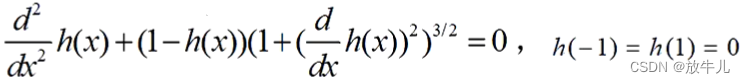
例子:
![]()
化为一阶微分方程组:

作为初始猜测解,可以随便取
clc,clear,close all
solinit = bvpinit(linspace(-1,1,20),@dropinit);
sol = bvp4c(@drop,@dropbc,solinit)
fill(sol.x,sol.y(1,:),[0.7 0.7 0.7]);
axis([-1 1 0 1]);
function yprime = drop(x,y) %微分方程组
yprime = [y(2),(y(1)-1)*(1+y(2)^2)^(3/2)];end
function res = dropbc(ya,yb)%边界条件
res = [ya(1);yb(1)];end %y(1)表示y的0阶导,y(2)表示一阶导数,ya表示左边界,意思是ya(1)=0
function yinit = dropinit(x)%猜测函数
yinit = [x.^2,2*x];end例子:

化为一阶微分方程组:

![]()
clc,clear
eq = @(x,y,mu)[y(2),-mu*y(1)];%一阶方程组
bd = @(ya,yb,mu)[ya(1);ya(2)-1;yb(1)+yb(2)];%边值条件
guess = @(x)[sin(2*x);2*cos(2*x)];%猜测解
guess_structure = bvpinit(linspace(0,1,10),guess,5);
sol = bvp4c(eq,bd,guess_structure);
plot(sol.x,sol.y(1,:),'-',sol.x,sol.yp(1,:),'--')其他
fminbnd用于查找单变量函数在定区间上的最小值
边栏推荐
- Source code compilation pytorch pit
- Hc-sr04 use method and routine of ultrasonic ranging module (STM32)
- Day6: use PHP to write file upload page
- Day15: the file contains the vulnerability range manual (self use file include range)
- Proteus simulation based on 51 MCU ADC0808
- Implementation of support vector machine with ml11 sklearn
- Day15 (day16 extension): file contains vulnerability
- Second week of postgraduate freshman training: convolutional neural network foundation
- RPC and rest
- Domestic application of ft232 replacing gp232rl usb-rs232 converter chip
猜你喜欢

Stm8s003 domestic substitute for dp32g003 32-bit microcontroller chip

【Transformer】SegFormer:Simple and Efficient Design for Semantic Segmentation with Transformers

WQS binary learning notes

Clion+opencv+aruco+cmake configuration

DC motor control system based on DAC0832

Qpalette learning notes

Charging pile charging technology new energy charging pile development

The first week of postgraduate freshman training: deep learning and pytorch Foundation

DC motor speed regulation system based on 51 single chip microcomputer (use of L298)

Day6: using PHP to write landing pages
随机推荐
Inclination monitoring solution of Internet of things
The computer video pauses and resumes, and the sound suddenly becomes louder
Eggjs create application knowledge points
Google browser cross domain configuration free
Application of matrix transpose
WQS binary learning notes
Windows 安装 MySQL 5.7详细步骤
Analysis of zorder sampling partition process in Hudi - "deepnova developer community"
Hal library learning notes - 8 concept of serial communication
[opencv] - Operator (Sobel, canny, Laplacian) learning
Component transfer participation lifecycle
Intel将逐步结束Optane存储业务 未来不再开发新产品
【OpenCV】-算子(Sobel、Canny、Laplacian)学习
Week 2: convolutional neural network basics
Leetcode Hot 100 (brush question 9) (301/45/517/407/offer62/mst08.14/)
Phy6252 is an ultra-low power Bluetooth wireless communication chip for the Internet of things
Crawling JS encrypted data of playwright actual combat case
Cs5340 domestic alternative dp5340 multi bit audio a/d converter
Inclination sensor accuracy calibration test
Importerror: no module named XX
